手机用户可
保存上方二维码到手机中,在
微信扫一扫中右上角选择“从
相册选取二维码”即可。
1、问答题 火电厂常用的磨煤机有哪些?如何分类?
点击查看答案
本题答案:火电厂常用的磨煤机一般根据其工作转速进行分类,大致可分
本题解析:试题答案火电厂常用的磨煤机一般根据其工作转速进行分类,大致可分为:
(1)低速磨煤机。转速为15~25r/min,如筒式球磨机等。
(2)中速磨煤机。转速为50~300r/min,如中速平盘磨、中速碗式磨、MPS磨和中速球磨机等。
(3)高速磨煤机。转速为750~1500r/min,如风扇磨和锤击式磨。
2、问答题 造成锅炉燃烧事故的原因有哪些?
点击查看答案
本题答案:原因如下:
(1)煤质差或煤种突变。
本题解析:试题答案原因如下:
(1)煤质差或煤种突变。
(2)炉膛火焰中心温度低。
(3)燃烧调整失当。
(4)给粉量不均匀。
(5)受热面结焦、积灰,未及时吹灰。
(6)主要辅机故障。
(7)水冷壁严重爆破。
(8)炉膛掉大焦。
(9)长时间煤油混燃,破坏正常的空气动力场。
3、问答题 焊接外观尺寸不符合要求的表现是什么?
点击查看答案
本题答案:焊缝外表尺寸高低不平,波形精劣焊缝宽不是过宽就是过窄,
本题解析:试题答案焊缝外表尺寸高低不平,波形精劣焊缝宽不是过宽就是过窄,余高不是过高就是过低。焊缝与母材金属连接处形成尖角,不呈圆滑过渡,角焊缝焊角尺寸或大或小,两边焊角尺寸不相等,角焊缝不呈圆滑过渡等。
4、问答题 中间储仓式制粉系统与直吹式制粉系统比较,各有何特点?
点击查看答案
本题答案:特点如下:
(1)储仓式系统中磨煤机的工作对
本题解析:试题答案特点如下:
(1)储仓式系统中磨煤机的工作对锅炉运行影响较小,系统可靠性高。而直吹式可直接影响到锅炉运行。
(2)直吹式系统简单,设备部件少,管道阻力小,故制粉电耗小。储仓式系统复杂,部件多、管道长,初投资和制粉电耗都较大。
(3)两者相比,储仓式更易适应锅炉负荷的变化,调节灵敏且方便。而在直吹式系统中,调整锅炉的负荷需从给煤量开始调节,故调整时滞性大。
(4)直吹式制粉系统一次风管分配煤粉到各喷燃器易出现煤粉不均的现象。而储仓式不存在此问题
5、问答题 中速磨煤机启动前的检查与准备工作有哪些?
点击查看答案
本题答案:检查与准备工作如下:
(1)磨煤机本体设备检
本题解析:试题答案检查与准备工作如下:
(1)磨煤机本体设备检查。检查各人孔、检查孔关闭严密,地脚及法兰螺栓紧固。润滑油、液压油、密封风、一次风及消防蒸汽管道完好。
(2)润滑油系统检查试运正常,油位及油压在合格范围内。
(3)液压排渣系统试运合格。
(4)就在电表计指示正确,各温度、压力、差压测点安装正确。
(5)电动机地脚螺栓紧固,接地良好。接线盒封闭严密、电缆无破损。与机械连接的靠背轮对螺栓紧固,防护罩齐全稳固。已确装设热工保护测点。
6、问答题 电能具备哪些特点?
点击查看答案
本题答案:电能具备以下特点:
(1)电能可以很方便地进
本题解析:试题答案电能具备以下特点:
(1)电能可以很方便地进行远距离传输,输送设备简单,能量损耗小;
(2)电能向其他能源转换比较方便,转换设备简单、效率高;
(3)与其他能源相比,电能更易于实现机械化和自动化;
(4)电能是一种洁净的能源;
(5)电力的生产过程和生产设备复杂,初投资比较大;
(6)电能不能储存,电能的生产、销售、 使用必须同步完成,给发电厂的生产带来一定的因难;
(7)其他能源向电能转换时,效率比较低。
7、问答题 试述锅炉各类阀门的作用?
点击查看答案
本题答案:截止阀:用来接通或截断介质的流通,如闸阀、球形截止阀。
本题解析:试题答案截止阀:用来接通或截断介质的流通,如闸阀、球形截止阀。
调节阀:用来调节介质的压力和温度,如调节阀、针形调节阀、减压阀。
保护类阀门:用来保护系统内管道和附件的安全,如安全阀、逆止阀、疏水阀等。
8、问答题 悬吊式锅炉的炉墙为什么要采用加强结构?
点击查看答案
本题答案:对于悬吊式结构的锅炉,炉膛水冷壁应组成一个刚性整体,使
本题解析:试题答案对于悬吊式结构的锅炉,炉膛水冷壁应组成一个刚性整体,使之能承受炉内外压差对炉膛的作用力,而不发生凸起和出现裂纹等损坏现象,因此沿锅炉高度方向每隔2~3m设置一圈能水平滑移的刚性梁,把炉墙和管子箍起来,形成一道道加强箍,使之成为具有刚性的平面。
9、问答题 试述炭粒燃烧的三个不同区域。
点击查看答案
本题答案:(1)当环境温度小于1000℃时,炭粒表面化学反应速度
本题解析:试题答案(1)当环境温度小于1000℃时,炭粒表面化学反应速度很慢,需氧量很少。此时的燃烧速度主要取决于化学反应的动力因素,即温度和燃料的反应特性,故将这个反应温度区称为动力燃烧区,简称动力区。
(2)当温度大于1400℃时,炭粒表面的化学反应速度是著地超过氧向反应表面的输送速度,由于扩散到炭粒表面的氧远不能满足化学反应的需求,扩散速度已成为制约燃烧速度的主要因素,故将此时的反应温度区称为扩散燃烧区,简称为扩散区。
(3)介于上述两个燃烧区之间的中间温度区,炭粒表面上的化学反应速度同氧的扩散速度相差不多。此时化学反应速度和扩散速度对燃烧速度都有影响。将 这个反应温度区称为过流燃烧区,简称过渡区。
10、问答题 大修时中低压汽水管道应检查什么内容?
点击查看答案
本题答案:对有法兰连接的管道可将法兰螺栓拆开,检查管道内部的腐蚀
本题解析:试题答案对有 法兰连接的管道可将法兰螺栓拆开,检查管道内部的腐蚀、结垢情况。对无法兰连接的应根据检修经验选择的腐蚀磨损严重的管段钻孔割管检查。腐蚀厚度起过原壁厚1/3的,疏水阀门后腐蚀厚度起过原壁厚1/2的,应更换。
汽水管道还要检查保温有无脱落、裂缝,石棉是否完整,最外层的铁皮有无开裂损坏。
11、问答题 锅炉机组整体试运行的目的是什么?
点击查看答案
本题答案:锅炉机组在安装完毕并完成分部试运后,必须通过整体试运行
本题解析:试题答案锅炉机组在安装完毕并完成分部试运后,必须通过整体试运行,达到对机组的设计、安装以及设备制造质量的考验和考核,尽早发现设备不合格的问题。检验设备能否达到设计出力,是否合乎设计规定的要求。
12、问答题 物体的黑度与吸收系数有什么关系?
