手机用户可
保存上方二维码到手机中,在
微信扫一扫中右上角选择“从
相册选取二维码”即可。
1、问答题
一个硅二极管电路如图E-37所示,要接成单相桥式整流电路,并标明输入端、输出端和输出的正负极。

点击查看答案
本题答案:
试题答案
2、判断题 机组进行自动准同期并网时,先合上发电机出口端断路器,然后马上给发电机加上励磁。
点击查看答案
本题答案:错
本题解析:暂无解析
3、判断题 高压断路器主要是用来切断电源的。
点击查看答案
本题答案:错
本题解析:暂无解析
4、多项选择题 按坝的受力情况和结构特点分为()。
A、溢流坝;
B、混凝土坝;
C、拱坝;
D、重力坝;
点击查看答案
本题答案:C, D
本题解析:暂无解析
5、单项选择题 水头是恒定的流,明渠中的()沿程不变。
A、总水头;
B、流量;
C、流速;
D、位能
点击查看答案
本题答案:B
本题解析:暂无解析
6、单项选择题 同期并列瞬间待并发电机与电力系统的相位角差不允许超过()。
A、0°;
B、5°;
C、10°;
D、20°;
点击查看答案
本题答案:B
本题解析:暂无解析
7、单项选择题 水电厂的厂用电是指()。
A、厂用机械用电;
B、发电机用电;
C、照明用电;
D、厂用机械及照明;
点击查看答案
本题答案:D
本题解析:暂无解析
8、单项选择题 悬式水轮发电机的推力轴承位于()机架上,在转子的()方。
A、上;
B、下;
C、负荷;
D、非负荷;
点击查看答案
本题答案:A
本题解析:暂无解析
9、问答题 对厂用电有哪些基本要求?
点击查看答案
本题答案:对厂用电的基本要求有:
(1)厂用电工作电源
本题解析:试题答案对厂用电的基本要求有:
(1)厂用电工作电源与备用电源应连接在不同的电源上;
(2)正常运行时厂用电源不得少于两个;
(3)带厂用电的机组,可适当地将重要辅机安排在有厂用发电机的系统上;
(4)具有备用电源自动投入装置。
10、问答题 说明厂用变压器冲击合闸试验的目的和操作步骤。
点击查看答案
本题答案:主要目的是:检验变压器的绝缘和机械强度能否承受全电压充
本题解析:试题答案主要目的是:检验变压器的绝缘和机械强度能否承受全电压充电和操作过电压的冲击,并且检查继电保护的整定值,能否躲开空载合闸时较大的励磁涌流,以保证变压器空载合闸时,其快速继电保护装置不会动作。
厂用变压器冲击合闸试验均采用从装有保护的高压侧进行充电。该试验应注意以下问题:
(1)收回检修作业票,检查现场无异物;
(2)撤除安全措施;
(3)将保护的后备接线及跳运行开关的二次接线(或压板)断开,以不影响正常的供电系统;
(4)变压器保护全部投入;
(5)变压器低压侧开关拉至“移开位置”;
(6)变压器的保护电源、信号电源投入;
(7)变压器高压侧开关的合闸电源、操作电源投入;
(8)检查变压器高压侧开关在分,将该开关推至“连接”位置固定好,投入变压器的冷却系统;
(9)通知值长,联系检修人员,合变压器高压侧开关,做冲击合闸试验;
(10)检查变压器本体无异常;
(11)分开变压器高压侧开关;
(12)试验措施恢复原状。
11、问答题 频率下降有哪些危害?应采取哪些措施?
点击查看答案
本题答案:会使火电厂厂用机械的出力降低,严重时使发电机出力降低,
本题解析:试题答案会使火电厂厂用机械的出力降低,严重时使发电机出力降低,从而使系统频率继续下降形成恶性循环;会使用户电动机的转速下降,影响产品的质量。主要措施:
(1)投入旋转备用容量;
(2)迅速启动备用机组;
(3)切除部分负荷。
12、单项选择题 轴流转桨式水轮机主轴中心孔是()。
A.装置操作油管;
B.用来轴心补气;
C.以上两条兼有之;
D.都不对。
点击查看答案
本题答案:A
本题解析:暂无解析
13、单项选择题 异步电动机运行中转速变慢,定子电流时大时小,出现周期性摆动,机座振动,有时还发生嗡嗡之声,其故障性质是()。
A、定子线圈接地;
B、转子断条;
C、三相运行;
D、基础螺栓松动。
点击查看答案
本题答案:B
本题解析:暂无解析
14、判断题 对负序分量滤过器,当通入正序和零序时,滤过器无输出。
点击查看答案
本题答案:对
本题解析:暂无解析
15、判断题 如果发电机的电压表、电流表、功率表周期性的剧烈电震荡。
点击查看答案
本题答案:错
本题解析:暂无解析
16、问答题 少油断路器油面降低、SF6断路器气压降低时如何处理?
