手机用户可
保存上方二维码到手机中,在
微信扫一扫中右上角选择“从
相册选取二维码”即可。
1、单项选择题 选择运输商应考虑()。
A.运输时间
B.运输价格
C.运输质量与运输能力
D.综合考虑运输时间、价格、运输能力与运输质量
点击查看答案
本题答案:D
本题解析:暂无解析
2、多项选择题 运输市场宏观调控具体表现为政府干预力量在()三方面的力度定位和权重定位。
A.行业
B.个人
C.国家
D.市场
E.企业
点击查看答案
本题答案:C, D, E
本题解析:暂无解析
3、问答题
某运输公司有甲、乙、丙、丁四个仓库分别需要发运大米50t、250t、200t和300t到需求地。需求地有A、B、C、D四个客户,需要量分别为50t、350t、200t和200t。每吨千米为3元,请确定最优运输方案并计算最低运费。仓库和需求地位置示意如图3~1所示。

点击查看答案
本题答案:解答过程如图3-2所示。
本题解析:试题答案解答过程如图3-2所示。
总运费=(50×118+200×118+317×150+349×50+252×150+165×150+165×50)×3=165300×3=495900(元)
4、多项选择题 开展集运方式的途径为()。
A.仓库与库存合并
B.运输车辆合并
C.订单合并
D.合并批量,减少运营班次
点击查看答案
本题答案:A, B, D
本题解析:暂无解析
5、判断题 采用滚动式计划来编制长期运输计划,第一年是准备计划,其编制应比较细一些。
点击查看答案
本题答案:错
本题解析:采用滚动式计划来编制长期运输计划,第一年是执行计划,其编制应详尽具体;第二、三年是准备计划,编制可比较细一些;第四、五年是预测计划,着重于战略目标计划编制较精的概略。
6、判断题 对运输业者而言,一定时期内所获利润额的大小,对其自身的生存和发展不会产生直接影响。
点击查看答案
本题答案:错
本题解析:对运输业者而言,一定时期内所获利润额的大小,直接影响到其自身的生存和发展。
7、判断题 承运人按照运输合同通过海运把一批黄豆从上海运往日本,结果部分黄豆变成了豆芽,承运人不承担责任。
点击查看答案
本题答案:对
本题解析:暂无解析
8、问答题 如何正确理解运输计划的编制程序?
点击查看答案
本题答案:运输企业运输计划编制的程序一般划分为调查研究、确定经营
本题解析:试题答案运输企业运输计划编制的程序一般划分为调查研究、确定经营目标、综合平衡和制定计划四个阶段。这四个阶段的具体内容如下:
(1)调查研究阶段该阶段工作主要包括调查企业经营的外部环境和内部条件,收集整理和分析研究调查资料,确定编制计划的前提条件和限制性因素三个方面的内容。
①调查企业经营的外部环境A.政治经济技术环境。包括政府的方针、政策、法律等政治环境;国民经济发展的年度计划、五年计划和远景目标,各经济主管部门的专业计划和发展规划,国家经济结构、产业结构、运输结构、对外贸易、生产力布局的现状和趋势,腹地经济发展状况及其对运输的需求等经济环境;现代科技在运输上的应用,如现代运输和装卸技术的应用等技术环境。B.运输市场环境。一是提供运输能力的市场环境,主要有铁路、水路、公路、航空和管道等;二是运输企业客户调查,包括生产经营情况,生产能力规模,产品的品种、产量、原材料,燃料的需求量,以及其调运流向、流量、运输方式和运量分配,线路、港口选择等。C.竞争环境。主要有运输企业之间为了争取货源而展开的以价格、质量、效率、服务等为主要手段的竞争,以项目建设、技术改造等提高生产能力的竞争,以经营要素优化配置、降低经营成本等管理的竞争;国民经济其他行业的其他运输方式进入港口行业经营对运输企业带来的威胁;港口客户在选择运输企业从事产品和原材料运输的能力等。
②调查企业经营的内部条件A.经营实力。包括运输企业运输工具设备、铁路线、库场等方面的硬件设施和生产手段;B.经营能力。包括资源筹措能力、市场开发和揽货能力、生产技术组织能力、对市场变化做出快速反映能力等方面的经营和管理水平、人员素质。
③收集整理和分析研究调查资料在调查企业经营的外部环境和内部条件基础上,应认真分析研究国家政治经济技术环境对运输企业经营活动将会产生的影响及程度,整理分析运输市场调查、订货会议和运输合同等资料、撰写运输市场调查报告,上期计划的预计完成情况及在执行过程中存在的问题和偏差,分析研究企业内部人力、物力、财力资源的保证程度,分析研究本企业经营能力、运输市场竞争态势。
