手机用户可
保存上方二维码到手机中,在
微信扫一扫中右上角选择“从
相册选取二维码”即可。
1、单项选择题 平衡梁的计算主要指对梁的()进行校核。
A、刚度
B、长细比
C、强度
D、柔度
点击查看答案
本题答案:C
本题解析:暂无解析
2、单项选择题 履带式起重机吊物行驶时,起吊重量应控制在不超过额定起重量的()倍为宜。
A、2/3
B、1.0
C、1.1
D、1.2
点击查看答案
本题答案:A
本题解析:暂无解析
3、单项选择题 自行式起重机,起重特性曲线包括起重量一幅度变化曲线和()变化曲线等。
A.幅度一高度
B.起重量一高度
C.起重量一臂长
D.幅度一臂长
点击查看答案
本题答案:A
本题解析:暂无解析
4、单项选择题 液压千斤顶工作原理是利用了()。
A.杠杆原理
B.摩擦原理
C.斜面原理
D.静压原理
点击查看答案
本题答案:D
本题解析:暂无解析
5、单项选择题 卷扬机运转应反、正交替进行,提升高度不低于()。
A、1.5m
B、2.5m
C、3.5m
D、4.5m
点击查看答案
本题答案:B
本题解析:暂无解析
6、单项选择题 桅杆起重机吊装大型设备时用多卷扬机作业其设置一般()。
A.按桅杆的两侧设置
B.设备前面设置
C.分散设置
D.集中在一侧设置
点击查看答案
本题答案:D
本题解析:暂无解析
7、单项选择题 桥式起重机的静载荷试验负荷是额定载荷的()。
A.1.1倍
B.1.25倍
C.1.3倍
D.1.4倍
点击查看答案
本题答案:B
本题解析:暂无解析
8、单项选择题 如果起重量不变,当工作幅度越大时,起重力矩就()。
A、越小
B、越大
C、不变
点击查看答案
本题答案:B
本题解析:暂无解析
9、单项选择题 用热油清洗设备时,油温不得接近(),以防燃烧。
A、100℃
B、40℃
C、闪点
D、30℃
点击查看答案
本题答案:C
本题解析:暂无解析
10、单项选择题 管式桅杆的约束方式可视作()铰支。
A、一端
B、两端
C、中间
D、底部
点击查看答案
本题答案:B
本题解析:暂无解析
11、单项选择题 桅杆的工作类型多属于轻级,故动载系数K1值常取()。
A、1.0
B、1.1
C、1.3
D、1.5
点击查看答案
本题答案:B
本题解析:暂无解析
12、单项选择题 汽车起重机在不用支腿时,其稳定性系数K2要取()。
A、≥1.1
B、≥1.2
C、≥1.3
D、≥1.5
点击查看答案
本题答案:D
本题解析:暂无解析
13、单项选择题 设备吊装可分为()种。
A、两
B、三
C、四
D、五
点击查看答案
本题答案:B
本题解析:暂无解析
14、单项选择题 快速卷扬机在满载试验合格后,超载量为()。
A、5%
B、10%
C、15%
D、20%
点击查看答案
本题答案:B
本题解析:暂无解析
15、问答题 计算题:试求6×37钢丝绳,当直径d=28mm,钢丝直径di=1.3mm,抗拉强度σb=1700kN/mm2时的实际破坏拉力为多少?用此钢丝绳作为缆风绳、跑绳、吊索时其许用拉力为多少?
