手机用户可
保存上方二维码到手机中,在
微信扫一扫中右上角选择“从
相册选取二维码”即可。
1、判断题 无差异曲线表示不同的消费者消费两种商品的不同数量组合所得到的效用是相同的。
点击查看答案
本题答案:错
本题解析:无差异曲线是指在某一特定期间内,消费者为维持一个相同的效用水平,对其所消费的两种物品的各种不同组合所形成的点的轨迹。消费者并不要求是不同的人。
2、单项选择题 在下列情况中,何种情形将会使预算约束在保持斜率不变的条件下作远离原点的运动?()。
A、x的价格上涨10%而y的价格下降10%
B、x和y的价格都上涨10%而货币收入下降5%
C、x和y的价格都下降15%而货币收入下降10%
D、x和y的价格都上涨10%而货币收入上涨5%
E、上述说法都不准确
点击查看答案
本题答案:C
本题解析:暂无解析
3、单项选择题 预算线向右上方平行移动的原因是()
A.商品X的价格下降了
B.商品Y的价格下降了
C.商品X和Y的价格按同样的比率下降
D.商品X和Y的价格按同样的比率上升
点击查看答案
本题答案:C
本题解析:暂无解析
4、判断题 作为消费者的合理选择,哪一种商品的边际效用最大就应当选择哪一种商品。
点击查看答案
本题答案:错
本题解析:作为消费者的合理选择,其应选择消费最后一单位货币能给他带来最大边际效用的那种商品。
5、判断题 对所有人来说,钱的边际效用是不会递减的。
点击查看答案
本题答案:错
本题解析:货币的边际效用同样存在递减规律。
6、单项选择题 一个消费者宣称,他早饭每吃一根油条要喝一杯豆浆,如果给他的油条数多于豆浆杯数,他将把多余的油条扔掉,如果给他的豆浆杯数多于油条数,他将同样处理()
A.他关于这两种食品无差异曲线是一条直线
B.他的偏好破坏了传递性的假定
C.他的无差异曲线是直角的
D他的无差异曲线破坏了传递性的假定,因为它们相交了
E.以上各项均不准确
点击查看答案
本题答案:C
本题解析:暂无解析
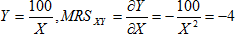
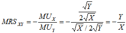
7、问答题
计算题:假定X和Y两种商品的效用函数为U=
,要求:(1)若X=5,则在总效用为10单位的无差异曲线上,对应的Y应为多少?这一商品组合对应的边际替代率是多少?(2)计算上述效用函数对应的边际替代率。
点击查看答案
本题答案:(1)U=
试题答案(1)U=
=10,XY=100
当X=5时,Y=20
又因
(2)
8、判断题 吉芬商品是一种低等品,但低等品不一定是吉芬商品。
点击查看答案
本题答案:对
本题解析:某商品价格变动引起该商品需求量究竟如何变动是根据替代效应和收入效应的大小和方向而定。若是正常商品,替代效应和收入效应方向相同。若是非吉芬商品的低档商品,替代效应与收入效应方向相反,但替代效应大于收入效应;若是吉芬商品,替代效应和收入效应方向相反,但替代效应小于收入效应。
9、判断题 如果边际效用递减,则总效用下降。
点击查看答案
本题答案:错
本题解析:边际效用递减但其只要为正,总效用上升。
10、单项选择题 代偿性代酸()
A.pH7.30PaO250mmHg,PaCO280mmHg
B.pH7.35PaO280mmHg,PaCO220mmHg
C.pH7.25PaO265mmHg,PaCO230mmHg
D.pH7.40PaO260mmHg,PaCO265mmHg
E.pH7.38PaO250mmHg,PaCO240mmHg
点击查看答案
本题答案:B
本题解析:暂无解析
11、判断题 同一杯水具有相同的效用。
点击查看答案
本题答案:错
本题解析:不同消费者对于同一物品的评价可能不同,效用也不同。
12、问答题
计算题:假定某消费者在某晚消费香烟(C)和啤酒(B)的效用函数为U(C,B)=20C—C2+18B—3B2,问在该晚此消费者应该消费香烟和啤酒各多少数量才能达到最大满足?