④确定编制计划的前提条件和限制性因素运输企业编制计划的前提条件是指许可、保证条件和限制性条件,这些条件既可能是许可、保证条件,也有可能是限制性条件。在调查研究阶段的一项重要工作内容就是要找出限制性条件,分析限制性条件的各种因素,采取对策将限制性条件转化为许可、保证条件。
(2)确定经营目标阶段该阶段的工作主要包括选择企业经营目标,制定目标水平方案,确定经营目标方案三个方面的内容。
①选择经营目标经营目标是企业一个时期内经营活动的基准和方向,是编制运输计划的直接依据,运输企业的经营目标因目标的不同可分为长期目标和短期目标。长期目标包括:成长目标、利润目标、市场目标、社会责任目标和提高职工满意度目标等,运输企业在选择上述目标时应依据企业内外部的环境条件,根据机会与威胁、优势和劣势情况进行选择。短期目标一般指年度经营目标。运输企业的年度经营目标包括利润、产量、安全质量、消耗、效率等目标。通常选择利润目标作为企业经营的重点目标,其余目标作为支持目标。
②制定目标水平方案企业应根据第一阶段所提供的资料,制订不同的目标水平方案。
③确定经营目标方案确定经营目标方案是企业的重要决策,应充分发动职工,自上而下和自下而上相结合,定性和定量分析相结合,反复比较研究方案的利弊,从中选出最接近目标而又适应关键的限制性条件的满意方案,其余方案留作备用。
(3)综合平衡阶段综合平衡的内容应根据计划的期限和综合程度进行,主要包括:
①需要和能力的平衡;
②经营活动过程各环节的平衡;
③产量、收入、成本、利润之间的平衡;
④长期运输计划和年度运输计划的平衡;
⑤生产、效率与职工工资福利的平衡等。
(4)制定计划阶段制定计划是运输企业运输计划编制的最后一道程序,其主要内容包括:
①明确计划制定的分工。通常情况下运输企业运输计划的制定由计划部门负责组织,具体分工;综合计划和生产计划由计划部门制定,各专业计划由相应的职能部门制定。
②选择编制计划的方法。重点是长期运输计划和年度运输计划,其方法将在本节最后部分详细分析。
③编制计划文件。运输计划文件主要由两部分组成:计划表和文字说明,包括上期预计完成情况分析;本期计划编制的依据和特点;主要计划指标对比分析比较;计划尚存在的问题以及实现计划的对策和措施等。
9、判断题 国际多式联运是一种利用集装单元形式进行联运的新的运输组织方式。
点击查看答案
本题答案:对
本题解析:暂无解析
10、多项选择题 目前,国际海空联支这线主要有()。
A.远东--欧洲
B.远东--中南美
C.远东--中近东、非洲、欧洲
D.远东--北美
E.远东--亚洲
点击查看答案
本题答案:A, B, C
本题解析:暂无解析
11、单项选择题 下列关于运输需求特征的表述错误的是()。
A.运输需求具有派生性
B.运输需求具有规律性
C.运输需求具有个别需求异质性
D.运输需求具有平衡性
点击查看答案
本题答案:D
本题解析:暂无解析
12、问答题
用Dijkstra算法求图4-3中从点v1,到点vn(n=1,…,8)的最短路线,图4-3中直线上的数据表示相应两点间的距离。

点击查看答案
本题答案:根据最短路径法计算,如表4-8所示。
本题解析:试题答案根据最短路径法计算,如表4-8所示。
由 表4-8可知,从点v1,到点vn(n=1,…,8)的最短路线具体如下:
(1)v1v2的最短路线为v1→v3→v2,距离为6;
(2)v1v3的最短路线为v1→v3,距离为2;
(3)v1v4的最短路线为v1→v3→v4,距离为4;
(4)v1v1的最短路线为v1→v3→v4→v6→v5,距离为7;
(5)v1v6的最短路线为v1→v3→v4→v6,距离为5;
(6)v1v7的最短路线为v1→v3→v4→v6→v7,距离为9;
(7)v1v8的最短路线为v1→v3→v4→v6→v5→v8,距离为8。
如图4-4所示,粗线部分为V1V8之间的最短路径。
13、多项选择题 运输市场定位包括()。
A.目标市场定位
B.产品定位
C.运输企业形象设计
D.运输价格定位
点击查看答案
本题答案:B, C
本题解析:暂无解析
14、判断题 运输保险的附加险可单独投保。
点击查看答案
本题答案:错
本题解析:运输保险按是否能够单独投保可分为基本险和附加险,基本险可以单独投保,而附加险不能独立投保,只有在投保某一种基本险的基础上才能加保一种或数种附加险。
15、单项选择题 下列运输方式中,哪一种运输方式能实现门到门的运输服务()
A.铁路运输
B.公路运输
C.水路运输
D.公路运输
点击查看答案
本题答案:B
本题解析:暂无解析
16、判断题 船舶保险可分为全损险和综合险两种。
点击查看答案
本题答案:错
本题解析:暂无解析
17、问答题 发生运输保险事故时,如何进行索赔和理赔?