点击查看答案
本题答案:物体的黑度(
试题答案物体的黑度(
)数值上近似等于处于同温度下物体的吸收系数(A)。
13、问答题 阀门在运行中产生振动和噪声的原因有哪些?
点击查看答案
本题答案:(1)介质压力波动,流体冲刷阀件,驱动装置的运动也可致
本题解析:试题答案(1)介质压力波动,流体冲刷阀件,驱动装置的运动也可致使机械振动,这种振动一般较小,但如果产生在其自振频率下的共振,则会导致高的应力,使零件受到破坏。
(2)汽蚀。
(3)由于高速气体通过的冲刷、收缩、扩张,引起冲击和湍流运动,形成气体动力噪声,这是噪声的主要来源。
(4)阀门的突然启闭会引起直接液击,产生振动和噪声,严重时会导致泄漏或阀件损坏。
14、问答题 回转空气预热器与管式空气预热器相比较,有哪些优点?
点击查看答案
本题答案:回转空气预热器与客式空气预热器比较,有以下优点:
本题解析:试题答案回转空气预热器与客式空气预热器比较,有以下优点:
(1)传热元件两面受热与冷却,传热能力强。外形小,金属耗量小,烟气和空气的流动阻力小。
(2)受热面的壁温高,烟气低温腐蚀的危险性稍小,而且即使发生受热面腐蚀也不会因此增加漏风。
(3)传热元件允许有较大的磨损,磨损达重量的20%才更换。
(4)便于运行中吹灰。
15、问答题 《中华人民共和国安全生产法》何时制定实施?立法宗旨是什么?
点击查看答案
本题答案:《中华人民共和国安全生产法》由中华人民共和国第九届全国
本题解析:试题答案《中华人民共和国安全生产法》由中华人民共和国第九届全国人民代表大会常务委员会第二十八次会议于2002年6月29日通过并分布,自2002年11月1日起施行。其立法宗旨是:加强安全生产监察管理,防止和减少安全事故,保障人民群众生命和财产的安全,促进经济发展。
16、问答题 论述灰渣泵振动噪声大的原因及消除方法。
点击查看答案
本题答案:原因:轴承损坏,叶轮失去平衡,流量不均匀或有抽空现象,
本题解析:试题答案原因:轴承损坏,叶轮失去平衡,流量不均匀或有抽空现象,入口管进气或堵塞,基础固定不良,管道布置不合理产生汽蚀。
处理方法:更换轴承,重新找平衡或更换新叶轮,改善泵进料条件,排除进气或清理堵塞物,加固基础,改进管道布置,消除汽蚀。
17、问答题 什么叫矫正?常用的有几种方法?
点击查看答案
本题答案:零件材料在加工、运输及堆放等原因可能产生弯曲、翘曲变形
本题解析:试题答案零件材料在加工、运输及堆放等原因可能产生弯曲、翘曲变形等缺陷,消除这些缺陷的操作方法叫矫正。常用的矫正方法有机械矫正和手工矫正两种方法。
18、问答题 简述阀门检查的主要内容。
点击查看答案
本题答案:(1)阀体与阀盖表面有无裂纹、砂眼等缺陷,阀体与阀盖结
本题解析:试题答案(1)阀体与阀盖表面有无裂纹、砂眼等缺陷,阀体与阀盖结合是否平整,凹面和凸面有无损伤,径向间隙是否符合要求(0.2~0.25mm)。
(2)阀瓣与阀座的密封面有无锈蚀、划痕、磨损、裂纹等缺陷。
(3)阀杆弯曲度不应起过0.1~0.2mm,椭圆度不应起过0.02~0.05mm,表面锈蚀和磨损深度不应起过0.1~0.2mm,阀杆螺纹应完好,与螺纹套筒配合要灵活。
(4)填料压盖、填料盒与阀杆的间隙要适当(0.1~0.2mm)。
(5)螺栓、螺母的螺纹完好,配合适当、不松动。
(6)平面轴承的滚球、滚道应无麻点、腐蚀、剥皮。
(7)传动的装置动作应灵活,各配合间隙要正确,手轮应完整。
19、问答题 中速磨煤机有哪些运行特点?
点击查看答案
本题答案:与低速球磨机相比,中速磨煤机具有重量轻、占地小、投资省
本题解析:试题答案与低速球磨机相比,中速磨煤机具有重量轻、占地小、投资省、电耗低、噪声小和金属磨耗低的优点。但其煤种适应范围小,一般只适用于磨制烟煤和贫煤,而且要求可磨性系数大于1.1以上。另外,中速磨煤机对煤中杂质较为敏感,为了保证正常运行,必需定期排渣。
20、问答题 状态参数焓和熵是如何定义的?
点击查看答案
本题答案:熵是一个状态参数,是热力学中常见的而且非常有用的概念。
本题解析:试题答案熵是一个状态参数,是热力学中常见的而且非常有用的概念。它是衡量传热的标志,它的改变反映了热量传递的方向和有无传热。熵也称为比熵,用符号s表示。
在不考虑工质动能和位能的情况下,当工质进入(离开)系统时获得(失去)的能量,即内能和推动功之和称为焓。
21、问答题 GF系列给煤机煤粉在给粉机中走“Ω”形有什么好处?
点击查看答案
本题答案:煤粉在给粉机内走了一个“Ω&r
本题解析:试题答案煤粉在给粉机内走了一个“Ω”形,这样既可以连续均匀地输送煤粉,还可以防止停机时煤粉的自流现象。
22、问答题 什么是给水回热循环?从电厂采用给水回热循环有什么意义?
点击查看答案
本题答案:给水回热循环是从朗肯循环的基础上发展起来的,即采用汽轮
本题解析:试题答案给水回热循环是从朗肯循环的基础上发展起来的,即采用汽轮机抽汽加热给水(凝结水)。它从一定程度上克服了朗肯循环排汽热损失大的缺点,减少了低温的凝结水从外部吸收的热量,提高了机组的热效率,如图1-2所示。
23、问答题 汽轮机组的抽气设备分为哪几种?分别是如何工作的?
点击查看答案
本题答案:汽轮机的抽气设备分为射流式抽气器和容积式真空泵两大类。
本题解析:试题答案汽轮机的抽气设备分为射流式抽气器和容积式真空泵两大类。
射流式抽气器由喷嘴、混合室和扩压管组成。它的工作原理是:工作介质(水或蒸汽)通过喷嘴将压力能转变为速度能,形成一股高速射流,在喷嘴出口处即混合室喉部形成负压区,依靠强烈的引射作用将凝汽器中的气体抽吸出来。
容积式真空泵一般有液压式和离心式两种,其工作原理类似于容积式和离心式水泵。
24、问答题 煤的元素分析成分有哪些?
点击查看答案
本题答案:分为:碳(C)、氢(H)、氧(O)、氮(N)、硫(S)
本题解析:试题答案分为:碳(C)、氢(H)、氧(O)、氮(N)、硫(S)、水分(M)和灰分(A),其含量以质量百分数表示,如图5-6所示。
25、问答题 比较表面式减温器与喷水式减温器的优点。
点击查看答案
本题答案:表面式减温器的优点是冷却水与蒸汽不接触,水中杂质不会混
本题解析:试题答案表面式减温器的优点是冷却水与蒸汽不接触,水中杂质不会混入蒸汽,但也有结构复杂、易损坏、调节不灵等缺点。
喷水减温器的优点是结构简单,调节灵敏,时滞小,汽温调节幅度大,但对引入的冷却水要求质量较高,以免污染蒸汽。
26、问答题 排粉机叶轮修整、更换的原因是什么?