点击查看答案
本题答案:
试题答案

13、单项选择题 无差异曲线凸向原点,说明()
A.边际成本递增
B.边际替代率递减
C.边际技术替代率递减
D.机会成本递减
点击查看答案
本题答案:B
本题解析:无差异曲线凸向原点说明边际替代率递减。
14、问答题 阅读以下材料,联系实际情况,运用所学理论进行评析。记得在初学经济学时,无论是运用Slutsky还是Hicks分解方法,总觉得消费支出中的价格效应,包括替代效应和收入效应不怎么好理解。最近听说一个保姆的故事,却很好的体现了其原理,又一次体会到“经济学原来就在生活之中”。本文先讲述这个故事,再进行简要分析,以让更多的人分享。一朋友虽事业蒸蒸日上,但为特别爱哭泣的小孩伤透了脑筋。为此两口子想了不少办法,但收效甚微,经过一段时间的摸索,最后总算找到了偏方:小孩特别爱吃一种小颗粒糖,也爱玩,所以每当小宝贝快要哭的时候,买一两个欢乐球或吃几粒糖,小孩很快就会安静下来,若多些球或糖,小孩甚至还会高兴得手舞足蹈。要是不让宝贝哭,每周至少得破费50多元(大致54元),包括购买100来个(大致为105个)价格为0.25元的欢乐球和约280粒价格为0.1元的糖。有一天,他们从保姆市场雇了一保姆专门照顾小孩,基本要求是不能让宝贝哭,当然每周的预算仍然是54元左右。在主人的帮助下,保姆很快学会了如何买球和糖以及对 付小孩哭泣的招数。然而,一个多月以后,欢乐球降价了,由原来的0.25元降到0.15元。保姆当然很高兴,因为现在虽然买280粒糖仍需28元,但买105个欢乐球不需要26元了,而只需要16元,每周就可以省出10元。但保姆没有把省出的钱交还给主人,而是进了自己的腰包,算是赚点“小费”。就这样,降价后保姆每次花约44远买105个球和280粒糖,并赚10元小费,主人全然不知。日复一日,循环往复,但保姆总琢磨着,既然球降价了,为什么不多买点球,而少买点糖。经过不断尝试,她觉得花上44元,买145个球和220粒糖效果最好,不仅能制止小孩哭泣,有时还会看到小孩的笑脸。一次周末,保姆利用每周给的一天假,到正在上经济系研究生的哥哥处串门,并洋洋得意的把在主人家的故事一五一十讲给哥哥听。哥哥听后,觉得挺有意思,夸妹妹有心计,但仔细想想,心计还不够,因为让小孩高兴当然好,但这并不是妹妹的本职工作,她完全可以在不让小孩哭泣的前提下,更好的组合球与糖,省出更多的前,赚更多的“小费”。经此点拨,妹妹觉得言之有理。回去之后,又经过不断尝试,她每次买大约140个球和210粒糖,花费约42元,就能保证小孩不哭。结果,每次可赚约12元“小费”,比哥哥点拨前多赚2元。转眼间已是春节临近,保姆打算回家过年,期间只能由主人替代去买东西和照顾小孩。她知道,如果主人去买东西,必使其赚“小费”之事暴露无余。为此,她以退为进,开始将每次能省出的12元分文不要,即把主人所给的54元全部购买球和糖。至于购买的数量,经尝试,最后觉得每周买180个球和270粒糖,能使小孩最高兴。见此情景,主人当然非常高兴,夸保姆很能干,而保姆就将球降价的事告诉主人,还得了个“诚实”的美名。 (案例来源:曲辰:“保姆赚’小费’的故事”,载于《经济学消息报》,2001年12月28日第六版。在编辑过程中作了适当删改。)
点击查看答案
本题答案:理解替代效应和收入效应的关键在于认识补偿预算线,而Sl
本题解析:试题答案理解替代效应和收入效应的关键在于认识补偿预算线,而Slutsky和Hicks两种分解方法的补偿预算线是不一样的。Hicks认为,实际收入不变,是指原由的效用水平不变,即消费者可以维持原有的满足程度,保持原有的无差异曲线。这种分解法就是教材中所介绍的方法,补偿预算线与原来的无差异曲线相切来决定替代效应和收入效应。
Slutsky认为,所谓实际收入不变,是指原有的商品组合不变,即消费者在价格变动后刚好能够购买原来的商品组合。为此,当一种商品价格下降时,必须剔除由于价格下降而增加的实际收入,使消费者在新的价格下刚好买到原由价格下的商品组合。因而,Slutsky分解法中,补偿预算线与原来的无差异曲线相交于原来的消费均衡点,以此来决定替代效应和收入效应。