点击查看答案
本题答案:索赔是指被保险人依据海上保险合同所享有的重要权利,当保
本题解析:试题答案索赔是指被保险人依据海上保险合同所享有的重要权利,当保险标的发生保险项下的保险事故造成损失或对此损失负有责任时,被保险人有权要求保险人赔偿或追偿。理赔是保险人在知悉发生保险事故并调查确认法律责任归属后,审查索赔材料,作出赔付、部分赔付或拒赔等决定的法律行为。索赔和理赔应遵循以下程序进行:
(1)损失通知。当发生保险事故或保险责任范围内的损失时,被保险人应立即通知保险人或其代理人。损失通知是保险理赔的第一项程序。
( 2)查勘检验。保险人或其代理人获悉损失通知后应立即开展保险标的损失的查勘检验工作。查勘检验作为保险理赔一项重要内容,主要包括事故原因、救助工作、第三者责任取证、勘察报告和检验报告制作等。检验是理赔实务中一项十分重要的工作,它确定保险标的损失的责任归属、施救措施的合理性等。在货物运输保险中,凡属保险责任的货损,收货人必须及时向承保的保险公司申请进行联合检验。检验是理赔实务中一项十分重要的工作,它确定保险标的损失的责任归属、施救措施的合理性等。在货物运输保险中,凡属保险责任的货损,收货人必须及时向承保的保险公司申请进行联合检验。
(3)核实保险案情。保险人收到代理人或委托人的检验报告后,还应向有关各方收集资料,并加以核实、补充和修正赔案的材料。
(4)分析理赔案情,确定责任。保险人应判断原因是否属保险责任,是否发生在保险期限内,索赔人是否具有可保利益,审查的有关单证如保险单证、事故检验报告、保险事故证明、保险标的施救和修理等方面文件。
(5)计算赔偿金额,支付保险赔偿。保险赔偿的计算,保险人通常依据索赔清单。保险赔偿的计算可以由保险人自身进行,也可由其代理人计算或委托海损理赔人理算。
18、单项选择题 运输市场宏观调控的主体是()。
A.政府职能部门
B.运输市场
C.运输企业
D.货主
点击查看答案
本题答案:A
本题解析:暂无解析
19、判断题 在制定运输价格时,政府指导价体现了统一性与灵活性相结合的原则,允许经营在规定范围和幅度内调价。
点击查看答案
本题答案:对
本题解析:暂无解析
20、问答题 新华网北京2004年9月27日电(金江山、李晓建)中国石油天然气管道工程有限公司与天津大港油田集团石油工程有限责任公司实施的战略项目近日在河北省廊坊市举行。新组建的中国石油天然气管道工程有限公司(CPPE),最引人注目的是长输管道储运工程与油气田地面工程、滩海油气田开发工程、海洋油气开发陆上终端工程的结合,为我国管道运输业从陆上向海上发展其定了坚实的基础。中油集团公司下属企业实现跨系统重组,说明特大型国有能源企业改革在不断深化,也标志着中国石油天然气管道局作为我国专业化的管道建设企业,在进行了三十多年的陆上管道建设之后,将向近海管道建设发展。据消息人士透露,"中国计划耗资34亿美元在2004-2006年间铺设长达9660公里的石油管道,以便保证能源供给。这超过了过去30年铺设的油管总长度。‘十一五’期间,我国将加快油气干线管网和配套设施的规划建设,逐步完善全国油气管线网络,建成西油东送、北油南运成品油管道,同时适时建设第二条西气东输管道及陆路进口油气管道。"
试分析:近几年来我国为什么要加快管道运输的建设步伐?
点击查看答案
本题答案:我国之所以加快大管道运输的建设步伐,是因为:
本题解析:试题答案我国之所以加快大管道运输的建设步伐,是因为:
(1)随着我国经济的快速发展,国内对石油的需求日益膨胀。管道运输能力大,占地少,成本低,是石油和天然气运输的最佳方式。
(2)由于我国国产石油和天然气远远满足不了经济发展的需要,石油进口量大增,我国已取代日本成为世界上第二大石油消费国。将从国外买来的石油和国产的石油安全、快捷、低成本地输送到经济发展需要的地方去,是我国迫切需要解决的战略问题。
(3)随着经济的发展,特别是西气东输工程的实施,管道运输也迅速发展起来,在国民经济中起着越来越大的作用。但我国的管道运输发展速度不快,远远跟不上经济发展的步伐,至今我国成品油仍然主要靠火车运输,不但挥发损失大、安全系数低,而且运输成本高、运量低,不适应经济高速发展的新形势。
(4)管道运输运量大、占地少、建设周期短、费用低、安全可靠、连续性强、运输耗能少、成本低、效益好,是担负单向、定点、量大的流体状货物(如石油、油气、煤浆、某些化学制品原料等)运输的最主要的运输方式。
(5)加快管道运输工程建设,对于进一步完善我国的原油运输管网、促进我国经济的快速发展、建设节约型社会有着极其重要的意义。
21、判断题 运输市场管理的性质属运输市场调节行为。
点击查看答案
本题答案:错
本题解析:运输市场管理的性质属于国家行政管理。
22、多项选择题 按市场竞争程度来划分,运输市场结构可分为()。
A.完全竞争市场
B.垄断竞争市场
C.寡头垄断市场
D.完全垄断市场
E.寡头竞争市场
点击查看答案
本题答案:A, B, C, D
本题解析:暂无解析
23、多项选择题 海上保险保障费用包括()
A.求救费用
B.求助费用
C.施救救费用
D.保险费用
E.海难安置费用
点击查看答案
本题答案:B, C
本题解析:暂无解析
24、判断题 制定和核计运输服务价格,应根据具体服务的内容不同,以其价加附加价的形式进行。
点击查看答案
本题答案:对
本题解析:暂无解析
25、单项选择题 陆上运输险对()造成的部分损失不予赔偿。
A.自然灾害
B.意外事故
C.外来原因
D.不可抗力
点击查看答案
本题答案:C
本题解析:暂无解析