点击查看答案
本题答案:当叶轮局部磨损时,可用焊条堆焊一次,若叶片普遍磨损超过
本题解析:试题答案当叶轮局部磨损时,可用焊条堆焊一次,若叶片普遍磨损超过厚度的1/2,但前后盘基本完好时,则需要更换叶片,换叶片时应边割边换,不可以一次全部割下来,当叶轮叶片和前后盘均磨损到不能再使用时,则应更换新叶轮。
27、问答题 什么叫管件?
点击查看答案
本题答案:管件是用来连接管道的各种连接件包括异径管、三通、弯头、
本题解析:试题答案管件是用来连接管道的各种连接件包括异径管、三通、弯头、法兰、伸缩节以及焊缝的通称。
异径管又称为大小头,是电厂汽水管道连接附件用的重要部件。特别是进口机组,由于长时间运行阀门底结合面损坏严重,在设备国产化后阀门与管道连接应用得较多。这种异径管分同心、偏心两种。
三通也称为丁字弯,用来为管道分支,一般分为同径三通和异径三通。弯头又称为肘管,是用来改变管道走向的常用管件。
伸缩节又称补偿器,是为了补偿由于冷热而引起的管道长度变化而设置的管件。
28、问答题 怎样进行曲面刮削?
点击查看答案
本题答案:刮削曲面时,刮刀在内曲面作螺旋运动。以标准轴或配合轴作
本题解析:试题答案刮削曲面时,刮刀在内曲面作螺旋运动。以标准轴或配合轴作内曲面研点校准工具。研点时,将显示剂均匀地涂在内曲面上,用校准轴在轴孔中来回旋转[见图4-8(a)],研出点子,然后根据研点进行刮削。

图4-8内曲面的显示与刮削
(a)显示方法;(b)短刀柄刮削姿势;(c)长刀柄刮削姿势
具体刮削方法为:右手握住刀柄,左手掌向下用四指横握刀杆,拇指抵着刀杆,便于用力,如图4-8(b)所示。刮削时,右手作半圆转动,左手辅助右手除作圆周运动外,还顺着曲面作拉动或推动,使刮刀除作圆周运动外还作轴向移动。在刮削时,为了使刀迹交叉,同时防止产生波纹,第一遍应作推动刮削,第二遍做拉动刮削,如此循环。
对具有较长刮刀杆的刮刀,在刮削时刮刀杆搁在右手臂上,双手握住刀杆[见图4-8(c)]。其刮削方法同上。
29、问答题 钳工工作中常用的量具有哪些?
点击查看答案
本题答案:钳工工作中常用的量具有钢尺、卡钳、游标卡尺、千分尺、百
本题解析:试题答案钳工工作中常用的量具有钢尺、卡钳、游标卡尺、千分尺、百分表、卡规、塞规、量角器、水平仪、塞尺、样板平尺等。
30、问答题 锅炉设备大修中特殊项目、重大特殊项目指什么?
点击查看答案
本题答案:特殊项目指标准项目以外的工作量较大的检修项目。重大特殊
本题解析:试题答案特殊项目指标准项目以外的工作量较大的检修项目。重大特殊项目指技术复杂、工作量大、工期长、耗用器材鑫、费用高以及系经或设备结构有重大改变的项目。
31、问答题 旋流喷燃器的特点是什么?
点击查看答案
本题答案:旋流喷燃器的特点是:
(1)二次风是旋转气流
本题解析:试题答案旋流喷燃器的特点是:
(1)二次风是旋转气流,一出喷口就扩展开。一次风可以是旋转气流,也可用推锥扩展,因此整个气流形成空心锥形的旋转射流。
(2)旋转射射流有强烈的卷吸作用,将中心及外缘的气体带走,造成负压区,在中心部分就会因高温烟气回流而形成回流区,回流区大则对煤粉着火有利。
(3)旋转气流空气锥的外界所形成的夹角叫扩散角。随着气流旋转强度的增大,扩散角也增大,同时回流区也加大。相反,随着气流旋转强度的减弱,回流区减少。
(4)当气流旋转强度增加到一定程度,扩散角增加到某一程度时,射流会突然贴在炉墙上,扩散角成180℃,这种现角叫飞边。
32、问答题 对阀门、挡板应检查和试验哪些项目?达到什么标准才算合格?
点击查看答案
本题答案:检查和试验项目如下:
(1)检查阀门挡板按照
本题解析:试题答案检查和试验项目如下:
(1)检查阀门挡板按照介质流向正确安装。
(2)位置布置合理,便于检修和运行操作。
(3)执行机构动作正确、标志齐全、附件完整无缺损。
(4)远方操作的阀门、挡板内外编号对应准确无误,开关信号指示正确返回。
(5)阀门、挡板关闭严密无内漏,全开精确不节流。
33、问答题 什么是压力?表压力、真空度和绝对压力的概念及相互关系如何?
点击查看答案
本题答案:压力——单位面积上所受到的垂直
本题解析:试题答案压力——单位面积上所受到的垂直作用力称为压力(即压强)。
表压力——由压力计测量到的压力值。因表计本身处于大气压力作用下,因此测到的压力是真实压力与当地大气压力之差,故称为表压力或真空度。
绝对压力——工质的真实压力称为绝对压力。
绝对压力=大气压力+表压力
P=Pb+Pg
绝对压力=大气压力—真空度
P=Pb—Pv
34、问答题 旋流燃烧器有哪些类型?
点击查看答案
本题答案:按照其结构,可将旋流燃烧器分为:蜗壳式、轴向叶轮式和切
本题解析:试题答案按照其结构,可将旋流燃烧器分为:蜗壳式、轴向叶轮式和切向叶片式三种。其中蜗壳式有单蜗壳式、双蜗壳式和三蜗壳式三种;切向叶片式有单调风式和双调风式两种不同类型。
35、问答题 高处焊接作业应注意哪些安全事项?
点击查看答案
本题答案:进行高处焊接作业时,地面和高处操作者之间,严禁抛掷物体
本题解析:试题答案进行高处焊接作业时,地面和高处操作者之间,严禁抛掷物体和工具,操作者要做好头部防砸,颈部防烫工作。操作场所四周不得有易燃、易爆物品。操作者不得肩背焊接二次电缆线上、下行走。有禁忌症者如高血压、心脏病的,不得进行高处焊接作业。
36、问答题 什么是火力发电厂的发电煤耗和供电煤耗?为什么说它们是衡量发电厂的经济性的重要指标?
点击查看答案
本题答案:发电煤耗——发电厂每发1kW&
本题解析:试题答案发电煤耗——发电厂每发1kW·h的电能所消耗的煤量,单位是g/(kW·h)。
供电煤耗——扣除发电厂自用电后,发电厂每供出1kW·h的电能所消耗的煤量,单位是g/(kW·h)。
由于在发电成本中,燃料成本约占总成本的70%以上,因此降低燃料的消耗量可以大大提高发电厂的经济性。
37、问答题 煤粉燃烧器的分类和基本形式有哪些?
