手机用户可
保存上方二维码到手机中,在
微信扫一扫中右上角选择“从
相册选取二维码”即可。
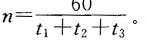
1、单项选择题 在间歇式设备生产率计算公式:中,其中〃的含义是()。
A.每拌制一份料的质量
B.时间利用系数
C.每小时拌制的份数
D.设备功率
点击查看答案
本题答案:C
本题解析:
2、单项选择题 既能适用于粘性土路基施工又能适用于沥青混凝土路面施工的机械是()。
A.静力光轮压路机
B.振动压路机
C.轮胎压路机
D.夯实机械
点击查看答案
本题答案:A
本题解析:暂无解析
3、多项选择题 压实机械按压实作用的原理分为()。
A.静作用碾压机械
B.振动碾压机械
C.平板机械
D.夯实机械
E.轮胎压路机械
点击查看答案
本题答案:A, B, D
本题解析:压实机械按压实作用原理分为静作用碾压机械、振动碾压机械和夯实机械三种类型。静作用碾压机械包括各种型号的光轮压路机、轮胎压路机(简称轮胎碾)、羊脚压路机(简称羊脚碾)、凸块压路机(简称凸块碾)及各种拖式压滚等。振动式碾压机械(简称振动碾)包括各种拖式和自行振动式。夯实机械:主要用于夯实土壤,夯实机械又分为冲击夯实和振动夯实两类。
4、单项选择题 相比较而言,适用于100m以内的短距离运土的设备是()。
A.拖式铲运机
B.自行式铲运机
C.装载机、翻斗车
D.推土机
点击查看答案
本题答案:D
本题解析:暂无解析
5、单项选择题 桥梁灌注桩钻孔施工,最广泛应用于卵石、漂石地质条件下的施工机械是()。
来源:91考试网 91exam.org
A.液压循环钻机
B.冲击钻机
C.旋挖钻机
D.潜水钻机
点击查看答案
本题答案:B
本题解析:暂无解析
6、单项选择题 相对于轮胎式推土机,下面属于履带式推土机特点的是()。
A.爬坡能力强
B.行驶速度高
C.作业循环时间短
D.运输转移不损坏路面
点击查看答案
本题答案:A
本题解析:暂无解析
7、单项选择题
土方工程施工中,最适用于运土距离为100~300m的机械是()。
A.大型推土机(118~235kW)
B.大型装载机(3m3)
C.大型铲运机(15~30m3)
D.中小型铲运机(≤15m3)
点击查看答案
本题答案:D
本题解析:暂无解析
8来源:91考试网 91Exam.org、单项选择题 按我国目前规范要求,高等级公路沥青路面施工应使用()设备。
A.连续强制式搅拌
B.间歇强制式搅拌
C.间歇滚筒式搅拌
D.连续滚筒式搅拌
点击查看答案
本题答案:B
本题解析:暂无解析
9、单项选择题
在间歇式设备生产率计算公式:
中,其中n的含义是()。
A.每拌制一份料的质量
B.时间利来源:91考试网用系数
C.每小时拌制的份数
D.设备功率
点击查看答案
本题答案:C
本题解析:式中Gj--每拌制一份料的重量(kg);n-每小时拌制的份数;KB--时间利用系数,KB=0.8~0.9。
。t1--搅拌器加料时间(min);t2--混合料搅拌时间(min);t4--成品料卸料时间(min)。
10、多项选择题 自行式摊铺机可分为履带式、轮胎式及复合式三种,下面属于轮胎式摊铺机特点的有()。
A.行驶速度快
B.对地面较高的凸起点适应能力差
C.弯道摊铺 质量好
D.广泛应用于小型自行式摊铺机上
E.结构简单,造价低
点击查看答案
本题答案:A, C, E
本题解析:暂无解析
11、多项选择题 与轮胎式推土机比较而言,履带式推土机的特点有()。
A.运输转移不损坏路面
B.爬坡能力强
C.附着牵引力大
D.行驶速度高
E.机动性好
点击查看答案
本题答案:B, C
本题解析:暂无解析
题库试看结束后
微信扫下方二维码即可打包下载完整版《
★公路工程》题库
手机用户可保存上方二维码到手机中,在微信扫一扫中右上角选择“从相册选取二维码”即可。
手机用户可
保存上方二维码到手机中,在
微信扫一扫中右上角选择“从
相册选取二维码”即可。