由于两种分解法的补偿预算线不同,因而均衡点也不同,所以替代效应和收入效应也不相同。就同一价格变动来说,Slutsky分解法的替代效应应大于Hicks分解法,但总效应是一样的。当价格变动不大时,两种分析法的效应相似。
本案例阐述了保姆在一种商品价格下降时所采取的三种不同对策,这里面涉及到两种分解法,生动形象,在理解教材中介绍的Hicks分解法基础上,又有了进一步的理论深化,在两种分解法的对比过程中理解替代效应和收入效应。
这虽然只是一个保姆赚“小费”的故事,却揭示了消费中包括的替代效应和收入效应原理,有趣的是还体现了Slutsky和Hicks两种分解方法。在此不妨假设小孩不哭为低的无差异曲线1,小孩高兴为较高的无差异曲线2,而小孩最高兴为无差异曲线3。起初在糖和球的价格分别是0.25元和0.1元的条件下,总预算为54元就达到了无差异曲线1,糖和球的均衡量分别为105个和280粒。当球的价格降至0.15元后,理性的保姆经过调整商品组合,不仅赚了10元“小费”,还使小孩的效用提高到无差异曲线2。事实上,在这里体现了Slutsky分解方法,这10元“小费”是Slutsky补偿预算线下形成的成本差额,球由105增至145,这增加的40就是球的替代效应。后来在哥哥的指点下,她又调整了商品组合,体现了Hicks分解方法。所赚12元“小费”就是Hicks补偿预算线下形成的补偿变量,而球的均衡数量由降价的105增至140个,这增加的额5就是替代效果。最后,由于怕暴露目标保姆放弃所能得到的“小费”,达到了最高的无差异曲线3的效用水平,球的均衡数量达到了180个,比降价前增加了75个,这就是欢乐球的全部降价效应。很显然采用不同的分解方法,收入效应也是不一样的,Slutsky和Hicks分解的结果分别是35和40。
由此可以看出,Slutsky和Hicks两种分解方法的总效应是一样的,但由于补偿预算线的不同,导致了两者的替代效应和收入效应各异,前者替代效应应大于后者,而收入效应则相反,但两者差异很小,所以结果大同小异。
15、判断题 预算线的平行移动说明消费者收入发生变化,价格没有发生变化。
点击查看答案
本题答案:错
本题解析:预算线的平行移动说明消费者收入发生变化,相对价格没有发生变化,但绝对价格可能发生变化。
16、问答题 试用替代效应和收入效应之间的关系解释低挡商品和吉芬商品之间的区别。
点击查看答案
本题答案:当某低档商品的价格下降时,替代效应倾向于增加此商品的需
本题解析:试题答案当某低档商品的价格下降时,替代效应倾向于增加此商品的需求量,但收入效应则倾向于减少此商品的需求量。
如果替代效应强于收入效应,此低档商品的需求曲线的斜率为负,这是最常见的情形;但如果收入效应等于替代效应,需求直线呈垂直;如替代效应弱于收入效应,需求曲线的斜率为正,此物品被称为吉芬商品。
由此可见,低档商品不一定为吉芬商品,低档商品是指收入和需求量之间的反向关系;而吉芬商品是因低档商品中的收入效应足够强以致于使该商品的价格与需求量发生了同方向的变动。
17、问答题 简述基数效用论和序数效用论的区别。
点击查看答案
本题答案:基数效用论认为,效用是可以计量并加以求和的,故效用是可
本题解析:试题答案基数效用论认为,效用是可以计量并加以求和的,故效用是可以用基数(1、2、3……)来表示。
而序数效用论认为,效用作为一种主观感受是无法用基数来衡量其大小的,故效用只能用序数(第一,第二,第三……)来表示满足程度的高低和顺序。
18、单项选择题
一位消费者只消费两种商品,z和y。z对y的边际替代率在任一点(z,y)是y/z。假定收入为B=260元,Pz=2元,Py=3元,消费者消费40单位z商品和60单位y商品。()
A、消费者实现了效用最大化
B、消费者可以通过增加z商品的消费,减少y商品的消费来增加他的效用
C、消费者可以通过增加y商品的消费,减少z商品的消费来增加他的效用
D、消费者可以通过增加y商品和z商品的消费,来增加他的效用
E.以上各项均不准确
点击查看答案
本题答案:B
本题解析:暂无解析
19、单项选择题 某些人在收入较低时购买黑白电视机,在收入提高时,则去购买彩色电视机,黑白电视机对这些人来说是()。
A、生活必需品
B、奢侈品
C、劣质商品
D、吉芬商品
点击查看答案
本题答案:C
本题解 析:暂无解析
20、问答题 无差异曲线的特征是什么?