26、判断题 相对运输需求而言,社会经济活动是本源需求,运输需求是一种派生需求。
点击查看答案
本题答案:对
本题解析:暂无解析
27、单项选择题 下列关于开展国际多式 联运的优越性的说法不正确的是()。
A.缩短货运时间、减少库存、降低货损货差、提高运输质量
B.托运、结算及理赔手续复杂
C.降低运输成本、节省各种支出
D.提高运输管理水平,实现运输合理化
点击查看答案
本题答案:B
本题解析:开展国际多式联运具有许多优越性,主要表现在:
①简化托运、结算及理赔手续,节省人力、物力和有关费用;
②缩短货物运输时间,减少库存,降低货损货差事故,提高货运质量;
③降低运输成本,节省各种支出;
④提高运输管理水平,实现运输合理化;
⑤其他作用。
28、单项选择题 关于陆桥运输,下列说法不正确的是()。
A.陆桥运输是一种海陆联运形式
B.大陆桥运输是陆桥运输的一种形式
C.小陆桥运输是陆桥运输的一种形式
D.微桥运输不属于陆桥运输
点击查看答案
本题答案:D
本题解析:陆桥运输是指采用集装箱专用列车或卡车,把横贯大陆的铁路或公路作为中间"桥梁",使大陆两端的集装箱海运航线与专用列车或卡车连接起来的一种连贯运输方式;严格地讲,陆桥运输也是一种海陆联运形式;陆桥运输包括大陆桥运输、小陆桥运输和微桥运输。
29、单项选择题 多式联运的发展取决于()。
A.总承运人与分承运人的合同关系
B.成本与费用的分配
C.各种运输工具之间的衔接
D.集装箱技术
点击查看答案
本题答案:C
本题解析:暂无解析
30、判断题 目前对运输企业经营计划进行控制的进度控制法常用的是累计进度。
点击查看答案
本题答案:对
本题解析:目前运输企业常用的进度控制法是累计进度,即把某一计划指标先按照季度进行分解,确定进度水平,再按季度分解到月。
31、判断题 综合运输体系是运输生产力发展到一定阶段的产物。
点击查看答案
本题答案:对
本题解析:暂无解析
32、判断题 公路货运基本运价是指以普通中型吨位车辆整车装载二等货物,在等级公路上运输的每吨公里运费。
点击查看答案
本题答案:错
本题解析:公路货运基本运价是指以普通中型吨位车辆整车装载一等货物,在等级公路上运输的每吨公里运费。
33、判断题 货源计划包括货源市场开发和揽货计划,是运输企业市场营销的核心内容,在年度运输计划中具有主体地位。
点击查看答案
本题答案:对
本题解析:暂无解析
34、判断题 国际多式联运通常采取单一费率
点击查看答案
本题答案:对
本题解析:暂无解析
35、问答题
设配送中心0向7个客户Pi(i=1,…,7)配送货物。从配送中心到客户的距离为dOj(j=1,…,7)公里,各 客户之间的距离为dij(i=1,…,7;j=1,…,7)公里,如表
4-5所示(表中数字单位:公里)。
请用节约法求从配送中心出发配送货物的最短路线。
点击查看答案
本题答案:根据节约法的思想,设节约里程为Sij(i=1,&hel
本题解析:试题答案根据节约法的思想,设节约里程为Sij(i=1,…,4;j=1,…,4),则Sij为i和j两个用户离物流中心距离的之和再减去i和j之间的距离所得的值,即
。那么
,依此类推,可以得到各用户之间的Sij值如表4-6所示。
根据表4-6可得节约里程数的大小顺序如表4-7所示。
根据节约法的思想,首先选择节约里程数最大的路段,即(6~7),然后是(5~7),接下来依次为(1~5),(1~2),(2~4),(3~4);
因此,其配送路线为:0→6→7→5→1→2→4→3→0;
总路程为:
;
则从配送中心出发的最短配送路线为:配送中心→用户(6)→用户(7)→用户(5)→用户(1)→用户(2)→用户(4)→用户(3)→配送中心;从中心出发最短的配送里程为69公里。
36、判断题 运输市场管理的职能是计划、组织、指导、监督和服务。
点击查看答案
本题答案:对
本题解析:暂无解析
37、单项选择题 汽车燃料费用或维修保养费属于()。
A.固定成本
B.变动成本
C.综合成本
D.公共成本
点击查看答案
本题答案:B
本题解析:变动成本中包括与承运人运输每一票货物有关的直接费用,如劳动成本、燃料费用和维修保养费用等。
38、问答题 简述运输成本的分类。
点击查看答案
本题答案:运输成本主要由四项内容构成,即基础设施成本、运转设备成
本题解析:试题答案运输成本主要由四项内容构成,即基础设施成本、运转设备成本、营运成本和作业成本。这些成本又可按以下方式进行分类:
(1)变动成本。变动成本是指与每一次运输配送直接相关的费用,与运输里程和运输量成正比。它只有在运输工具未投入运营时才有可能避免。如劳动成本、燃料费用和维修保养费用等。
(2)固定成本。固定成本是指在短期内不发生变化,与运输里程和运输量没有直接关系的费用。对运输公司或配送中心来说,固定成本包括端点站、运输设施、运输工具、信息系统的设立和购置成本等。
(3)综合成本。综合成本是指决定提供某种特定的运输、配送服务所发生的费用。综合成本对运输收费有很大的影响,因为承运人索要的运价中必须包括隐含的综合成本。运价的确定要考虑托运人有无适当的回程货。
(4)公共成本。公共成本是指承运人代表所有的托运人或某个分市场的托运人支付的费用,包括诸如端点站或管理部门之类的费用。
39、单项选择题 运输经营者从事运输生产活动所创造的剩余价值包括()。
A.税金
B.税金和利润
C.利润
D.运输管理费
点击查看答案
本题答案:B