点击查看答案
本题答案:理论破坏拉力:
试题答案理论破坏拉力:

由于钢丝绳受载不均匀,考虑不均匀系数φ=0.82。
实际破坏拉力р实=р理×φ=500677×0.82=410555kN
许用拉力:
(1)作为缆风绳时S=P/K=41055.57/3=136852kN
(2)作为跑绳S=P/K=41055.57/5=82111kN
(3)作为吊索时S=P/K=41055.57/6=68426kN
实际破坏拉力为410555kN;作为缆风绳、跑绳、吊绳时的许用拉力分别为136852kN、82111kN和68426kN。
16、单项选择题 质量的“三检”制度是指()。
A.质量检查、数量检查、规格检查
B.自检、互检、专项检
C.自检、互检、专检
D.自检、互检、交接检
点击查看答案
本题答案:D
本题解析:暂无解析
17、单项选择题 求几个已知力的合力的方法叫做力的()。
A、分解
B、合成
C、合力
点击查看答案
本题答案:B
本题解析:暂无解析
18、单项选择题 间歇移动桅杆时,桅杆前后倾斜角度应控制在()以内。
A、150
B、300
C、450
D、600
点击查看答案
本题答案:A
本题解析:暂无解析
19、单项选择题 起重机动臂方位与稳定性有关,稳定性最差时动臂处于()。
A.前方
B.侧方
C.后方
D.任意方向
点击查看答案
本题答案:A
本题解析:暂无解析
20、单项选择题 管式桅杆顶部夹角一般为()。
A.15°~20°
B.25°~30°
C.30°~45°
D.45°~60°
点击查看答案
本题答案:B
本题解析:暂无解析
21、单项选择题 将部件、组件、零件连接在一起组合成整台机器的操作过程称为()。
A.总装配
B.组件装配
C.部件装配
D.整体装配
点击查看答案
本题答案:A
本题解析:暂无解析
22、单项选择题 中型设备的吊装起重量在()kN。
A、50~100
B、100~150
C、150~400
D、400~500
点击查看答案
本题答案:C
本题解析:暂无解析
23、单项选择题 “起重机后退”的专用手势信号是:双小臂向上曲起,五指并拢手心朝前(),做前后运动。
A、自已
B、起重机
C、方
点击查看答案
本题答案:B
本题解析:暂无解析
24、单项选择题 检查混凝土的质量,主要检查其()强度。
A、抗拉
B、抗压
C、抗弯
D、抗剪
点击查看答案
本题答案:B
9 1ExAM.net本题解析:暂无解析
25、单项选择题 滑车效率测定时,轮轴状态是()。
A.垂直
B.垂直或水平
C.水平
D.任意状
点击查看答案
本题答案:C
本题解析:暂无解析
26、单项选择题 起重机在超负荷吊装时,要进行()验算。
A、强度
B、刚度
C、屈服
D、稳定性
点击查看答案
本题答案:D
本题解析:暂无解析
27、问答题
计算题:直角钢板截面如下图所示,试求其重心位置。

点击查看答案
本题答案:
试题答案
取xoy坐标系。如图所示,将直角形钢板分割为两个矩形。两矩形的形心位置C1和C2较易求得,其面积△A1和△A2及重心坐标分别为:
△A1=(200-20)×20=3600mm2
△A2=150×20=3000mm2
X1=10mm,Y=20+(200-20)/2=110mm
X2=75mm,Y=10mm
根据公式XC=∑△AiXi/A
YC=∑△AiYi/A
将数字代入以上公式:则
XC=(△A1X1+△A2X2)/△A1+△A2
=(3600×10+3000×75)/)3600+3000=39.5mm
YC=(△A1Y1+△A2Y2)/△A1+△A2
=(3600×110+3000×10)/)3600+3000=64.5mm
直角钢板截面的重心C坐标位置在XC=39.5mm,YC=64.5mm处。