点击查看答案
本题答案:因为在这两种情况下,断路器的灭弧能力降低乃至丧失,此时
本题解析:试题答案因为在这两种情况下,断路器的灭弧能力降低乃至丧失,此时不允许该断路器带负荷分闸。
为了防止此时保护动作于该断路器跳闸,应请示有关人员后切断开有关保护电源(不能切保护电源的应断开其跳闸回路),将该开关所带的负荷转移或停电,再断开其上一级供电断路器后再将该断路器分闸,做好措施,联系检修处理。
17、问答题 试述直流系统一点接地的事故处理方法。
点击查看答案
本题答案:出现直流一点接地信号后,虽然直流系统还能继续运行,但应
本题解析:试题答案出现直流一点接地信号后,虽然直流系统还能继续运行,但应尽快查找接地点并加以清除,以防直流两点接地引起保护的误动或拒动。对于装有微机型直流绝缘监察装置的直流系统,因为其接地支路都能检测出来,所以通知检修人员只要查找该支路即可,因此其处理比较简单。
但是对只装有常规平衡桥式绝缘监察装置的电厂,其直流接地故障的查找原则如下:
(1)对于装有两套以上直流供电装置,且直流母线是分多段运行的水电站,首先应将接地组的直流供电装置所带负荷倒至另一套直流供电装置,以判断接地点发生在电源侧还是负荷侧。如果是电源侧接地,则其所带负荷暂由另一套装置供电;如果是负荷侧接地,则将负荷仍倒至接地组直流装置供电,减小接地影响范围,然后按照“母线分段查找和先切不重要负荷后切重要负荷”的原则进行逐一查找。
(2)对直流系统进行电压检测,以判明故障点发生在正极母线还是负极母线。
(3)选切保护与操作直流时,应征得调度的同意,并做好事故预想,在值长的统一指挥下进行。
(4)接地点检查出来后,应通知检修人员尽快处理。
18、单项选择题 变速机构在一定范围内平行移动()
A、水轮机静特曲线;
B、发电机静特曲线;
C、调速器静特曲线;
D、调速系统静特曲线
点击查看答案
本题答案:D
本题解析:暂无解析
19、单项选择题 从油浸变压器顶部看,约有1%~1.5%的坡度,这是()。
A、安装误差;
B、导顺气流通道;
C、没有什么用途;
D、放油彻底。
点击查看答案
本题答案:B
本题解析:暂无解析
20、问答题 将下列二进制数化为十进制数:①(1001)=?②(101111)=?
点击查看答案
本题答案:①9;
②47。
本题解析:试题答案①9;
②47。
21、问答题 一台f=50Hz的三相同步发电机,其转子磁极数2p=56,求其同步转速?若定子槽数Z=456槽,则每极每相槽数q为多少?
点击查看答案
本题答案:
试题答案
22、单项选择题 ()是将未投入系统的发电机加上励磁,在满足并列条件时将发电机投入系统。
A、自同期;
B、准同期;
C、手动并列;
点击查看答案
本题答案:B
本题解析:暂无解析
23、单项选择题 介质被击穿形成电弧后,电弧得以维持燃烧的主要原因是靠()。
A、碰撞游离;
B、热游离;
C、强电场发射;
D、热电 发射。
点击查看答案
本题答案:B
本题解析:暂无解析
24、单项选择题 高效率区较宽的水轮机型式是:()。
A、轴流式;
B、转桨式;
C、冲击式;
D、轴流转桨式。
点击查看答案
本题答案:D
本题解析:暂无解析
25、单项选择题 空蚀破坏主要是()。
A、化学作用;
B、机械破坏作用;
C、电化作用;
点击查看答案
本题答案:B
本题解析:暂无解析
26、判断题 在全波整流电路中,如果一个二极管开路,电路仍能提供一定的电压。
点击查看答案
本题答案:对
本题解析:暂无解析
27、单项选择题 零序功率方向继电器的电压线圈()接到零序电压滤过器的出口上。
A、正极性;
B、反极性;
C、任意;
D、负极性。
点击查看答案
本题答案:B
本题解析:暂无解析
28、单项选择题 调速器永态转差系数bp值一般为()
A、0~8﹪;
B、0~100﹪;
C、1﹪;
D、1﹪~5﹪。
点击查看答案
本题答案:A
本题解析:暂无解析
29、判断题 温度对三极管输入特性没有影响,只对输出特性有影响。
点击查看答案
本题答案:错
本题解析:暂无解析
30、单项选择题 在交流电路中,容抗与频率成()。
A、正比;
B、反比;
C、非线性;
D、二次方。
点击查看答案
本题答案:B
本题解析:暂无解析
31、判断题 自感电动势eL的大小和线圈中电流变化率成正比,即eL=-LΔi/Δt。
点击查看答案
本题答案:对
本题解析:暂无解析
32、单项选择题 振动中的干扰来自水轮机水力部分的动水压力振动为()。
A、机械振动;
B、水力振动;
C、电磁振动;
点击查看答案
本题答案:B
本题解析:暂无解析
33、多项选择题 水电厂厂内低压风的用途是()。
A、防冻吹冰;
B、空气开关的操作;
C、风闸制动;
D、检修用风;
点击查看答案
本题答案:A, B, C, D
本题解析:暂无解析
34、问答题 单相桥式整流电路中,如果一个二极管短路、断路、反接,电路会出现什么情况?