本题解析:税金是经营者从事运输生产活动所创造的剩余价值中的一部分;利润是经营者从事运输生产活动所创造的剩余价值中的另一部分,是经营者投资和从事运输活动所产生的收益。
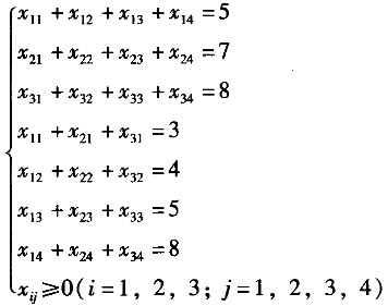
40、问答题
某公司经销一种产品,它下设三个生产点,每日的产量分别为:A1=5吨,A2=7吨,A3=8吨。该公司把这些产品分别运往四个销售点,各销售点每日的销量为:B=3吨,B2=4吨,B3=5吨,B4=8吨。已知每吨产品从各生产点到各销售点的运价如表4-1所示。(根据题目要求,列出计算表达式并进行计算)
请问:该公司应如何调运产品,才可在满足各生产点到各销售点需求置的前提下,使总运费最少。(建模)
点击查看答案
本题答案:由题意可知,供应量等于总需求量,该问题为一个平衡运输问
本题解析:试题答案由题意可知,供应量等于总需求量,该问题为一个平衡运输问题,该公司的运输网络含有三个供应点和四个需求点,其结构如图4-1所示。
设从生产点i到销售点j的调运量为xij(i=1,2,3;j=1,2,3,4),则目标函数为:
minZ=5x11+13x12+6x13+12x14+2x21+10x22+3x23+8x24+7x31+9x32+4x33+5x34
约束条件为:
41、判断题 运输密度也是影响运输成本的关键因素,随着产品密度的增加,单位重量的运输成本会降低。
点击查看答案
本题答案:错
本题解析:产品密度也是影响运输成本的因素之一。它是把货物的重量和空间两方面的因素结合起来考虑的因素。产品密度越高,产品所承担的每单位重量的运输成本相对较低。
42、判断题 目前,远东/欧洲的陆桥运输线只有西伯利亚大陆桥
点击查看答案
本题答案:错
本题解析:远东/欧洲的陆桥运输线有西伯利亚大陆桥和北美大陆桥。
43、判断题 运输市场机制是以客观经济规律为依据、市场要素为基础、市场信息为前提形成的。
点击查看答案
本题答案:错
本题解析:运输市场机制是以客观经济规律为依据、市场要素为基础、市场功能为前提形成的。
44、判断题 平均运输成本是运输价值的一般反映。
点击查看答案
本题答案:对
本题解析:暂无解析
45、多项选择题 下列说法中,关于综合运输体系的说法正确的是()。
A.是在五种运输方式的基本上组建起来的
B.是运输生产力发展到一定阶段的产物
C.由于涉及多种运输方式,运输效率较低
D.各种运输方式通过运输过程本身的要示联系起来的
E.是各种运输方式通过一种协作配合、优势互补的关系
点击查看答案
本题答案:A, B, D, E
本题解析:暂无解析
46、判断题 资金计划包括现金计划和固定资产投资资金计划,企业生产规模的扩大需要一定数量的资金支撑
点击查看答案
本题答案:对
本题解析:暂无解析
47、判断题 海陆联运是国际多式联运的主要组织形式,也是远东/欧洲多式联运的主要组织形式之一。
点击查看答案
本题答案:对
本题解析:暂无解析
48、问答题 简述我国运输市场管理的目标。
点击查看答案
本题答案:我国运输市场管理的总体目标是:保护合法经营,保障货主和
本题解析:试题答案我国运输市场管理的总体目标是:保护合法经营,保障货主和旅客的正当权益,维护运输秩序,促进公路运输事业的发展,实现货畅其流,人便于行,提高社会效益。这一总目标具有以下三层深刻的含义:
(1)运输业发展的基本目标:保护和发展道路运输生产力,维护运输秩序,促进道路运输事业自身的发展壮大。这是内设目标,即基本目标。
(2)发展运输业的根本目的:保障货主和旅客的正当权益,实现货畅其流,人便于行,更好地为社会经济与人民生活服务。这是外设目标,即根本目的。
(3)实施运输市场管理的核心:提高道路运输活动的社会效益,降低国民经济体系运转的总成本及人民生活开支的总费用。
49、问答题 简述滚动式计划方法的特点和编制方法。
点击查看答案
本题答案:滚动式计划方法是一种把长短计划结合起来,并随着时间的推
本题解析:试题答案滚动式计划方法是一种把长短计划结合起来,并随着时间的推移,逐步将计划向前延伸的计划方法。其特点和编制方法如下:
(1)逐步延伸。要求每年对长期运输计划修订一次,每执行完一年,就必须根据执行结果和新一年内的可能变化,重新修订计划,并将计划期向前顺移一年。
(2)远近结合。企业编制的五年长期计划,执行一年后再把计划期向前滚动一年,一直保持五年,而每一个年度所编制的年度运输计划又都直接成为五年长期运输计划的组成部分。
(3)近细远精。第一年是执行计划,其编制应详尽具体;第二、三年是准备计划,编制可比较细一些;第四、五年是预测计划,着重于战略目标计划编制较精的概略。
(4)灵活性强。随着客观形势变化,企业经营战略和方针的转换和第一年计划执行的结果,能应用滚动式计划得到及时调整修订。
(5)确定滚动间隔期。确定前后两次编制和修订长期运输计划的间隔期,通常运输企业的长期运输计划为五年,而每年都要编制年度的运输计划,所以其间隔一般确定为一年。采用滚动式计划方法编制运输计划,既可每年对长期运输计划的执行情况进行检查,又可把每年发生变化的因素考虑进新的长期运输计划中,并使长期运输计划与年度运输计划相互衔接,顺利实现企业的经营目标。
50、判断题 利用"节约法"制定配送路线的主要出发点是,根据配送中心的运输能力(包括车辆的多少和载重量)和配送中心到各个用户以及各个用户之间的距离来制定使总的车辆运输的t.km数量最小的配送方案。
点击查看答案
本题答案:对
本题解析:暂无解析
51、单项选择题 在完全竞争的运输市场条件下,每一个运输都是价格的()。
A.决定者
B.被动接受者