点击查看答案
本题答案:常见的煤粉燃烧器分为直流式和旋流式两种。直流式煤粉燃烧
本题解析:试题答案常见的煤粉燃烧器分为直流式和旋流式两种。直流式煤粉燃烧器的出口由一组矩形、圆形或多边形等形状的喷口组成,携带煤粉的一次风和助燃用的二次风以及制粉乏气(三次风)均以直流形式通过各自的喷口进入炉膛。直流式燃烧器一般不可以单支独立燃烧,需与四角布置的其他燃烧器一起在炉膛中心的一个或两个轴线上的假想切圆共同组成燃烧中心区。旋流燃烧器的出口均为圆形,其一次风可为直流或旋流进入炉内,二次风以旋流形式绕燃烧器轴线旋转进入炉膛,以达到风粉充分混合的目的。旋流燃烧器可以单支独立燃烧。由于其出口均为圆形,故也称为圆形燃烧器。
38、问答题 机组运行中如何判断阀门的内漏?并试述其实用意义。
点击查看答案
本题答案:锅炉在正常运行中部分阀门处于关闭位置,判断内漏最常用的
本题解析:试题答案锅炉在正常运行中部分阀门处于关闭位置,判断内漏最常用的方法是检查阀门后的管道温度有没有升高。温度升高不明显的内漏较轻,而阀门前后温度接近的则内漏严重。个别阀门内漏严重时还会有介质的流动声音。
在机组正常运行中检查出阀门内漏程度,可以方便地为设备停用后的检修提供可靠的依据,以制订相应的检修方案。
39、问答题 如何处理380V厂用电源消失?
点击查看答案
本题答案:处理措施如下:
(1)联系电气值班员,尽快恢
本题解析:试题答案处理措施如下:
(1)联系电气值班员,尽快恢复送电。
(2)复归所有掉闸设备开关到“停止”状态。
(3)做好防转措施就地手动对回转式空气预热器进行盘车。
(4)手动控制汽包水位,保持水位略低些。
(5)手动打开再循环门保护省煤器。
(6)做好点火准备,电源恢复后即可重新点火。
40、问答题 简述喷水式柱塞泵的工作原理。
点击查看答案
本题答案:电动机回转运动,通过皮带轮、齿轮传递给曲曲柄连杆机构,
本题解析:试题答案电动机回转运动,通过皮带轮、齿轮传递给曲曲柄连杆机构,再通过曲柄连杆机构将回转运动变为往复运动,柱塞往复运动产生的作用力作用于浆体,使浆体通过入口和出口阀箱受到抽吸和压出的作用而将灰浆输出,实现其排浆的目的。
41、问答题 电力企业单位应如何进行现场规程制度来源:91考试网 91EXAm.org的修订、复查工作?
点击查看答案
本题答案:《安全生产工作规定》中规定:
(1)当上级颁
本题解析:试题答案《安全生产工作规定》中规定:
(1)当上级颁发新的规程和反事故技术措施、设备系统变动、本企业事故防范措施需要时,应及时对现场规程进行补充或对有关部门条文进行修订,书面通知有关人员。
(2)每年应对现场规程进行一次复查、修订,并书面通知有关人员。不需要修订的也应出具复查人、批准人签名的“可以继续执行”的书面文件,通知有关人员。
(3)现场规程宜每3~5年进行一次全面修订、审定并印发。现场规程的补充或修订,应严格履行审批程序。
42、问答题 试述螺杆压缩机更换油过滤器滤芯的方法。
点击查看答案
本题答案:(1)用适当的工具将油过滤器芯旋下;
(2)
本题解析:试题答案(1)用适当的工具将油过滤器芯旋下;
(2)按规定处理油过滤器滤芯;
(3)给新的油过滤器滤芯面稍抹一些油;
(4)将新的油过滤器旋上,手工旋紧;
(5)检查是否有泄漏的油;
(6)检查油位;
(7)需要时将油加满。
43、问答题 逆止阀的作用和工作原理是什么?
点击查看答案
本题答案:逆止阀是用来防止介质倒流的防护装置。
逆止阀
本题解析:试题答案逆止阀是用来防止介质倒流的防护装置。
逆止阀的开启是利用介质本身的力量来顶起门芯,而关闭则是利用自身重量或弹簧的弹力将门芯落到结合面。当介质按规定的方向流动门芯被冲开或顶起,介质自由通过。当介质停止流动或倒流时芯下降回到阀座结合面上将通 道关闭。
44、问答题
发电机组非计划检修、计划检修延期或停止备用,达到什么条件之一时,认定为一般设备事故?
点击查看答案
本题答案:发电机组非计划检修、计划检修延期或停止备用,达到下列条
本题解析:试题答案发电机组非计划检修、计划检修延期或停止备用,达到下列条件之一时,认定为一般设备事故:
(1)虽然提前6h提出申请并2得到调度批准,但发电机组停用时间超过168h或输变电设备停用时间超过72h。
(2)没有按调度规定的时间恢复送电(热)或备用。
45、问答题 解释铁碳合金状态图中的主要特性点。
点击查看答案
本题答案:在铁碳合金状态图中各线的交点,称为特性点。这些特点均用
本题解析:试题答案在铁碳合金状态图中各线的交点,称为特性点。这些特点均用固定的拉丁字母表示,彼此不能互换。各特性点代表意见表4-2。
46、问答题 热力机械检修工作许可人应具有备哪些条件?
点击查看答案
本题答案:工作许可人一般应由运行正、副班长担任,必要时班长可以指
本题解析:试题答案工作许可人一般应由运行正、副班长担任,必要时班长可以指定经车间批准的、有能力正确执行和检查安全措施的独立值班人员,担任本岗管辖范围内设备系统检修的工作许可人,但主要设备大、小修和公用系统除外。
车间批准的工作许可人和由于变动工作岗位等原因暂时不能继续担任工作许可人的人员名单应书面公布,并报厂部备案。值长、运行班长,各有关车间、科室应发给副本。
47、问答题 什么是回转空气预热器的直接漏风和推带漏风?
点击查看答案
本题答案:直接漏风是空气通过各向密封间隙进入烟气侧,漏风大小与密
本题解析:试题答案直接漏风是空气通过各向密封间隙进入烟气侧,漏风大小与密封间隙和风、烟侧的压差有关。密封间隙大,压差也大,则漏风量就大;反之,漏风量就小。
推带漏风是指受热元件空间隙随转子转动而带到烟气侧,其漏风大小与转子速有关。转速高漏风大,转速低漏风小。
48、问答题 锅炉检验中,非破坏性检测方法包括哪些内容?
点击查看答案
本题答案:非破坏性检测方法包括:外观检查、壁厚测量、磁粉控伤、渗
本题解析:试题答案非破坏性检测方法包括:外观检查、壁厚测量、磁粉控伤、渗透控伤、涡流控伤、超声波控伤、射线控伤、光谱分析、金相试验、硬度测定、碳化物合金元素分析、部件表面腐蚀产物分析、应力测量、内窥镜检查、水压试验等。
49、问答题
什么是理想流体的伯努里方程?如何表达?
点击查看答案
本题答案:理想的不可压缩流体在重力场中做定常流动时,沿流线单位质
本题解析:试题答案理想的不可压缩流体在重力场中做定常流动时,沿流线单位质量流体的位能、压能和动能之和是一个常数,即
gz+p/ρ+v2+2=C
式中z——流体中某质点高度。
P——流体压力。
v——流体流动速度。
C——常数。
50、问答题 锅炉设备大修开工前应做好哪些准备工作?