点击查看答案
本题答案:(1)当一个二极管短路时,流过相邻一个二极管的电流特别
本题解析:试题答案(1)当一个二极管短路时,流过相邻一个二极管的电流特别大,所以相邻的一个二极管和变压器易烧坏;
(2)当一个二极管断路时,桥式整流变为半波整流,输出变为脉动直流,使用电设备不能正常工作;
(3)当一个二极管反接时,该反接二极管将在其正常时的截止半波中构成短路电路,引起整流中二极管和变压器的烧坏。
35、多项选择题 推力轴承油盆中油的作用是()。
A、绝缘;
B、冷却;
C、润滑;
D、顶转子;
点击查看答案
本题答案:B, C
本题解析:暂无解析
36、判断题 一线圈,若线圈匝数绕得越密,所通电流越大,则磁场就越强。
点击查看答案
本题答案:对
本题解析:暂无解析
37、单项选择题 对低比转速水轮机,流量随转速增加而()。
A、增加;
B、减小;
C、不变
91ExAm.org
点击查看答案
本题答案:B
本题解析:暂无解析
38、问答题 画出压油槽自动补气装置图。
点击查看答案
本题答案:
试题答案
39、判断题 正弦交流相量的加减,可以将相量直接相加减。
点击查看答案
本题答案:错
本题解析:暂无解析
40、单项选择题 水轮机调速系统中,由原来的平衡状态过渡到新的平衡状态的过程称为()或动态过程。
A、平衡过程;
B、不平衡过程;
C、过渡过程;
D、非稳定过程。
点击查看答案
本题答案:C
本题解析:暂无解析
41、单项选择题 在开关的位置中,表示是试验位置的英语单词是()
A、OPEN;
B、CLOSE;
C、TEST
D、CONNECTED
点击查看答案
本题答案:C
本题解析:暂无解析
42、问答题 机组大修后,接力器充油试验的主要目的是什么?
点击查看答案
本题答案:当调速系统和接力器排油检修时,内部已进入空气,若不设法
本题解析:试题答案当调速系统和接力器排油检修时,内部已进入空气,若不设法排除,在开机过程中,由于设备内部空气被压缩和膨胀,会造成调速系统振动,极易损坏油管路和设备。
为防止此现象出现,所以每次大修接力器充油后要作一次试验,将导水叶全行程开闭几次,将空气排出。
43、多项选择题 自动空气开关可分为()。
A、外壳式;
B、框架式;
C、万能式;
D、胶盖闸刀;
点击查看答案
本题答案:B, C
本题解析:暂无解析
44、问答题 厂用变压器停送电的操作原则是什么?