C.决定者和接受者
D.主动接受者
点击查看答案
本题答案:B
本题解析:在完全竞争条件下,由于有众多的运输,每一个运输提供的运输产品都是一样的,而且每一个运输与运输企业、货主和交易相对于整个市场的交易来说都是微不足道的,每一个运输都是被动的价格接受者而不是价格决定者。
52、单项选择题 在一次运输中采用两种或以上不同运输方式的运输组织形式称()。
A.多式联运
B.驮背式
C.滚装滚卸
D.远洋运输
点击查看答案
本题答案:A
本题解析:暂无解析
53、判断题 在水路运输合同中,货物发运前,承运人或托运人不管是否征得对方的同意,均不可解除运输合同。
点击查看答案
本题答案:错
本题解析:在水路运输合同中,货物发运前,承运人或托运人征得对方同意,可以解除运输合同。承运人提出解除合同的,应退还已收的运输费用,并付给托运人已发生的货物进港短途搬运费用;托运人提出解除合同的,应付给承运人已发生的港口费用和船舶待时费用。
54、判断题 所谓陆桥运输是指采用集装箱专用列车或卡车,把横贯大陆的铁路或公路作为中间"桥梁",使大陆两端的集装箱海运航线与专用列车或卡车连接起来的一种连贯运输方式。严格地讲,陆桥运输也是一种海陆联运形式。
点击查看答案
本题答案:对
本题解析:暂无解析
55、单项选择题 货运企业必须对不同客户实行()服务,以确保资源的有效运用。
A.差别化
B.定制式
C.不同
D.等级制
点击查看答案
本题答案:A
本题解析:暂无解析
56、判断题 运输业是国家基础产业,属于服务业,具有竞争性特征,不属于公益事业。
点击查看答案
本题答案:错
本题解析:运输业是国家基础产业,属于服务业,具有公益性和竞争性双重特征。
57、单项选择题 水路运输时,同一运单的货物不得变更其中的一部分,并只能变更()次。
A.一
B.二
C.三
D.无限制
点击查看答案
本题答案:A
本题解析:暂无解析
58、多项选择题 送达速度一般由哪几部分时间构成()
A.运行时间
B.途中停留时间
C.始发的作业时间
D.终到的作业时间
E.签订承运托运合同时间
点击查看答案
本题答案:A, B, C, D
本题解析:暂无解析
59、单项选择题 我国合同法规定,联运经营人与各区段的约定不影响联运经营人对托运人的损害承担()。
A.全部责任
B.次要责任
C.连带责任
D.免除责任
点击查看答案
本题答案:C
本题解析:暂无解析
60、多项选择题 根据运价对国民经济和人民生活的影响程度,运输价格可分为()。
A.行业定价
B.政府定价
C.政府指导价
D.经营者定价
E.区域定价
点击查看答案
本题答案:B, C, D
本题解析:根据运价对国民经济和人民生活的影响程度,运输价格可分为三类:
①政府定价,指各级交通主管部门按照运输价格管理权限,制定的运输统一价格;
②政府指导价,指各级交通主管部门按照运输价格管理权限,制定的运输中准价格、浮动幅度及最低保护价;
③经营者定价,指经营者在运输价格法规规定的范围内,根据运输生产成本、平均利润水平和市场供求状况,自主制定的运输价格。
61、判断题 综合运输体系是各种运输方式在分工的基础上,实现协作配合,优势互补的要求。
点击查看答案
本题答案:对
本题解析:暂无解析
62、判断题 航空运输是速度最快、运输高、运量大的一种运输方式
点击查看答案
本题答案:错
本题解析:暂无解析
63、单项选择题 下列哪种情况属于推定全损()
A.深海沉船
B.烟草浸泡传味
C.战时被没收
D.救助或施救费用超过将损失价值
点击查看答案
本题答案:D
本题解析:暂无解析
64、单项选择题 在不考虑品牌的前提下,选择运输商以()为主要依据。
A.运价
B.运输网络
C.最短运输时间
D.运价与运输时间的均衡
点击查看答案
本题答案:D
本题解析:暂无解析
65、判断题 政府定价就是指各级交通主管部门按照运输价格管理权限,制定的运输中准价格、浮动幅度及最低保护价。
点击查看答案
本题答案:错
本题解析:政府指导价是指各级交通主管部门按照运输价格管理权限,制定的运输中准价格、浮动幅度及最低保护价。
66、判断题 运输用户是为运输提供的服务付款的人,是运输的终端用户。
点击查看答案
本题答案:错
本题解析:运输用户是为运输提供的服务付款的人。运输用户应该是托运人,国家的生产者和消费者是运输的终端用户。
67、单项选择题 下列各项属于联合成本的是()。
A.燃料成本
B.管理费
C.对流运输的回程费用
D.购置车辆费用
点击查看答案
本题答案:C
本题解析:暂无解析
68、问答题 论述影响运输成本的因素。
点击查看答案
本题答案:一般来说,运输量越大,运输距离越远,运输的速率越高,运
本题解析:试题答案一般来说,运输量越大,运输距离越远,运输的速率越高,运输成本就越低。除了这些因素之外,运输成本还与产品密度、运输工具的积载能力、搬运方式、商品特性以及市场因素有关。这些因素的具体内容如下:
(1)运输距离距离是影响运输成本的主要因素,因为它直接对劳动、燃料和维修保养等变动成本发生作用。通常,运输成本是随距离增长而减少的,即遵循递减原则,运输距离越长,每公里单位运输成本越低。
(2)产品密度产品密度是把货物的重量和空间两方面的因素结合起来考虑的因素,产品密度越高,相对的可以把固定运输成本分摊到增加的重量上去,使这些产品所承担的每单位重量的运输成本相对较低。一般而言,每单位重量的运输成本随产品密度的增加而下降。
(3)积载能力积载能力因素是指由于产品的具体尺寸、形状及其对运输工具的空间利用程度的影响。积载能力因素也与装运规模有关,大批量装运往往能够相互嵌套,有利于积载;小批量装运相互嵌套的机会少,可能难以积载。