点击查看答案
本题答案:大修开工前,必须做好以下各项准备工作。
(1
本题解析:试题答案大修开工前,必须做好以下各项准备工作。
(1)针对系统和设备的运行情况、存在的缺陷和小修核查结果,结合上次大修总结进行现场查对。根据对结果及年度要检修计划要求,确定检修的重点项目,制订符合实际情况的对策和措施,并做好有关设计、试验和技术鉴定工作。
(2)落实物资(包括材料、备品、安全用具、施工机具等准备和检修施工现场布置。
(3)制订施工技术组织措施、安全措施。
(4)准备好技术记录表格。
(5)确定需测绘和校核的备品配件加工图。
(6)制订实施大修计划的网络图或施工进度图。
(7)组织各班组学习、讨论检修计划、项目、进度、措施及质量要求和经济责任制等,并做好特殊工种和劳动力的安排,确定检修项目的施工和验收负责人。
51、问答题 锅炉有哪些除灰设备?
点击查看答案
本题答案:锅炉的除灰设备分为内部除灰设备和外部除灰设备两部分。<
本题解析:试题答案锅炉的除灰设备分为内部除灰设备和外部除灰设备两部分。
内部除灰设备有捞渣机、碎渣机、激流喷嘴和喷射泵等;外部设备包括灰渣泵、灰水(渣水)回收泵、浓缩池、搅拌槽(或湿式搅拌机)、容积泵、冲灰器等。
52、问答题 高压管道焊接对口时要注意哪些问题?
点击查看答案
本题答案:更换管道或管件,特别是大口径管子或管件时,应对标高、坡
本题解析:试题答案更换管道或管件,特别是大口径管子或管件时,应对标高、坡度、垂直度进行调整。对口时可在管端装对口卡具,以便调节中心,同时用人力或吊链移动管子,调节焊口间隙直至符合焊接要求。
53、问答题 用火焰矫正焊接变形时应注意什么?
点击查看答案
本题答案:用火焰矫正焊接变形时,应注意:
(1)防止金
本题解析:试题答案用火焰矫正焊接变形时,应注意:
(1)防止金属过烧,钢加热温度不应超过850℃;
(2)经回火处理的高强钢,加热温度不应超过回火温度,以免降低材料的强度。
54、问答题 刮板式捞渣机常见的故障有哪些?
点击查看答案
本题答案:(1)链条缠绕在驱动轴上;
(2)链条脱离导
本题解析:试题答案(1)链条缠绕在驱动轴上;
(2)链条脱离导向滚轮或拉紧滚轮;
(3)导向轮或拉紧滚轮损坏;
(4)刮板脱落或弯曲变形;
(5)链条过度伸长,不能适当拉紧;
(6)液压系统故障;
(7)注油器不供应润滑油;
(8)零件或组件损坏。
55、问答题 筒型球磨机运行维护的重点项目有哪些?
点击查看答案
本题答案:就地项目:
(1)瓦(出入口大瓦)温度和润滑
本题解析:试题答案就地项目:
(1)瓦(出入口大瓦)温度和润滑油量。
(2)轴瓦冷却水量及水温。
(3)筒体有无异音。
(4)减速装置有无异音,油位是否正常,轴承及箱体温度不大于60℃。
(5)大小牙轮运行稳定无异常,温度及振动值不超标。
(6)出入口密封完好不漏风,电流稳定。
集控室监视项目:
(1)电流无异常波动。
(2)出口温度正常且可控。
(3)出入口差压正常。
(4)通风量适当。
(5)轴承温度指示正常,不起过允许值。
56、问答题 选择性携带(蒸汽溶盐)有哪些特点?
点击查看答案
本题答案:随着工作压力的升高,蒸汽的性能越来越接近于水,越易于溶
本题解析:试题答案随着工作压力的升高,蒸汽的性能越来越接近于水,越易于溶解某些盐分。此时它有以下特点:
(1)饱和蒸汽和过热蒸汽的溶盐能力相近,凡能溶于饱和蒸汽的盐分,均能溶于过热蒸汽。
(2)工作压力越大,蒸汽的溶盐能力越强。
(3)不同盐类在相同的条件下,其溶解度不同。
57、问答题 汽包发现缺陷时应怎样处理?
点击查看答案
本题答案:汽包发现缺陷进不得任意进行补焊,经安全性评定必须进行补
本题解析:试题答案汽包发现缺陷进不得任意进行补焊,经安全性评定必须进行补焊时,应制定方案,经主管单位审批后进行。若需进行重大处理时,处理前还需要报地方劳动局备案。
58、问答题 卡环在使用时应注意的事项是什么?
点击查看答案
本题答案:(1)卡环在使用时,必须注意作用在卡环上的受力方向,如
本题解析:试题答案(1)卡环在使用时,必须注意作用在卡环上的受力方向,如果不符合受力方向使用时,会使卡环允许承受荷重降低。
(2)不允许超负荷使用。
(3)卡环的表面光滑,不应有毛刺、裂纹、尖角、夹层等缺陷。
(4)卡环在使用时,螺帽或轴的螺纹部分要拧紧。
(5)不允许高空拆卸的卡环向下抛率,以防损坏螺纹。
(6)工作完毕后,要将卡环收回,擦干净,置于干燥处,以防表面生锈影响使用。
59、问答题
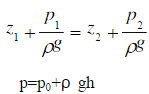
如何表达流体静力学基本方程?
点击查看答案
本题答案:流体静力学
试题答案流体静力学

式中
z1,z2——流体中某质点的高度。
p1,p2——流体质点的压力。
p0——大气压力。
60、问答题 什么叫锅炉汽水管道系统?
点击查看答案
本题答案:锅炉的汽水管道系统指锅炉炉膛外的不受热的管道系统。一般
本题解析:试题答案锅炉的汽水管道系统指锅炉炉膛外的不受热的管道系统。一般包括有给水系统、排放水系统、蒸汽系统,回热机组包括给水系统、主蒸汽系统、再热蒸汽系统、减温水系统、疏放水系统,汽包炉还要加上排污系统及其他小系统。
61、问答题 碳钢分类及其含量有什么?
点击查看答案
本题答案:按含碳量分——低碳钢含量&le
本题解析:试题答案按含碳量分——低碳钢含量≤0.25%的钢。中碳钢含碳量在0.25%~0.60%的钢。高碳钢含碳量>0.60%的钢。
按硫磷含量分——普通碳素钢硫含量≤0.055%,磷含量≤0.045%。优质碳素钢硫磷含量均≤0.040%。高级优质碳素钢硫含量≤0.030%,磷含量≤0.035%。
按用途分——碳素结构钢含碳量在0.7%以下。碳素工具钢含碳量有0.7%以上。
62、问答题 在起吊物体时,捆绑操作要点有哪些?
点击查看答案
本题答案:(1)应根据所吊物体的形状及重心位置,确定适当的捆绑点
本题解析:试题答案(1)应根据所吊物体的形状及重心位置,确定适当的捆绑点。
(2)吊索与水平面要具有一定的角度,一般以45º为宜。
(3)在捆绑有棱角的物件时,物体的棱角与钢丝绳之间应垫衬好东西,以防损坏钢丝绳。
(4)钢丝绳不得有打结拧扣现象。
(5)还应考虑物件在就位后吊索的拆除是否方便。
(6)一般不得用单根吊索捆绑,两根员索不能并列捆绑。
63、问答题 高压管道使用前的检查内容有哪些?