点击查看答案
本题答案:主要操作原则有:
(1)当变压器为单电源时,
本题解析:试题答案主要操作原则有:
(1)当变压器为单电源时,送电应先合电源侧断路器,后合负荷侧断路器,停电时操作顺序与上述相反。
(2)当变压器高、中、低压侧有电源时,应先合高压侧断路器,后合中压侧断路器,停电则与上述顺序相反。
(3)在中性点接地系统中,中性点应投入方可对变压器进行送电操作。
(4)对带有消弧线圈的变压器进行操作时,应首先考虑到系统的补偿度是否恰当。
45、单项选择题 变压器负载状态下,二次侧磁通势与一次侧磁通势的相位是()。
A、相同;
B、相反;
C、没有直接关系;
点击查看答案
本题答案:B
本题解析:暂无解析
46、问答题 画出两个条形磁铁同性磁极(N)相互接近时的磁力线方向。
点击查看答案
本题答案:
试题答案
47、单项选择题 下面有关反馈说法正确的是:()。
A、反馈是指将输出信号通过反馈电路送还到输入端;
B、反馈的作用是为了提高放大倍数;
C、反馈的作用是为了提高电路的稳定性;
D、正反馈有利于提高电路的稳定性。
点击查看答案
本题答案:A
本题解析:暂无解析
48、单项选择题 变压器全电压充电时,(),可能导致保护误动
A、空载电流;
B、激磁涌流;
C、负荷电流;
D、短路电流。
点击查看答案
本题答案:B
本题解析:暂无解析
49、判断题 并联电容器只能从系统吸收无功功率。
点击查看答案
本题答案:错
本题解析:暂无解析
50、问答题 一台三相交流电机,定子槽数Z=144,磁极数2p=20,求定子绕组为整数槽绕组还是分数槽绕组?
点击查看答案
本题答案:每极每相槽数:
试题答案每极每相槽数:

答:定子绕组为分数槽绕组。
51、单项选择题 半伞式水轮发电机装有()部导轴承而不装下部导轴承。
A、上;
B、下;
C、中;
点击查看答案
本题答案:A
本题解析:暂无解析
52、问答题 发电机非同步并列对发电机有什么后果?
点击查看答案
本题答案:发电机非同步并列合闸瞬间,发电机和所连接的设备将承受2
本题解析:试题答案发电机非同步并列合闸瞬间,发电机和所连接的设备将承受20~30倍额定电流作用下所产生的电动力和发热量,会造成发电机定子绕组变形、扭弯、绝缘崩裂、绕组接头处熔化等,严重时会使发电机损坏烧毁。
53、问答题 一只轮船,船体自重500t,允许最大载货量为2000t,问该船的排水量是多少立方米?
点击查看答案
本题答案:因为是漂浮,则有:
试题答案因为是漂浮,则有:

答:该船的排水量是2500m3。?
54、问答题 电力变压器着火应如何处理?
点击查看答案
本题答案:变压器着火时,首先应将与之连接的断路器、隔离开关拉开,
本题解析:试题答案变压器着火时,首先应将与之连接的断路器、隔离开关拉开,将系统冷却系统停止运行并断开其电源。
对装有水自动灭火装置的变压器,应先启动高压水泵,并将水压提高到0.7~0.9MPa,再打开电动喷雾阀门。扑灭变压器着火时,最好使用二氧化碳、四氯化碳泡沫、干粉灭火器及沙子灭火。如果流出的油也着了火,则可用泡沫灭火器灭火,必要时应报火警。如果变压器油溢出,并在变压器箱盖上着火,则应打开变压器下部的油阀放油,使油面低于着火处,并向变压器的外壳浇水,使油冷却而不易燃烧。如果变压器外壳炸裂并着火时,必须将变压器内所有的油都放到储油坑或储油槽中。如果是变压器内部故障引起着火时,则不能放油,以防变压器发生严重爆炸。
55、单项选择题 电压表A的电阻是2000Ω,电压表B的电阻是400Ω,量程都是15V,当它们串联在12V的电源上,电压表B的读数将是()。
A、12V;
B、10V;
C、2V;
D、1V。
点击查看答案
本题答案:C
本题解析:暂无解析
56、问答题 某水电厂检修排水泵选用流量Q=900m3/h的离心泵三台,已知闸门漏水量为1620m3/h,蜗壳、尾水管充水体积4471m3,求当三台泵同时投入,排完蜗壳、尾水管内水所用时间。
点击查看答案
本题答案:T=V/(ZQ-Q漏)=4471/(3×9
本题解析:试题答案T=V/(ZQ-Q漏)=4471/(3×900-1620)=4.2(h)
答:排尾水管内的水所用时间4.2h。
57、问答题 水轮机调节的基本任务是什么?