28、单项选择题 钢丝绳强度检验,以其容许拉力的两倍进行静载负荷试验,在()min内钢丝绳保持完好,即认为检验合格。
A、10
B、15
C、20
D、30
点击查看答案
本题答案:C
本题解析:暂无解析
29、单项选择题 管式桅杆的计算方法有()种。
A、一
B、两
C、三
D、四
点击查看答案
本题答案:B
本题解析:暂无解析
30、单项选择题 汽车起重机严禁采用()物体吊装。
A.斜拉
B.垂直重量大的
C.体积大的
D.形状复杂的
点击查看答案
本题答案:A
本题解析:暂无解析
31、单项选择题 大型设备的吊装起重量在()t以上。
A、20
B、30
C、40
D、50
点击查看答案
本题答案:C
本题来源:91题库网解析:暂无解析
32、单项选择题 力的三要素是:大小、方向、和作用点。其中()发生改变时,力的作用效果也随之改变。
A、一个要素
B、两个要素
C、三个要素
点击查看答案
本题答案:A
本题解析:暂无解析
33、单项选择题 物体重心越(),支撑面越大,物体所处的状态越稳定。
A、低
B、高
C、高低都行
点击查看答案
本题答案:A
本题解析:暂无解析
34、问答题 试述电动卷扬机载荷运转试验的步骤及要求。
点击查看答案
本题答案:电动卷扬机载荷运转试验的时间为30min。对慢速卷扬机
本题解析:试题答案电动卷扬机载荷运转试验的时间为30min。对慢速卷扬机按下列顺序进行:
(1)载荷量应逐渐增加,最后为额定载荷的110%;
(2)运转应正反交替进行,提升高度不低于2.5m,并在悬空状态进行启动、制动;
(3)运转时试验制动器,必须保持工作可靠,制动时钢丝绳下滑量不超过50mm;
(4)运转中蜗轮箱和轴承温度不超过60℃。
对快速卷扬机应按以下顺序进行:
(1)载荷量应逐渐增加,直至满载荷为止,提升和下降按下列操作方法:试验安全制动各2~3次,每次均应工作可靠,使卷筒卷过二层,安刹车柱的指示销;
(2)操作工作制动器时,手柄上所使用的力不应超过80N;
(3)在满载荷试验合格后,应再做超载提升2~3次,超载量为10%;
(4)在试验中轴承温度应不超过60℃;
(5)测定载荷电流,满载时的稳定电流和最大电流应符合原机要求。
35、单项选择题 钢丝绳用作载人的提升机构时,其安全系数K值取()。
A、3.5
B、5.5
C、8.0
D、14
点击查看答案
本题答案:D
本题解析:暂无解析
36、单项选择题 使用梯子登高时,梯子的靠放斜度不应小于()。
A、20°
B、30°
C、45°
点击查看答案
本题答案:B
本题解析:暂无解析
37、单项选择题 吊环在使用时必须注意其受力方向,严禁()受力。
A、纵向
B、横向
C、外向
点击查看答案
本题答案:B
本题解析:暂无解析
38、单项选择题 桅杆与起重机吊装都是通过提升钢丝绳与重物上的吊耳或千斤绳进行的,但吊装中不允许提升绳偏离铅垂线的是()。
A.起重机
B.桅杆
C.起重机及桅杆
D.被吊重物
点击查看答案
本题答案:A
本题解析:暂无解析
39、单项选择题 构件吊装时,吊点的选择应使吊点(或各吊点的合力作用点)与重物的()在同一垂直线上,并且应在其上。
A.几何形心
B.中心
C.投影中心
D.重心
点击查看答案
本题答案:D
本题解析:暂无解析
40、问答题 试述大型等径钢制高耸简体结构气顶倒装法的原理。
点击查看答案
本题答案:利用简体及上封盖及内底座,使已组装的上部简体和内底座构
本题解析:试题答案利用简体及上封盖及内底座,使已组装的上部简体和内底座构成一个套筒状伸缩体。在上部筒体与内底座之间设置密封装置。向密闭容器内充气,由于内部压强四周相互平衡,作用在封盖的合力构成向上顶升力。当顶升力超过筒身重量及筒内壁与内底座上密封之间的摩擦力之和,简体向上滑升。在上部简体与底座间设置高度锁止装置,当滑升到规定高度后锁住。