点击查看答案
本题答案:高压管子在使用前应查明钢号、直径及壁厚是否符合要求,并
本题解析:试题答案高压管子在使用前应查明钢号、直径及壁厚是否符合要求,并核对出石证,确认其化学分析结果、机械性能试验结果、工作压力大于8MPa、管壁厚度大于或等于12mm的管子的冲击韧性试验结果、合金钢管的热处理状态说明和金相分析结果。合金钢管一律进行光谱复查。
使用前检查外观,有重皮、裂纹的管子不得使用。表面有划痕、凹坑后局部缺陷应检查鉴定。经处理后的管壁厚度应不小于设计计算的壁厚。
64、问答题 金属材料的物理性能和化学性能是哪些?
点击查看答案
本题答案:金属材料的物理性能和化学性能有:
(1)密度
本题解析:试题答案金属材料的物理性能和化学性能有:
(1)密度:单位体积所具有的质量。
(2)导电性:金属和合金传导电流的能力。
(3)导热性:金属传导热量的能力。
(4)可熔性:金属受热使固态金属变为液态金属的现象。
(5)胀缩性:金属受温度升降使体积发生膨胀和收缩的性能。
(6)磁性:金属被磁场磁化的性能。
(7)抗氧化性:金属材料在高温下抗氧化的能力。
(8)耐腐蚀性:金属和合金耐介质腐蚀的能力。
65、问答题 起重工的“五步”工作法指的是什么?
点击查看答案
本题答案:“五步”工作法指的是:①&ld
本题解析:试题答案“五步”工作法指的是:①“看”,即实地勘察阶段;②“问”,即了解情况;③“想”,即制定方案;④“干”,即方案实施;⑤“收”,即来源:91考试网 91eXAm.org总结阶段。
66、问答题 如何进行锅炉的漏风试验?
点击查看答案
本题答案:对于具备漏风试验条件的锅炉,试验前需启动引、送风机,调
本题解析:试题答案对于具备漏风试验条件的锅炉,试验前需启动引、送风机,调整维持炉膛负压在±50~±200Pa的工况下运行,然后在送风机入口加入白粉或施放烟幕弹。根据漏风处会有漏泄的白粉或烟幕痕迹的原理,查出漏风点加以处理。
67、问答题 起重机左司机“十不吊”的内容是什么?
点击查看答案
本题答案:起重机械司机“十不吊”内容如下
本题解析:试题答案起重机械司机“十不吊”内容如下:①被吊物体的重量不明确不吊;②起重指挥信号不明确不吊;③钢丝绳等捆绑不牢固不吊;④被吊物体重心或钩子垂线不在一起,斜拉斜撤拖不吊;⑤被吊物体被埋入地下或冻结在一起不吊;⑥施工现场照明不足不吊;⑦六级以上大风时,室外起重工作不吊;⑧被吊设备上站人或下面有人不吊;⑨易燃、易爆危险物件没有安全作业票不吊;⑩被吊物体重量起越机械规定负荷时不吊。
68、问答题 面投影的特性是什么?
点击查看答案
本题答案:(1)投影面垂直面:①在垂直的投影面上的投影积聚成直线
本题解析:试题答案(1)投影面垂直面:①在垂直的投影面上的投影积聚成直线;②与投影轴的夹角分别反映出另两个投影面的真实倾角;③在另两投影面上的投影仍为平面图形,面积缩小。
(2)投影面平行面:①在平行的投影面上的投影,反映实际形状;②在另外两个投影面上的投影,分别积聚成直线平行于相应的投影轴。
(3)一般平面:三个投影仍为平面图形,且面积缩小。
69、问答题 2Z系列空气压缩机每隔1~3个月应做哪些维护工作?
点击查看答案
本题答案:每隔1~3个月应进行以下维护工作:①清洗各级进排气阀;
本题解析:试题答案每隔1~3个月应进行以下维护工作:①清洗各级进排气阀;②检查清洗过滤器;③检查润滑油污染变质情况,必要时更换;④清洗润滑油滤油网和过滤器;⑤确认压力表的动作检查安全阀、调节器,减荷阀的动作是否正常。
70、问答题 对轴承座的加工技术要求有哪些?
点击查看答案
本题答案:(1)铸件表面应平整,无气孔、砂眼、夹渣、裂纹等影响强
本题解析:试题答案(1)铸件表面应平整,无气孔、砂眼、夹渣、裂纹等影响强度的缺陷。
(2)加工前应消除内应力。
(3)各部位尺寸、精度、粗糙度应符合图纸要求。
(4)合口加工内孔时,对口处应加0.3~0.5mm的钢皮垫片。
轴承座因其尺寸大小不同材料一般选用HT10-26、HT25-47。
71、问答题 灰分及灰分对锅炉燃烧的影响有哪些?
点击查看答案
本题答案:将煤样在空气中加热到800±25℃,灼烧
本题解析:试题答案将煤样在空气中加热到800±25℃,灼烧2h,余下的重量就是灰分。
灰分非但不可以燃烧,而且还阻碍氧与可燃物质的接合,造成着火和燃尽困难。另外,灰分是造成结焦和积灰、磨损的直接原因,同时灰分还会造成大气污染。
72、问答题 如何提高自然水循环的安全性?
点击查看答案
本题答案:采用分割构造独立的循环回路,将受热弱和受热强的管子分列
本题解析:试题答案采用分割构造独立的循环回路,将受热弱和受热强的管子分列布置,减小并联管子的吸热不均;采用大直径水冷壁,减少管子长度和弯头,设法降低管道的流动阻力,提高循环流速和循环倍率;运行中严格控制较高的汽包水位,并在下降管口加装格栅等,以减少下降管中带汽,防止由于下降管中带汽增大工质的流动阻力,使下降管中工质密度减小。
73、问答题 离心泵启动时,不及时开出口门为何会汽化?
点击查看答案
本题答案:离心水泵在出口关闭下运行,因水送不出去,高速旋转的叶轮
本题解析:试题答案离心水泵在出口关闭下运行,因水送不出去,高速旋转的叶轮与少量的水摩擦,会使水的温度升高,引起泵壳发热,如果时间过长,水泵内的水温超过吸入压力下的饱和温度而发生汽化。
74、问答题 如何进行制粉系统出力和煤粉细度的调节?
点击查看答案
本题答案:调节制粉系统出力主要是进行制粉风量的协调。协调风量、风
本题解析:试题答案调节制粉系统出力主要是进行制粉风量的协调。协调风量、风温、给煤量,达到磨煤出力、干燥出力、通过出力三者一致。
煤粉细度的调节可通过调整制粉风量的大小来进行,也可通过改变粗粉分离器挡板角度、出口套筒的位置或转式分离器和转速来进行较大范围的调整。
75、问答题 说出绞孔时的废品种类及其产生原因和预防方法。
点击查看答案
本题答案:绞孔的精度和表面粗糙度要求很高,如果绞削用量选择不当、
本题解析:试题答案绞孔的精度和表面粗糙度要求很高,如果绞削用量选择不当、绞刀质量不好、冷却润滑液不合适及操作疏忽等都会产生废品,其种类及产生原因和预防方法见表4-1。
76、问答题 制粉系统爆炸事故发生时有何现象?