点击查看答案
本题答案:根据负荷的变化不断调节水轮发电机组的有功功率输出,并维
本题解析:试题答案根据负荷的变化不断调节水轮发电机组的有功功率输出,并维持机组的转速(频率)在规定范围内,这就是水轮机调节的基本任务
58、判断题 在一回路中,电流i=Imsin(ωt-75°),电压u=Umsin(ωt+285°),故电流与电压之间相位差正好为360°。
点击查看答案
本题答案:错
本题解析:暂无解析
59、问答题 画出两根平行直导线,当相反方向流过电流时,导线受力的方向。
点击查看答案
本题答案:
试题答案
60、判断题 二极管反向偏置时,无电流流过。
点击查看答案
本题答案:错
本题解析:暂无解析
61、判断题 P型半导体,N型半导体,PN结都具有单向导电性。
点击查看答案
本题答案:错
本题解析:暂无解析
62、单项选择题 水轮发电机的效率高,说明它内部损耗();效率低,说明 它的内部损耗多
A、多;
B、少;
C、一样
点击查看答案
本题答案:B
本题解析:暂无解析
63、判断题 水电厂技术供水的排水一般设置集水井。
点击查看答案
本题答案:错
本题解析:暂无解析
64、判断题 因为水轮机调速器中的软反馈量值大有利于机组稳定,所以软反馈量值越大越好。
点击查看答案
本题答案:错
本题解析:暂无解析
65、判断题 变压器铁芯中的磁通是传递能量的桥梁。
点击查看答案
本题答案:对
本题解析:暂无解析
66、问答题 水轮发电机组有哪些故障信号?
点击查看答案
本题答案:水轮发电机组一般设有下列故障信号:
(1)推
本题解析:试题答案水轮发电机组一般设有下列故障信号:
(1)推力、上导、下导、水导轴承温度升高故障;
(2)发电机冷风、热风温度升高故障信号;
(3)各轴承油槽油面过高、过低故障信号;
(4)水轮机导轴承(橡胶轴承)备用润滑水投入信号;
(5)发电机备用润滑油投入信号;
(6)各轴承冷却水中断信号;
(7)水轮机顶盖水位过高故障号;
(8)集油槽油面过低或过高故障信号;
(9)漏油槽油面过高信号;
(10)剪断销剪断信号;
(11)开停机未完成信号;
(12)风闸未撤除信号;
(13)轴电流保护动作失灵信号;
(14)摆度、振动过大信号;
(15)控制回路失电信号。
67、问答题 倒闸操作对操作人员和电气设备有何要求?
点击查看答案
本题答案:倒闸操作对操作人员的要求:
⑴、倒闸操作必须
本题解析:试题答案倒闸操作对操作人员的要求:
⑴、倒闸操作必须根据值班调度员或电气负责人的命令,受令人复诵无误后执行。
⑵、发布命令应准确、清晰,使用正规操作术语和设备双重名称,即设备名称和编号。
⑶、发令人使用电话发布命令前,应先和受令人互通姓名,发布和听取命令的全过程,都要录音并做好记录。
⑷、倒闸操作由操作人填写操作票。
⑸、单人值班,操作票由发令人用电话向值班员传达,值班员应根据传达填写操作票,复诵无误,并在监护人签名处填入发令人姓名。
⑹、每张操作票只能填写一个操作任务。
⑺、倒闸操作必须有二人执行,其中一人对设备较为熟悉者作监护,受令人复诵无误后执行;单人值班的变电所倒闸操作可由一人进行。
⑻、开始操作前,应根据操作票的顺序先在操作模似板上进行核对性操作。(预演)
⑼、操作前,应先核对设备的名称、编号和位置,并检查断路器、隔离开关、自动开关、刀开关的通断位置与工作票所写的是否相符。
⑽、操作中,应认真执行复诵制、监护制,发布操作命令和复诵操作命令都应严肃认真,声音宏亮、清晰,必须按操作票填写的顺序逐项操作,每操作完一项应有监护人检查无误后在操作票项目前打"√";全部操作完毕后再核查一遍。
⑾、操作中发生疑问时,应立即停止操作并向值班调度员或电气负责人报告,弄清楚问题后再进行操作,不准擅自更改操作票。
⑿、操作人员与带电导体应保持足够的安全距离,同时应穿长袖衣服和长裤。
⒀、用绝缘棒拉、合高压隔离开关及跌落式开关或经传动机构拉、合高压断路器及高压隔离开关时,均应戴绝缘手套;操作室外设备时,还应穿绝缘靴。雷电时禁止进行倒闸操作。
⒁、装卸高压熔丝管时,必要时使用绝缘夹钳或绝缘杆,应带护目眼镜和绝缘手套,并应站在绝缘垫(台)上。
⒂、雨天操作室外高压设备时,绝缘棒应带有防雨罩,还应穿绝缘靴。
⒃、变、配电所(室)的值班员,应熟悉电气设备调度范围的划分;凡属供电局调度的设备,均应按调度员的操作命令方可进行操作。
⒄、不受供电局调度的双电源(包括自发电)用电单位,严禁并路倒闸(倒闸时应先停常用电源,"检查并确认在开位",后送备用电源)。
⒅、在发生人身触电事故时,可以不经许可即行断开有关设备的电源,但事后必须立即报告上级。