41、单项选择题 关于三相交流电的说法正确的是()。
A、相位相差为2π/3的三个交流电
B、峰值相等、频率相同的三个交流电
C、峰值不等的三个交流电
D、峰值相等、频率相同、相位彼此相差为2π/3的三个交流电
点击查看答案
本题答案:D
本题解析:暂无解析
42、单项选择题 缆索起重机的结构和工作条件决定于它所服务工地的()和性质。
A、重量
B、轮廓尺寸
C、高度
D、宽度
点击查看答案
本题答案:B
本题解析:暂无解析
43、单项选择题 一根6×37+1--¢21㎜的钢丝绳在使用绳卡固定时,每相临两绳卡的间距()mm。
A、200
B、150
C、130
点击查看答案
本题答案:B
本题解析:暂无解析
44、单项选择题 起重施工方案图的内容包括起重吊装区域的平面布置图、起重吊装立面图和()图。
A.设备堆放
B.重要节点
C.运输道路
D.临时设施
点击查看答案
本题答案:B
本题解析:暂无解析
45、单项选择题 电动卷扬机空运转试验不少于()min。
A、10
B、15
C、20
D、25
点击查看答案
本题答案:A
本题解析:暂无解析
46、单项选择题 初洗后的机件,应以清洗油将渣子等脏物冲洗干净的方法是()。
A、粗洗
B、细洗
C、精洗
点击查看答案
本题答案:B
本题解析:暂无解析
47、单项选择题 垫铁组在能放稳和不影响灌浆的情况下,应尽量()地脚螺丝。
A、远离
B、靠近
C、贴着
点击查看答案
本题答案:B
本题解析:暂无解析
48、单项选择题 柱轴线对行、列定位轴线的允许偏差Δ()㎜。
A、≤5.0
B、>5.0
C、>10.0
D、>15.0
点击查看答案
本题答案:A
本题解析:暂无解析
49、单项选择题 吊车梁垂直度的偏差,应在规范规定的()以内。
A、5㎜
B、10㎜
C、15㎜
D、20㎜
点击查看答案
本题答案:A
本题解析:暂无解析
50、单项选择题 钢丝绳吊索两端插接连接索眼之间最小净长度不应小于该吊索钢丝绳直径的()。
A、20倍
B、40倍
C、30倍
点击查看答案
本题答案:B
本题解析:暂无解析
51、单项选择题 独脚桅杆的起重量比人字桅杆的()。
A、小
B、大
C、相同
D、无法比
点击查看答案
本题答案:A
本题解析:暂无解析
52、单项选择题 钢丝绳用编结法连接时,编结长度不小于()㎜。
A、300
B、400
C、500
点击查看答案
本题答案:C
本题解析:暂无解析
53、单项选择题 “吊钩下降”的通用手势信号是:右手臂伸向侧前下方,与身体夹角约为()五指自然伸开,以腕部为轴摆动。
A、30°
B、40°
C、50°
点击查看答案
本题答案:A
本题解析:暂无解析
54、单项选择题 在吊装钢筋砼框架时,千斤绳经过的平衡滑轮的作用是()。
A、每根钢丝绳受力相同
B、千斤绳受力小
C、安全系数大
点击查看答案
本题答案:A
本题解析:暂无解析
55、单项选择题 班组管理中,机械设备的“三定”制度是指()。
A.定人、定量、定时间
B.定期保养、定期维修、定期大修
C.定人、定机、定岗
D.定人员、定产量、定责任
点击查看答案
本题答案:C
本题解析:暂无解析
56、单项选择题 履带起重机在吊物行驶时,被吊物离地面不得超过()㎜。
A、200
B、400
C、500
D、600
点击查看答案
本题答案:C
本题解析:暂无解析
57、单项选择题 钢丝绳在直径相同时,粗钢丝捻制的绳比细钢丝捻制的绳()。
A、耐压
B、耐拉
C、耐磨损
D、耐弯曲
点击查看答案
本题答案:C
本题解析:暂无解析
58、单项选择题 用双桅杆旋转法吊装设备,桅杆的高度可以低于设备的高度,当塔类设备旋转到其吊点与桅杆高度水平时,塔类设备的轴线与地面成()以上的夹角为宜。
A.90°
B.60°
C.45°
D.30°
点击查看答案