点击查看答案
本题答案:制粉系统所有风变正,从系统不严密处喷烟冒火,防爆门打穿
本题解析:试题答案制粉系统所有风变正,从系统不严密处喷烟冒火,防爆门打穿,现场听到爆炸声;磨出口和排粉机入口风温不正常升高,煤粉仓温度不正常升高;防爆门打穿后,排粉机电流增大,磨出口负压减小;对于干燥剂送粉的系统,一次风压增大,炉膛冒正,严重时易造成锅炉灭火。
77、问答题 锅炉监察检验的目的是什么?
点击查看答案
本题答案:(1)贯彻“预防为主”的方针,
本题解析:试题答案(1)贯彻“预防为主”的方针,及时发现并消除隐患,做到防患于未然。
(2)消除缺陷,延长锅炉使用寿命。
(3)堵塞漏洞,节约能源。
(4)对出口锅炉加强检验,保证质量,提高产品信誉和竞争能力。
(5)对进口锅炉加强检验,及时发现问题,减少国家、企业人力、物力、财力的损失。
78、问答题 如何理解电阻的定义及性质?
点击查看答案
本题答案:电流通过导体时,电荷在定向移动的过程中不断地相互碰撞,
本题解析:试题答案电流通过导体时,电荷在定向移动的过程中不断地相互碰撞,并且还不断地与构成导体的原子或分子相碰撞,故导体对通过它的电流呈现一定的阻力,这就是导体的电阻,简称电阻。
电阻是耗能元件,电流通过电阻时要发热。
79、问答题 什么是管路特性曲线?什么是泵和风机的性能曲线?
点击查看答案
本题答案:所谓管路特性曲线,就是管路中通过的流量与所需要消耗的能
本题解析:试题答案所谓管路特性曲线,就是管路中通过的流量与所需要消耗的能量之间的关系曲线。 泵和风机的性能曲线包括流量与能头(扬程或全风压)、流量与功率、流量与效率三种。常用流量与能头曲线与管路特性曲线一起确定泵与风机的工作点或进行选型。
80、问答题  来源:91考试网 www.91eXam.org;发电厂厂用电系统的倒闸操作有哪些步骤?
点击查看答案
本题答案:(1)发布命令和接受任务。
(2)填写厂用电
本题解析:试题答案(1)发布命令和接受任务。
(2)填写厂用电倒闸操作票。
(3)操作票审核批准。
(4)模拟盘模拟操作预演。
(5)发布正式操作命令。
(6)现场实际操作。
(7)操作复查。
(8)操作汇报。
(9)操作记录。
81、问答题 锅炉炉墙的作用及其应具备的性能是什么?
点击查看答案
本题答案:锅炉炉墙是锅炉的外衣,它构成锅炉的燃烧室和烟道的一部分
本题解析:试题答案锅炉炉墙是锅炉的外衣,它构成锅炉的燃烧室和烟道的一部分。炉墙应把高温空间和外界空间隔离开来,必须具有密封、耐热和绝热的作用。
锅炉炉墙应具备如下性能:
(1)耐热层材料必须有较高的耐火度以抵抗火焰的烘烤,材料的传热性能要好,以防由于内外面温差太大所引起的温差应力使其变形甚至破坏;材料结构必须紧密以防有害物质的侵蚀;化学性能必须与烟气、熔渣的化学必能一致,以防化学腐蚀;具有很高的机要强度。
(2)绝热层材料必须具备与使用部位的温度相适应的使用温度;材料的传热性能要差,一般规定,它的热导率应小于0.84W/(m•℃),它应有足够的厚度,以保证外壁面温度不高于50℃;材料的容重要轻且有一定的强度;化学稳定性要好。
(3)墙体必须严密,以防冷空气进入炉内和火焰窜到炉外;必须有足够的膨胀余地,以免产生较大的膨胀应力。
82、问答题 如何处理仓储式制粉系统中排粉机掉闸?
点击查看答案
本题答案:对于采有乏气送粉的锅炉,一台排粉机掉闸对锅炉燃烧影响较
本题解析:试题答案对于采有乏气送粉的锅炉,一台排粉机掉闸对锅炉燃烧影响较大,排粉机掉闸后对应侧的所有给粉机全部掉闸,锅炉负荷迅速下降,汽温、汽压大幅度下降。处理方法是迅速抢合掉闸排粉机(掉闸前有明显故障者除外),若抢合不成功,应迅速降低电负荷到适当,控制汽压稳定。减小给水量,维持汽包水位或中间点温度(直流炉)正常,同时适当减少温水量,维持汽温正常。
排粉机抢合不及时或抢合不成功极易造成锅炉灭火,如果锅炉灭火,应按故障停炉方法进行处理。
83、问答题 停炉后,如何控制锅炉的冷却速度?
点击查看答案
本题答案:总原则是控制炉内通风情况,控制汽包及受热面的上放水次数
本题解析:试题答案总原则是控制炉内通风情况,控制汽包及受热面的上放水次数,控制过热器的排汽时间。
为了避免停炉后降压温太快,在锅炉灭火通风吹扫5~10min后,应立即关闭所有风、烟道挡板和各部的人孔、手孔及检查孔,密闭系统。根据具体情况确定锅炉上放水和通风时间。除紧急抢修外,一般均采用自然冷却的方法。
84、问答题 有一风机型号为G4-73-11NP20D右90°,说出各符号数字代表的意义。
点击查看答案
本题答案:G—锅炉通风机;
4&mdash
本题解析:试题答案G—锅炉通风机;
4—风机在最效率点的全压系数(0.437)乘以10后的化整数;
73—风机在最高效率点时的转数;
1—单侧进风;
1—第一次设计
NP20—叶轮外径为2000mm;
D—悬壁布置;
右—从电动机端看,叶轮按顺时针方向旋转;
90°—风机机壳的出口角度。
85、问答题 灰渣泵叶轮与前护板之间的间隙对灰渣泵的扬程有何影响?如何调整?
点击查看答案
本题答案:灰渣泵叶轮与前护板的间隙对灰渣泵的扬程有很大的影响,间
本题解析:试题答案灰渣泵叶轮与前护板的间隙对灰渣泵的扬程有很大的影响,间隙过大,泄漏增加,会导致出口扬程降低。间隙过小,易引起动静部件间的摩擦。该间隙的调整应在安装和更换叶轮时进行。调整方法,一般以调整轴承箱外大轴承上的圆螺母作叶轮定位作粗调整,以轴封处两个圆螺母作细调整。
86、问答题 标注组合体左视图的尺寸时有何要求?组合体视图中的尺寸可分为几类?
点击查看答案
本题答案:标注组合体视图的尺寸时,有以下几点要求;
(
本题解析:试题答案标注组合体视图的尺寸时,有以下几点要求;
(1)标注尺寸要完整,并且不能遗漏或重复;
(2)尺寸数值要标注得正确无误,注法符合机械制图国标的规定;
(3)尺寸布置整齐合理清晰,便于读图。
组合体视图中的尺寸可分为定形尺寸、定位尺寸和总体尺寸三种。
87、问答题 回转式空气预热器运行中的检查和监视项目有哪些?