倒闸操作对设备的要求:
⑴、停电拉闸操作,必须按照“断路器(开关)母线侧隔离开关(刀闸)”的顺序依次进行。送电合闸操作应按与上述相反的顺序进行,严禁带负荷拉闸。
⑵、变压器两侧(或三侧)开关的操作顺序规定如下:停电时--先拉开负荷侧开关,后拉开电源侧开关,送电时--顺序与此相反。
⑶、单极隔离开关及跌落式开关的操作顺序规定如下:停电时--先拉开中相,后拉开两边相,送电时--顺序与此相反。
⑷、双回路母线供电的变电所,当出线开关由一段母线倒换至另一段母线供电时,应先断开待切换母线的 电源侧负荷开关,再合母线联络开关。
⑸、操作中,应注意防止通过电压互感器二次返回的高压。
⑹、用高压隔离开关和跌落开关拉、合电气设备时,应按照产品说明书和试验数据确定的操作范围进行操作。
68、判断题 有信号位置的继电保护与自动装置投入前应先投入信号位置,再投入跳闸位置。
点击查看答案
本题答案:错
本题解析:暂无解析
69、单项选择题 调速器调节参数对调节系统起主要影响作用的是()。(a为局部反馈系数)
A、bp,bt;
B、bp,Ta;
C、bt,Ta;
D、bp,a。
点击查看答案
本题答案:A
本题解析:暂无解析
70、单项选择题 水头在800m以上的水电站,宜采用的水轮机型式为:()。
A、冲击式;
B、反击式;
C、贯流式;
D、斜流式。
点击查看答案
本题答案:A
本题解析:暂无解析
71、单项选择题 发电机甩负荷时,机组转速()。
A、升高;
B、降低;
C、不变;
D、到零。
点击查看答案
本题答案:A
本题解析:暂无解析
72、问 答题 试述电弧熄灭条件?
点击查看答案
本题答案:在直流电路中,如果外加电压不足以维持电路中各元件的电阻
本题解析:试题答案在直流电路中,如果外加电压不足以维持电路中各元件的电阻压降和电弧上的电压时,电弧就熄灭,交流电弧的熄灭,关键在于电流过零后,要加强冷却,使热游离不能维持,防止发生击穿;另一方面要使弧隙绝缘强度的恢复速度始终大于弧隙电压的恢复速度,使其不致发生电击穿。
73、多项选择题 飞逸转速越高,水轮发电机组对材质要求就越(),材料的消耗就越()。
A、高;
B、低;
C、多;
D、少;
点击查看答案
本题答案:A, C
本题解析:暂无解析
74、单项选择题 消弧线圈在调整补偿方式时常常采用()。
A、全补偿;
B、欠补偿;
C、过补偿;
点击查看答案
本题答案:C
本题解析:暂无解析
75、问答题 水电站中的排水泵检修时应做哪些安全措施?
点击查看答案
本题答案:排水泵检修时应做的安全措施为:
(1)将需检
本题解析:试题答案排水泵检修时应做的安全措施为:
(1)将需检修水泵的操作开关置于&l dquo;停止”位置。
(2)切断水泵的操作电源。
(3)切断水泵的动力电源。
(4)将水泵的动力电源开关拉出或将其隔离开关拉开。
(5)防止上述措施做完后的故障信号占用了公用光字牌。
(6)关闭排水泵的进、出口阀门。
(7)关闭排水泵的充水阀门(深井泵的滑润水阀门)。
(8)所切开关、刀闸、操作把手处均挂“禁止合闸,有人工作”牌。
(9)所关闭的阀门挂“禁止开放”牌。
(10)保证其它排水泵工作正常。
76、多项选择题 电气设备在()情况下,不允许进行电气检修作业。
A、检修状态;
B、热备用状态;
C、冷备用状态;
D、运行状态;
点击查看答案
本题答案:B, D
本题解析:暂无解析
77、判断题 装在灭弧室的油,只用来作灭弧用,可以不要求其有绝缘性能。
点击查看答案
本题答案:错
本题解析:暂无解析
78、判断题 变压器调压方式分为有载调压和无载调压。
点击查看答案
本题答案:对
本题解析:暂无解析
79、判断题 应用相量进行运算的正弦量都必须是频率相同的。
点击查看答案
本题答案:对
本题解析:暂无解析
80、单项选择题 调速器静特性曲线的斜率称为()。
A.永态转差系数bp;
B.暂态转差系数bt;
C.局部反馈系数α;
D.机组调差率ep。
点击查看答案
本题答案:A
本题解析:暂无解析
81、单项选择题 电力系统中水电与火电互补是指()。
A、丰水期多发水电节省燃料,枯水期多发火电并可供暖;
B、火电厂不能承担调频、调峰等任务;
C、火电费用高,而水电费用低两者互补;
D、火电上网价格高,水电上网价格低两者互补。
点击查看答案
本题答案:A
本题解析:暂无解析
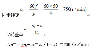
82、问答题 一台4对磁极的异步电动机,接在工频电源上,其转差率为2%,试求异步电动机的转速?