点击查看答案
本题答案:无差异曲线具有如下特征:
无差异曲线是一条向
本题解析:试题答案无差异曲线具有如下特征:
无差异曲线是一条向右下方倾斜、斜率为负数的曲线;
在同一坐标平面图上的任何两条无差异曲线不会相交;
在同一坐标图中,可以画出无数条无差异曲线,而不同的无差异曲线表示不同的满足程度;
无差异曲线是凸向原点的。
21、单项选择题 当消费者收入提高时,下述哪条曲线必然向右上方移动()
A.预算线
B.无差异曲线
C.成本曲线
D.供给曲线
点击查看答案
本题答案:A
本题解析:预算线随着收入增加外移。
22、单项选择题 对一位消费者来说古典音乐 磁带对流行音乐磁带的边际替代率是1/3,如果()
A.古典音乐磁带的价格是流行音乐磁带价格的3倍,他可以获得最大的效用
B.古典音乐磁带的价格与流行音乐磁带价格相等,他可以获得最大的效用
C.古典音乐磁带的价格是流行音乐磁带价格的1/3,他可以获得最大的效用
D.他用3盘流行音乐磁带交换一盘古典音乐磁带,他可以获得最大的效用
E.以上各项均不准确
点击查看答案
本题答案:A
本题解析:暂无解析
23、单项选择题 商品X和Y的价格按相同比率上升,收入不变,则预算线()
A.向左下方平行移动
B.向右上方平行移动
C.不变动
D.向左下方或右上方平行移动
点击查看答案
本题答案:A
本题解析:商品X和Y的价格按相同比率上升,收入不变,则预算线斜率不便,预算线外移。
24、问答题 请解释亚当•斯密提出的“价值之迷”——水的使用价值很大,而交换价值却很小;钻石的使用价值很小,但交换价值却很大。
点击查看答案
本题答案:商品的 91ExaM.org交换价值(价格)并不取决于该商品的总效用,而是取
本题解析:试题答案商品的交换价值(价格)并不取决于该商品的总效用,而是取决于它的边际效用。
水的边际效用很小,而钻石的边际效用很大。
25、判断题 消费者的效用极大化要求预算线与无差异曲线相交。
点击查看答案
本题答案:错
本题解析:消费者的效用极大化要求预算线与无差异曲线相切。
26、问答题
计算题:已知某人消费的两种商品X和Y的效用函数为
,商品价格分别为PX和PY,收入为M,求此人对商品X和Y的需求函数。
点击查看答案
本题答案:
试题答案
27、问答题 简要分析边际替代率递减的原因。
点击查看答案
本题答案:商品的边际替代率递减规律是指,消费者在维持效用水平不变
本题解析:试题答案商品的边际替代率递减规律是指,消费者在维持效用水平不变的前提下,随着一种商品的消费数量的连续增加,消费者为得到每一单位的这种商品所需要放弃的另一种商品的消费数量是递减的。发生这种现象的原因在于,当一种商品的数量逐步增加时,增加一单位这种商品对消费者的重要程度或能给他带来满足的程度也越来越低,而他为了多获得一单位的这种商品而愿意放弃的另一种商品的数量就会越来越少。
28、单项选择题 若X的价格变化,X的替代效应小于收入效应,则X是()
A.正常品或低档品
B.低档品
C.正常品或吉芬商品
D.必需品
E.无法确定
点击查看答案
本题答案:E
本题解析:暂无解析
29、问答题 消费者剩余是如何形成的?