本题答案:B
本题解析:暂无解析
59、单项选择题 卷扬机至桅杆底座处导向滑轮的距离应大于桅杆高度,如受场地限制时,其距离也不能小于()。
A、4m
B、8m
C、20m
D、25m
点击查看答案
本题答案:B
本题解析:暂无解析
60、单项选择题 结构施工图中DL6-2Z表示()。
A.6m跨联系梁,荷载等级为2级,用于跨中
B.6m跨吊车梁,荷载等级为2级,用于伸缩缝跨中
C.6m跨吊车梁,荷载等级为2级,用于跨中
D.6m跨的柱距,荷载等级为2级,用于屋架
点击查看答案
本题答案:B
本题解析:暂无解析
61、单项选择题 “注意安全”标志在安全标志中属于()。
A、提示标志
B、指令标志
C、警告标志
点击查看答案
本题答案:A
本题解析:暂无解析
62、单项选择题 一块长5米,宽3米,厚50毫米的钢板重量为()(钢板的比重为7.8吨/立方米)。
A、4.78吨
B、4.98吨
C、5.85吨
点击查看答案
本题答案:C
本题解析:暂无解析
63、单项选择题 龙门桅杆的门架可以以其底为回转中心向两边摆动一小角度,摆动的角度一般不大于()。
A、100
B、200
C、300
D、400
点击查看答案
本题答案:A
本题解析:暂无解析
64、单项选择题 拧紧地脚螺栓应在混凝土强度达到规定强度的()以后进行。
A、10%
B、30%
C、50%
D、75%
点击查看答案
本题答案:D
本题解析:暂无解析
65、单项选择题 起重机在吊装过程中,钢丝绳有时会发生抖索现象,这时因为()。
A、起重量过大
B、滑轮组中有的滑轮不转
C、起吊速度不均匀
点击查看答案
本题答案:D
本题解析:暂无解析
66、问答题 计算题:某安装工地起吊一中型设备,需设置一套滑轮组,工作绳为6根,滑轮直径为350mm,行程为22000mm,定滑轮到卷扬机距15000mm,求所需钢丝绳长度?
点击查看答案
本题答案:钢丝绳长度按公式L=n(h+3D.+I+10000本题解析:试题答案钢丝绳长度按公式L=n(h+3D.+I+10000
已知:n=6h=22000mm,d=350mm,I=15000mm
代入式中得:L=6(22000+3×350)+15000+10000
=163300mm=163.3m
钢丝绳需要163.3m。
67、单项选择题 相同直径的钢丝,每股绳内钢丝数越多,钢丝直径越细则钢丝绳子的挠性就()。
A、越好
B、越差
C、不受影响
点击查看答案
本题答案:A
本题解析:暂无解析
68、单项选择题 采用大型吊车吊装重要设备时,除了核算杆长幅度、起重能力、提升高度以及吊装起止点以外,还应对()进行考察。
A.设备重心
B.设备尺寸
C.设备基础
D.吊车站位环境,如上部障碍及地面情况
点击查看答案
本题答案:D
本题解析:暂无解析
69、单项选择题 各种吊装工具使用前应进行()计算。
A、安全
B、强度
C、高度
D、刚度
点击查看答案
本题答案:A
本题解析:暂无解析
70、单项选择题 气压试验当达到规定试验压力的()以后,压力应以10%左右的试验压力,逐级增加至试验压力。
A、40%
B、50%
C、60%
点击查看答案
本题答案:B
本题解析:暂无解析
71、单项选择题 在吊装薄壁重物时,应对它进行()处理。
A.捆绑
B.加固
C.重心计算
D.吊点设计
点击查看答案
本题答案:B
本题解析:暂无解析
72、单项选择题 绑扎后的钢丝绳吊索提升重物时,各分支间夹角最大时不得超过()。
A、135°
B、120°
C、110°
点击查看答案
本题答案:B
本题解析:暂无解析
73、单项选择题 对临界使用的构件,可允许长细比达到()。
A、90
B、100
C、120
D、1500
点击查看答案
本题答案:D
本题解析:暂无解析