点击查看答案
本题答案:
试题答案
答:此时异步电动机的转速为735r/min。
83、单项选择题 对于Y/Y接法电压互感器所接仪表能够测量()。
A、相电压;
B、线电压;
C、零序电压;
D、当高压侧B相熔断器熔断时其所接电压表指示电压Uab为正常值的1/2。
点击查看答案
本题答案:B
本题解析:暂无解析
84、问答题 微机调速器常见的故障有哪些?
点击查看答案
本题答案:微机调速器常见的故障有:
(1)开机无响应。
本题解析:试题答案微机调速器常见的故障有:
(1)开机无响应。
(2)机组空载运行中过速。
(3)空载扰动不稳定。
(4)溜负荷。
(5)油泵电机启动时造成微机调速器数字显示变动,同时引起接力器抽动。
85、问答题 检修发电机应做好哪些安全措施?
点击查看答案
本题答案:(1)机组完全停止后,在操作把手、按钮、机组启动装置、
本题解析:试题答案(1)机组完全停止后,在操作把手、按钮、机组启动装置、插座及盘车装置操作把手上悬挂“禁止合闸,有人工作”标示牌;
(2)断开发电机、同期调相机开关和刀闸;
(3)断开开关、刀闸的操作能源;
(4)将电压互感器高、低压侧断开;
(5)验明无电压后在发电机和开关间装设接地线;
(6)将发电机中性点断开;
(7)保证机组通风;
(8)防止灭火装置误动;
(9)防止机组转动。
86、单项选择题 定子的扇形冲片通常用0.5mm厚的()的硅钢片冲制而成。
A、导磁率很低;
B、导磁率较高;
C、导磁弦很高;
点击查看答案
本题答案:B
本题解析:暂无解析
87、判断题 因为P型半导体中空穴多于电子,因此P型半导体呈正电性。
点击查看答案
本题答案:错
本题解析:暂无解析
88、问答题 对工作监护人有哪些规定?
点击查看答案
本题答案:(1)办完工作票后,工作负责人(监护人)应向工作班人员
本题解析:试题答案(1)办完工作票后,工作负责人(监护人)应向工作班人员交待现场安全措施、带电部位和注意事项,必须始终在工作现场监护,及时纠正违反安全的动作;
(2)所有工作人员,不许单独留在高压室内和室外高压设备区内,如工作需要,且现场情况允许,应由一名有经验的人同时进行工作,但工作负责人应交待安全事项;
(3)全部停电时工作负责人可以参加工作,部分停电时,只有在安全措施可靠、人员集中在一个地点、不致误碰带电设备方可工作,专责监护人不得做其他工作;
(4)工作负责人如因故离开,应指定能够胜任的人员代替,并交待清楚,返回时,同样履行交接手续,如长时期离开则由工作票签发人重新更改工作负责人,并做好交接;
(5)值班员如发现工作人员违反安规及危及人身安全的情况,应向工作负责人提出改正意见,并有权制止工作,并报告上级。
89、判断题 水轮机检修中,提高过流部件表面光洁度,可以减少局部损失和表面汽蚀程度。
点击查看答案
本题答案:对
本题解析:暂无解析
90、单项选择题 当电力系统频率降低到()左右,足以破坏发电厂厂用电系统的安全运行时,各发电厂可将厂用电与系统解列。
A、49.80Hz;
B、49.00Hz;
C、48Hz;
D、46Hz;
点击查看答案
本题答案:B
本题解析:暂无解析
91、单项选择题 调速器中,反馈机构(或回路)是()。
A、自动控制机构;
B、自动调节机构;
C、自动监视机构;
D、自动指示机构。
点击查看答案
本题答案:B
本题解析:暂无解析
92、多项选择题 正常运行时,电流互感器的二次侧近似于();电压互感器的二次侧近似于()。
A、短路;
B、开路;
C、空载;
点击查看答案
本题答案:A, C
本题解析:暂无解析
93、问答题 水轮机运转综合特性曲线包括哪些内容?