(4)搬运方式物品在运输或配送过程中通常要用刚性容器或承载工具进行成组形成运输单元(集装单元),以提高搬运效率,同时也保护了商品,减少货损货差,从而使运输配送成本下降。
(5)商品特性有些物品具有易损、易腐、易自燃、易自爆等特性,容易造成损坏风险和导致索赔事故,运输或配送这些商品除需要特殊的运输工具和运输方式外,承运人还必须通过保险来预防可能发生的索赔,从而增加了运输成本。承运人除投保外,还应要求托运人改善包装,以降低风险,最终降低运输成本。
(6)市场因素市场因素是指运输、配送的起点与终点之间相向运输的货物量是否平衡,如果不平衡,必然会有返空的现象,这就会造成运力的浪费。但完全平衡的情况很少,主要由于生产布局上的不平衡,或由于生产和消费季节性方面的原因所致。
69、判断题 运输需求的不平衡性体现在时间、空间和方向上。
点击查看答案
本题答案:对
本题解析:暂无解析
70、多项选择题 运输需求的特征有()。
A.派生性
B.竞争性
C.规律性
D.不平衡性
E.个别需求的异质性
点击查看答案
本题答案:A, C, D, E
本题解析:运输需求的特征有:
①派生性。运输需求是社会经济活动的需求派生出来的,完成空间位移只是其为实现真正目的的一个必不可少的环节,相对运输需求而言,社会经济活动是本源需求,运输需求是派生需求;
②规律性。运输需求起源于社会经济活动,而社会经济的发展及增长速度具有一定的规律性,因此,运输需求也具有规律性;
③不平衡性。运输需求的不平衡性体现在时间、空间和方向上;
④个别需求的异质性。指个别运输需求因货种和服务内容而对质量管理和工艺要求不同,对运价水平要求不同等。
71、判断题 索赔是保险人在知悉发生保险事故并调查确认法律责任归属后,审查索赔材料,作出赔付、部分赔付或拒赔等决定的法律行为。
点击查看答案
本题答案:错
本题解析:索赔是指被保险人依据海上保险合同所享有的重要权利,当保险标的发生保险项下的保险事故造成损失或对此损失负有责任时,被保险人有权要求保险人赔偿或追偿;理赔是保险人在知悉发生保险事故并调查确认法律责任归属后,审查索赔材料,作出赔付、部分赔付或拒赔等决定的法律行为。
72、判断题 随着经济和社会的发展,科学技术的进步,运输过程由多样化向单一方式发展,运输工具由简单化向现代化发展。
点击查看答案
本题答案:错
本题解析:随着经济和社会的发展,科学技术的进步,运输过程由单一方式向多样化发展,运输工具由简陋向现代化发展。
73、判断题 货物运输需求本质上是一种派生需求。
点击查看答案
本题答案:对
本题解析:暂无解析
74、多项选择题 运输企业综合平衡的主要内容有()。
A.需要和能力的平衡
B.经营活动各环节的平衡
C.产量、收入、成本、利润之间的平衡
D.长期运输计划和年度运输计划的平衡
E.生产、效率和职工工资福利的平衡
点击查看答案
本题答案:A, B, C, D, E
本题解析:运输企业综合平衡的内容主要有:
①需要和能力的平衡;
②经营活动过程各环节的平衡;
③产量、收入、成本、利润之间的平衡;
④长期运输计划和年度运输计划的平衡;
⑤生产、效率与职工工资福利的平衡等。
75、多项选择题 西伯利亚大陆桥运输包括()等运输方式。
A.海铁铁
B.海铁海
C.海铁公
D.海公空
E.海陆海
点击查看答案
本题答案:A, B, C, D
本题解析:西伯利亚大陆桥(SLB)是指使用国际标准集装箱,将货物由远东海运到俄罗斯东部港口,再经跨越欧亚大陆的西伯利亚铁路运至波罗的海沿岸如爱沙尼亚的塔林或拉脱维亚的里加等港口,然后再采用铁路、公路或海运运到欧洲各地的国际多式联运的运输线路。西伯利亚大陆桥运输包括"海铁铁"、"海铁海"、"海铁公"和"海公空"等四种运输方式。
76、多项选择题 下列属于运输市场管理职能的有()
A.政策方针和法律规范
B.市场调节
C.经营组织
D.竞争诱导
E.协调服务与监督检查
点击查看答案
本题答案:A, E
本题解析:暂无解析
77、判断题 保险公司是运输企业的融资公众之一。
点击查看答案
本题答案:错
本题解析:暂无解析
78、多项选择题 运输市场的参与者包括()。
A.客、货运输需求者
B.提供运输服务的部门以及运输经营者的行业组织
C.与运输相关服务的货运代理公司、经纪人等
D.运输管理部门
E.政府有关机构
点击查看答案
本题答案:A, B, C, D, E
本题解析:运输市场的参与者包括:
①需求方,包括各种经济成分的客、货运输需求者;
②供给方,包括为各种运输方式的运输服务需求者提供服务的部门以及运输经营者的行业组织;
③中介方,包括在运输需求和供给双方之间,以中间人的身份提供各种与运输相关的服务的货运代理公司、经纪人、信息咨询公司等;
④政府方,包括政府有关机构和各级交通运输及其运输管理部门。
79、单项选择题 根据运价对国民经济和人民生活的影响程度,运输价格形式中不包括()。
A.政府定价
B.政府指导价
C.市场参考定价
D.经营者定价
点击查看答案
本题答案:C
本题解析:暂无解析
80、单项选择题 海上货物运输保险中,如海轮到港卸货后,收货人未及时提货,则保险责任最多延长至()天
A.15
B.30
C.45
D.60
点击查看答案
本题答案:D
本题解析:暂无解析
81、判断题 从运输业发展的历史和现状看,各种运输方式在运输市场和技术发展上相互相作配合。
点击查看答案
本题答案:错
本题解析:暂无解析