点击查看答案
本题答案:运行中的检查和监视项目如下:
(1)空气预热
本题解析:试题答案运行中的检查和监视项目如下:
(1)空气预热器转子运行平稳、无异常声音且电流稳定。
(2)减速机构油位正常,油质良好。运行稳定无异常声音。机构上的轴承及齿轮等温度正常不超标。
(3)上下轴承轴温不超标,且运行稳定无杂音。冷却水量充足。
(4)各部分结合面应严密不漏风、漏灰,保温完善无缺损。
(5)备用驱动电动机应定期切换,保证良好备用。
(6)严格执行定期吹扫受热面的工作,保持良好的传热效果。
88、问答题 转动设备准备修理时,应注意哪些安全事项?
点击查看答案
本题答案:在机器完全停止以前,不准进行修理工作。修理中的机器应做
本题解析:试题答案在机器完全停止以前,不准进行修理工作。修理中的机器应做好防止转动的安全措施,如:切断电源(电动机的开关、刀闸或熔丝应拉开,开关操作电源的熔丝也应取下);切断风源、水源、气源;所有有关闸板、阀门等应关闭;检修工作负责人在工作前,必须对上述安全措施进行检查,确认无误后,方可开始工作。
89、问答题 动火级别如何划分?
点击查看答案
本题答案:动火级别根据火灾“四大”原则划
本题解析:试题答案动火级别根据火灾“四大”原则划分,一般分为两级。
(1)一级动火区,是指火灾危险性很大,发生火灾时后果很严重的部位和场所。
(2)二级动火区,是指一级动火区以外的所有防火重点部位或场所,以及禁止明火区。
90、问答题 火力发电厂是通过什么设备、怎样进行能量转换的?
点击查看答案
本题答案:火力发电厂的能量转换过程是:燃料的化学能→(
本题解析:试题答案火力发电厂的能量转换过程是:燃料的化学能→(锅炉)→蒸汽的热能→(汽轮机)→机械能→(发电机)→电能。
由上可知,火力发电厂是由锅炉、汽轮机和发电机三大主机及其辅助的系统组成的。
91、问答题 如何保证停炉过程中的汽包安全?
点击查看答案
本题答案:停炉过程中应注意:
(1)停炉后应控制降压速
本题解析:试题答案停炉过程中应注意:
(1)停炉后应控制降压速度不得太快,尽量保持较高的汽包水位,可减小汽包壁温差。
(2)对于母管制系统机组,停炉后应及时关闭主汽门。否则,蒸汽返回汽包易造成汽包温差增大。
(3)停炉时和停炉后要缓慢冷却,保持汽包上下壁温差不大于40℃。
(4)不得采用上放水来冷却汽包,防止汽包急剧冷却。
92、问答题 HB、HRC、HV各代表用什么方法测得的硬度符号?
点击查看答案
本题答案:(1)HB代表布氏硬度测试法测得硬度符号;
本题解析:试题答案(1)HB代表布氏硬度测试法测得硬度符号;
(2)HRC代表洛氏硬度测试法测得的硬度符号;
(3)HV代表维氏表硬度测试法测得的硬度符号。
93、问答题 汽轮机凝汽器的作用有哪些?
点击查看答案
本题答案:(1)降低汽轮机排汽压力,提高汽轮机效率。
本题解析:试题答案(1)降低汽轮机排汽压力,提高汽轮机效率。
(2)回收工质,减少工质损失。
(3)凝结汽轮机排汽,连接热力循环。
(4)凝汽器还具有一定的除氧效果,有利于提高水质。
94、问答题 什么叫投影?点投影的特性是什么?
点击查看答案
本题答案:用假象的光源法使几何形体在平面上产生图像的方法称为投影
本题解析:试题答案用假象的光源法使几何形体在平面上产生图像的方法称为投影。
点投影的特性有:
(1)点的投影连线垂直于投影轴。
(2)点的投影与投影轴的距离,等于该点与相邻投影面的距离。
95、问答题 简述管道支吊架的检查内容。
点击查看答案
本题答案:固定支架上的管道是否无任何间隙地放在托枕上,卡箍是否与
本题解析:试题答案固定支架上的管道是否无任何间隙地放在托枕上,卡箍是否与管子紧帖,焊口与卡子底座有无裂纹;
滑动支架和管道间有无杂物影响管道的自由膨胀;管道膨胀指示器有无回到原来的位置上;
吊架和弹簧吊杆有无松动、裂纹、弯曲,弹簧变形有无超过允许数值,弹簧以及弹簧盒是否歪斜,弹簧被压缩后有无层间间隙。
96、问答题 压力信号变送器有几种?
点击查看答案
本题答案:压力信号变送器有以下几种:
(1)电接点压力
本题解析:试题答案压力信号变送器有以下几种:
(1)电接点压力表。
(2)电位器式压力变送器。
(3)电容式压力变送器。
(4)振弦式压力变送器。
(5)电感式压力变送器。
(6)霍尔压力变送器。
(7)扩散硅式压力变送器。
(8)力平衡式压力变送器。
97、问答题 什么是黏性?什么是动力黏度和运动黏度?
点击查看答案
本题答案:流体的黏性是指流体本身阻碍其质点相对滑动的物理性质。<
本题解析:试题答案流体的黏性是指流体本身阻碍其质点相对滑动的物理性质。
动力黏度是流体单位接触面积上的内摩擦力与垂直于运动方向上的速度变化率之比。用符号μ表示。
运行黏度是动力黏度与相同压力和温度下的流体密度之比。用符号v表示。
98、问答题 简述煤的元素分析的概念及其意义。
点击查看答案
本题答案:煤是有机物和无机物共同组成的混合物质,其分子结构非常复
本题解析:试题答案煤是有机物和无机物共同组成的混合物质,其分子结构非常复杂。为了方便实用,一般将其内含的主要成分即可燃物质和非可燃物质借助燃烧的方法逐一测定出来,与其他特性相结合,可以帮助我们判断煤的化学性质。同时煤的元素组成是燃烧计算的重要依据。
99、问答题 《安全生产工作规定》对反事故措施计划有何规定?
点击查看答案
本题答案:反事故措施计划应根据上级颁布的反事故技术措施、需要消除
本题解析:试题答案反事故措施计划应根据上级颁布的反事故技术措施、需要消除的重大缺陷、提高设备可靠性的技术改进措施以及本企业事故防范对策进行编制。反事故措施计划应纳入技改计划。
100、问答题 造成风机轴承温度高的原因有哪些?如何处理?
点击查看答案
本题答案:原因:油量不足或油质差;油环带油能力差,不能正常带油;
本题解析:试题答案原因:油量不足或油质差;油环带油能力差,不能正常带油;轴承装配不良或轴承质量;滑动轴承表面损伤,破坏了油膜的稳定性与均匀性;轴承振动过大;错用润滑油;轴承冷却水中断或水量小。
处理方法:更换润滑油;处理风机振动;调整冷却水量和及时处理冷却水系统故障,保证充足的冷却水;温度较高且采取措施无效时,应及时停止风机,进行解体检查。
题库试看结束后
微信扫下方二维码即可打包下载完整版《
★电力生产“1000个为什么”》题库
手机用户可保存上方二维码到手机中,在微信扫一扫中右上角选择“从相册选取二维码”即可。
题库试看结束后
微信扫下方二维码即可打包下载完整版《
电力生产“1000个为什么”:锅炉运行与检修》题库,
分栏、分答案解析排版、小字体方便打印背记!经广大会员朋友实战检验,此方法考试通过率大大提高!绝对是您考试过关的不二利器!
手机用户可
保存上方二维码到手机中,在
微信扫一扫中右上角选择“从
相册选取二维码”即可。