74、单项选择题 电动单梁起重机在跨度小于(),可用工字梁作为主梁。
A、8m
B、10m
C、12m
D、14m
点击查看答案
本题答案:B
本题解析:暂无解析
75、单项选择题 力作用在物体上所产生的效果,不但与力的大小和方向有关,而且与力的()有关。
A、作用点
B、作用方式
C、作用面
点击查看答案
本题答案:A
本题解析:暂无解析
76、单项选择题 在绑扎人字桅杆时,应将圆木的弯度()。
A、朝向外
B、朝向内
C、朝向吊重方向
点击查看答案
本题答案:A
本题解析:暂无解析
77、单项选择题 在选择用钢丝绳的安全系数时,应按()的原则来选择。
A、重物的重量
B、安全性和经济性
C、安全性或经济性
D、钢丝绳的型号
点击查看答案
本题答案:B
本题解析:暂无解析
78、单项选择题 汽车式、轮胎式和履带起重机使用中,要注意被吊物的重量,在接近额定负荷工况时,与实际重量的出入不得大于()。
A.3%
B.5%
C.8%
D.10%
点击查看答案
本题答案:A
本题解析:暂无解析
79、问答题
计算题:用两根斜吊索吊装一重量为Q=10000N,两绑点到重心的距离分别为a1=1.0m,a2=1.5m,吊点到绑点的高度h1=2.5m,请用作图法求出吊索P1、P2的受力。

点击查看答案
本题答案:根据所给a1、a2、h1尺寸,按比例作下图:
本题解析:试题答案根据所给a1、a2、h1尺寸,按比例作下图:

量出P1、P2长度分别为64.5mm和46.5mm。
故:P1=64.5×l00=6450N
P2:46.5×100=4650N
吊索P1、P2的受力分别为6450N和4650N。
80、单项选择题 走线滑车设置时其承重索绕度应为跨度的()为宜。
A.1/20~1/15
B.1/30~1/25
C.1/40~1/30
D.1/10~1/8
点击查看答案
本题答案:A
本题解析:暂无解析
81、单项选择题 一根6×37+1--¢32、5㎜的钢丝绳在使用绳卡固定时,绳上数为()个。
A、3
B、4
C、6
点击查看答案
本题答案:C
本题解析:暂无解析
82、单项选择题 钢丝绳的插接方法有多种,其中以()较为常用。
A、一进三
B、一进四
C、一进五
点击查看答案
本题答案:A
本题解析:暂无解析
83、单项选择题 为提高起重机的安全性能,各种类型起重机根据其使用性能要求和使用场地条件都应当装设必要的()装置。
A、防风
B、安全保护
C、缓冲
点击查看答案
本题答案:B
本题解析:暂无解析
84、单项选择题 在压杆的稳定性计算中,对中柔度杆(50~60<λ<100时)应进行()计算。
A.稳定性
B.强度
C.A和B
D.动载荷
点击查看答案
本题答案:C
本题解析:暂无解析
85、单项选择题 凡倾斜使用的桅杆(除系缆式桅杆外),其倾角最大不大于()。
A.15°
B.20°
C.30°
D.45°
点击查看答案
本题答案:A
本题解析:暂无解析
86、单项选择题 桅杆是以细长压杆,()的挠度最大。
A、底部
B、顶部
C、中间
D、两端
点击查看答案
本题答案:C
本题解析:暂无解析
87、单项选择题 对缆索起重机起重小车越靠近支柱,爬坡角度()。
A、越小
B、越大
C、一定
点击查看答案
本题答案:B
本题解析:暂无解析
88、单项选择题 起重作业中常用吊耳形式有()种。
A、一
B、两
C、三
D、四
点击查看答案
本题答案:B
本题解析:暂无解析
89、单项选择题 起重作业指挥人员使用的旗语信号“臂杆抬起”的正确操作是()。
A.红旗下垂腹前上下微摆
B.红旗举起肩上左右微摆
C.绿旗下垂腹下大幅度摆动
D.绿旗举起胸前红旗横挡上方
点击查看答案
本题答案:B
本题解析:暂无解析
90、问答题
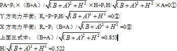