点击查看答案
本题答案:消费者剩余是由以下两种因素造成的,一方面,由于存在着边
本题解析:试题答案消费者剩余是由以下两种因素造成的,一方面,由于存在着边际效用递减规律,随着消费者购买数量的增多,他愿意支付的价格越来越低;另一方面,在市场上总是存在着一种现实的价格。而消费者实际支付的市场价格一般反映了他对所拥有的最后一单位商品的边际效用的估价。
因此,除了他所购买的最后一单位商品之外,消费者从以前购买的所有商品的消费中得到的满足都超过他为之付出的代价。
换句话说,他先前购买的每一单位商品给他带来的边际效用都高于他从最后一单位商品中获得的边际效用,超出的部分就是消费者剩余。
30、单项选择题 以下()项指的是边际效用
A.张某吃了第二个面包,满足程度从10个效用单位增加到了15个单位,增加了5个效用单位
B.张某吃了两个面包,共获得满足15个效用单位
C.张某吃了四个面包后再不想吃了
D.张某吃了两个面包,平均每个面包带给张某的满足程度为7.5个效用单位
E.以上都不对
点击查看答案
本题答案:A
本题解析:暂无解析
31、判断题 收入-消费曲线是由于消费者收入的变化引起效用极大化变化的轨迹。
点击查看答案
本题答案:对
本题解析:暂无解析
32、问答题
计算题:若消费者张某的收入为270元,他在商品X和Y的无差异曲线上的斜率为dY/dX=-20/Y的点上实现均衡。已知商品X和商品Y的价格分别为PX=2,PY=5,那么此时张某将消费X 和Y各多少?
点击查看答案
本题答案:消费者的均衡的均衡条件为
-dY/dX=MR
本题解析:试题答案消费者的均衡的均衡条件为
-dY/dX=MRS=PX/PY
所以-(-20/Y)=2/5
Y=50
根据收入I=XPX+YPY,可以得出
270=X*2+50*5
X=10
33、问答题 计算题:小张购买第一件装饰品愿付10元,第二件愿支付9元,……,直到第10件1元,第11件就不愿付钱。问:(1)假如每件装饰品需付3元,他将买多少件装饰品?他的消费者剩余是多少?(2)装饰品 91EXAm.org的价格每件涨到5元,情况又怎样呢?(3)你能表述小张所获得的消费者剩余和商品价格之间的关系吗?
点击查看答案
本题答案:(1)因为小张对第8件装饰品愿意支付3元,也就是说,在
本题解析:试题答案(1)因为小张对第8件装饰品愿意支付3元,也就是说,在她看来,第8件装饰品的边际效用等于3元货币的效用之和,所以,当每件装饰品的价格为3元时,她将购买8件装饰品。这时,她所花的最后1元所得的边际效用恰好等于货币边际效用,即
小张购买第1件装饰品愿支付10元,而实际上只付出3元,剩余7元;同理,第二件剩余6元,……第7件剩余1元,第8件没有剩余。因此,消费者剩余=7+6+5+4+3+2+1+0=28元。
(2)因为小张对第6件装饰品愿意支付5元,所以当价格上涨到5元时,她将购买6件装饰品。这时,她所花的最后1元所得的边际效用恰好等于货币的边际效用,即
。
消费者剩余=(10-5)+(9-5)+(8-5)+(7-5)+(5-5)+5+4+3+2+1+0=15元
(3)由上面消费者剩余的计算可知,消费者剩余=愿意支付的价格总额-实际支付的价格总额。
题库试看结束后
微信扫下方二维码即可打包下载完整版《
★经济学》题库
手机用户可保存上方二维码到手机中,在微信扫一扫中右上角选择“从相册选取二维码”即可。
题库试看结束后
微信扫下方二维码即可打包下载完整版《
经济学:消费者行为理论》题库,
分栏、分答案解析排版、小字体方便打印背记!经广大会员朋友实战检验,此方法考试通过率大大提高!绝对是您考试过关的不二利器!
手机用户可
保存上方二维码到手机中,在
微信扫一扫中右上角选择“从
相册选取二维码”即可。