点击查看答案
本题答案:水轮机运转综合特性曲线以水头H和出力P分别为纵、横坐标
本题解析:试题答案水轮机运转综合特性曲线以水头H和出力P分别为纵、横坐标,在其内绘制有η=f(H,P),Hs=f(H,P)曲线和出力限制线,它可以直接直接表示出水轮机实际运行时各参数之间的关系,作为水轮机运行的依据,并根据它选择水轮机的合理运行工况区。
94、单项选择题 变压器空载时,感应电动势和磁通向量关系是()。
A、超前90°;
B、超前180°;
C、滞后90°;
D、滞后180°。
点击查看答案
本题答案:C
本题解析:暂无解析
95、单项选择题 在检修任意回路出线断路器时,为使该回路不停电,可采用()。
A、单母线分段接线;
B、双母线接线;
C、桥形接线;
D、具有旁路母线的接线;
点击查看答案
本题答案:B
本题解析:暂无解析
96、问答题 发电机着火后如何处理?
点击查看答案
本题答案:发电机着火后的处理方法和步骤如下:
(1)确
本题解析:试题答案发电机着火后的处理方法和步骤如下:
(1)确认发电机着火,若机组未停,立即按“事故停机”按钮。
(2)发电机风洞门和热风口应关闭;
(3)确认发电机已灭磁无电压。
(4)打开发电机消防供水阀门(低水头电厂应启动消防水泵)。
(5)确认发电机火已灭后,关闭消防供水阀门。
机组灭火过程中注意的事项:
(1)不准破坏发电机风洞密封。
(2)灭火过程中不准进入风洞。
(3)发电机内部着火不准用砂子或泡沫灭火器。
(4)发电机引线着火,在停机灭磁后,用四氯化碳1211灭火器灭火。
(5)火熄灭后进风洞检查必须戴防毒面具,并有两人以上同行。
97、单项选择题 当系统电压降低使发电厂厂用电母线电压下降到额定电压的90%以下,而且无措施使电压迅速恢复时,应采取()措施。
A、拉闸限电;
B、控制联络线功率;
C、解列一台或部分发电机当厂用电;
点击查看答案
本题答案:C
本题解析:暂无解析
98、单项选择题 混流式水轮机和混流式水轮机比较,工作水头和出力变化时,其效率变化不大的是()。
A、混流式;
B、轴流式;
C、其它型式;
点击查看答案
本题答案:B
本题解析:暂无解析
99、问答题 某水轮发电机组,带有功负荷80MW,无功负荷-60Mvar,问功率因数是多少?
点击查看答案
本题答案:
试题答案
答:功率因数为0.8。
100、问答题 为什么电流互感器的二次回路在运行中不允许开路?电压互感器的二次回路在运行过程中不允许短路?
点击查看答案
本题答案:电流互感器运行时不允许二次侧绕组开路。这是因为在正常运
本题解析:试题答案电流互感器运行时不允许二次侧绕组开路。这是因为在正常运行时,励磁磁通势以及铁芯中的合成磁通由很小,在二次侧绕组中感应的电动势不超过几十伏。当二次侧开路时,二次侧电流为0,二次侧的去磁磁势也为0,而一次侧磁通势不变,全部用于激磁,合成磁通很大,使铁芯出现高度饱和,因此二次侧绕组将感应出几千伏的电动势,危及人身和设备安全。为了防止二次侧绕组开路,规定在二次回路中不允许装熔断器。如果在运行中必须拆除测量仪表或继电器时,应先在断开处将二次绕组短路,再拆下仪表或继电器。
电压互感器在运行中,二次侧线圈不能短路。如果电压互感器的二次侧线圈在运行中短路,那么线圈的阻抗大大减小,就会出现很大的短路电流,使线圈因严重发热而烧毁。因此,在运行中必须注意检查二次侧电路是否有短路现象,并及时消除。
题库试看结束后
微信扫下方二维码即可打包下载完整版《
★水轮发电机组值班员考试》题库
手机用户可保存上方二维码到手机中,在微信扫一扫中右上角选择“从相册选取二维码”即可。
手机用户可
保存上方二维码到手机中,在
微信扫一扫中右上角选择“从
相册选取二维码”即可。