计算题:如下图所示:一独脚桅杆起重机,它的长度为36m,桅杆与地面夹角α为80°。试求:(1)桅杆的垂直高度H和水平距离A及缆风绳长度L;(2)缆风绳受力;(3)支座受力及桅杆承受的轴向压力。(sin80°=0.985;cos80°=0.174)

点击查看答案
本题答案:(1)已知h=36m,α=80°<
本题解析:试题答案(1)已知h=36m,α=80°
根据正弦定义H=hsinα=36sin80°=34.45m
根据余弦定义A=hcosα=36cos80°=6.25m
缆风绳长度为:

(2)根据桅杆平衡:
对B点取矩,由力矩平衡得:

①式得缆风绳受力:

=200×6.25/(34.45×0.852-6.25×0.522)
=47.85kN
(3)将P1代人②、③式解得支座受力:

=200+47.85×0.522
=224.97kN

=47.85×0.853
=40.81kN
故桅杆承受的轴向压力为:
Pw=Rx/cosα=Ry/sinα=224.97/0.985=228.44kN
桅杆的垂直高度为35.45m,水平距离为6.25m,缆风绳长度为65.96m。缆风绳受力为47.85kN。支座承受向左水平推力为40.81kN,压力为224.97kN。
91、单项选择题 使用钢丝绳绳卡时,应将U形环部分卡在()一边。
A、主绳
B、绳头
C、主要受力绳
点击查看答案
本题答案:B
本题解析:暂无解析
92、单项选择题 设备安装平面图是把各种设备表达在建筑物内(外)的平面布置和()的施工图。
A.标高尺寸
B.设备尺寸
C.设备形状
D.安装具体位置
点击查看答案
本题答案:D
本题解析:暂无解析
93、填空题 尼龙绳和涤纶绳可用来吊运()和精度要求高的机械零部件及有色金属制品。
点击查看答案
本题答案:表面粗糙度
本题解析:试题答案表面粗糙度
94、单项选择题 钢丝绳吊索一般由整根绳索制成,中间()有接头。
A、不允许
B、可以
C、一定
点击查看答案
本题答案:A
本题解析:暂无解析
95、单项选择题 电动卷扬牵引力的大小除与电动机功率和总效率有关外,还与()有关。
A.卷扬结构
B.起重量
C.钢丝绳速度
D.钢丝绳直径
点击查看答案
本题答案:C
本题解析:暂无解析
96、单项选择题 500kN的5门滑车,当只用3门时,起重量为()。
A.500kN
B.300kN
C.250kN
D.100kN
点击查看答案
本题答案:B
本题解析:暂无解析
97、单项选择题 工程图样中,中断线采用()。
A、细实线
B、双点划线
C、虚线
D、点划线
点击查看答案
本题答案:B
本题解析:暂无解析
98、单项选择题 吊车梁不直线度允许偏差在()范围以内。
A、-5㎜
B、3㎜
C、6㎜
D、10㎜
点击查看答案
本题答案:B
本题解析:暂无解析
99、单项选择题 缆索起重机的斜缆索与地面的夹角应大于(),以减少行走返回时间。
A、20°
B、30°
C、40°
D、50°
点击查看答案
本题答案:C
本题解析:暂无解析
100、单项选择题 人字桅杆的稳定性计算不仅包括纵向稳定性计算,还包括()稳定性计算。
A、竖
B、横
C、水平
D、垂直
点击查看答案
本题答案:B
本题解析:暂无解析
题库试看结束后
微信扫下方二维码即可打包下载完整版《
★起重机操作证考试》题库
手机用户可保存上方二维码到手机中,在微信扫一扫中右上角选择“从相册选取二维码”即可。
题库试看结束后
微信扫下方二维码即可打包下载完整版《
起重机操作证考试:安装起重工(技师)》题库,
分栏、分答案解析排版、小字体方便打印背记!经广大会员朋友实战检验,此方法考试通过率大大提高!绝对是您考试过关的不二利器!
手机用户可
保存上方二维码到手机中,在
微信扫一扫中右上角选择“从
相册选取二维码”即可。