82、单项选择题 下列各运输方式组合中,不属于国际多式联运的是()。
A.铁路、水路联运
B.公路、水路联运
C.航空、水路联运
D.公路、公路联运
点击查看答案
本题答案:D
本题解析:暂无解析
83、单项选择题 发生公路货物运输事故时,提出赔偿的时限为()
A.90天
B.180天
C.60天
D.1年
点击查看答案
本题答案:B
本题解析:暂无解析
84、判断题 运输市场结构调控也就是动力结构调控。
点击查看答案
本题答案:对
本题解析:暂无解析
85、多项选择题 运输价格是由下列哪些内容构成()
A.运输成本
B.税金
C.利润
D.员工管理
E.其他费用
点击查看答案
本题答案:A, B, C
本题解析:暂无解析
86、判断题 运输企业的市场营销部门和营销人员,对内是运输企业利益的代表,对外是社会利益的代表。
点击查看答案
本题答案:错
本题解析:运输企业的市场营销部门和营销人员,对外是运输企业利益的代表,对内是社会利益的代表。
87、多项选择题 运输企业面临的社会公众主要包括()。
A.融资公众
B.政府公众
C.媒体公众
D.当地公众
E.内部公众
点击查看答案
本题答案:A, B, C, D, E
本题解析:运输的社会公众是指对运输企业在进行市场营销活动时发生直接或间接影响的社会团体或机构。运输企业面临的社会公众主要包括:
①融资公众,如银行、投资公司、证券公司和保险公司等;
②政府公众,如财政、税务、商检、海关、计委等部门;
③媒体公众,如报社、杂志、广播电台、电视台等;
④当地公众,指企业周围的居民和社区组织;
⑤内部公众,指企业内部的董事会、经理、职工等。
88、判断题 在制定运价时,应考虑各种运输形式间的价格协调,形成全理的差价比价的形式进行。
点击查看答案
本题答案:对
本题解析:暂无解析
89、判断题 运输工具保险是以各类运输工具,如汽车、飞机、船舶、火车等为保险标的的保险,保险人承保运输工具因遭受自然灾害和意外事故造成运输工具本身的损失和第三者责任。
点击查看答案
本题答案:对
本题解析:暂无解析
90、判断题 以公务和商务为目的的旅客运输需求属于消费性旅行需求。
点击查看答案
本题答案:错
本题解析:以公务和商务为目的的旅客运输需求属于生产性旅行需求;以探亲、旅游为目的的旅客运输需求属于消费性旅行需求。
91、判断题 运输需求是指在一定时期内,一定的价格水平下,社会经济生活在货物和旅客空间位移服务所提出的具有支付能力的需要。
点击查看答案
本题答案:对
本题解析:暂无解析
92、判断题 准确核算运输成本是制定运价的重要依据。
点击查看答案
本题答案:对
本题解析:运输成本是指运输经营者完成运输生产任务所耗费的全部活化劳动和物化劳动的货币表现。它是运价的主要组成部分。运输成本的高低,在很大程度上反映了运输劳务价值量的大小。准确核算运输成本是制定运价的重要依据。
93、判断题 陆桥运输和空桥运输的区别在于:在整个运输过程中,陆桥运输使用的是不同的集装箱,而空桥运输使用的是同一集装箱,不用换装。
点击查看答案
本题答案:错
本题解析:陆桥运输和空桥运输的区别在于:陆桥运输在整个货运过程中使用的是同一个集装箱,不用换装,而空桥运输的货物通常要在航空港换入航空集装箱。
94、单项选择题 下列运输方式中,成本最低的是()
A.铁路运输
B.航空运输
C.水路运输
D.公路运输
点击查看答案
本题答案:C
本题解析:暂无解析
95、单项选择题 运输价格的制定和核计,按具体运输服务内容的不同,以()的形式进行。
A.基价加附加价
B.运输费加服务费
C.运输费加保管费
D.运输费加搬运费
点击查看答案
本题答案:A
本题解析:运输体系内服务项目繁多,成本消耗方式各异,因此,制定和核计运输服务价格,应根据具体服务内容的不同,以基价加附加价的形式进行。
96、单项选择题 下列各项不属于调查企业经营外部环境的是()。
A.政治经济技术环境
B.运输市场环境
C.资源环境
D.竞争环境
点击查看答案
本题答案:C
本题解析:调查企业经营的外部环境主要有:①政治经济技术环境;②运输市场环境;③竞争环境。
97、多项选择题 根据运价对国民经济和人民生活的影响程度,运价可分为()。
A.政府定价
B.市场参考价
C.收入定价
D.政府指导价
E.经营者定价
点击查看答案
本题答案:A, D, E
本题解析:暂无解析
98、单项选择题 ()是事后处理货运事故的依据。
A.货运记录
B.货物运单
C.提货单
D.货票
点击查看答案
本题答案:A
本题解析:暂无解析
99、判断题 运输保险是指在运输过程中基于运载工具或货物产生的财产保险、责任保险。
点击查看答案
本题答案:对
本题解析:暂无解析
100、单项选择题 利用节法法求解必须做出的一些假设,下列说法错误的是()。
A.配送的是同一种货物
B.各用户的坐标(x.y)已知
C.配送中心有一定的运输能力
D.各用户的需求量已知
点击查看答案
本题答案:C
本题解析:暂无解析
题库试看结束后
微信扫下方二维码即可打包下载完整版《
★物流师(二级)》题库
手机用户可保存上方二维码到手机中,在微信扫一扫中右上角选择“从相册选取二维码”即可。
题库试看结束后
微信扫下方二维码即可打包下载完整版《
物流师(二级):运输管理》题库,
分栏、分答案解析排版、小字体方便打印背记!经广大会员朋友实战检验,此方法考试通过率大大提高!绝对是您考试过关的不二利器!
手机用户可
保存上方二维码到手机中,在
微信扫一扫中右上角选择“从
相册选取二维码”即可。