手机用户可
保存上方二维码到手机中,在
微信扫一扫中右上角选择“从
相册选取二维码”即可。
1、单项选择题 以上心室率可快可慢可规则也可不规则的是()
A.心房扑动
B.房颤
C.阵发性室上性心动过速
D.阵发性室性心动过速
E.窦性心动过缓
点击查看答案
本题答案:A
本题解析:暂无解析
2、单项选择题 意识障碍包括以下几种,除了()
A.嗜睡
B.意识模糊
C.躁动
D.昏睡
E.昏迷
点击查看答案
本题答案:C
本题解析:暂无解析
3、多项选择题 脑神经12对,属于混合神经的有()
A.三叉神经
B.舌下神经
C.迷走神经
D.舌咽神经
E.视神经
点击查看答案
本题答案:A, C, D
本题解析:暂无解析
4、单项选择题 肾毒性强的药物是()
A.环磷酰胺
B.柔红霉素
C.甲氨蝶呤
D.长春新碱
E.顺铂
点击查看答案
本题答案:E
本题解析:暂无解析
5、单项选择题 a.c.()
A.饭前
B.每晨
C.饭后
D.睡前
E.每日4次
点击查看答案
本题答案:A
本题解析:暂无解析
6、单项选择题 不是典型沙眼体征的为()
A.结膜滤泡
B.结膜瘢痕
C.睑球粘连
D.睑结膜的乳头
E.角膜血管翳
点击查看答案
本题答案:C
本题解析:暂无解析
7、多项选择题 病理实验室技术人员的四条职责规定包括:()
A.发出的结果是正确的.
B.正确的结果和正确的标本相符
C.保留正确和完整的记录
D.为献血者提供食品
点击查看答案
本题答案:A, B, C
本题解析:暂无解析
8、单项选择题 腹部损伤行腹腔穿刺抽得不凝血液,应考虑诊断为()。
A.空腔脏器破裂
B.实质脏器破裂
C.后腹膜血肿
D.误穿入腹腔血管
E.前腹壁血肿
点击查看答案
本题答案:B
本题解析:空腔脏器与实质脏器破裂的区别。
9、单项选择题 抑制细菌核酸代谢的药物为()
A.头孢他啶
B.多黏菌素
C.阿莫西林
D.红霉素
E.利福平
点击查看答案
本题答案:E
本题解析:暂无解析
10、多项选择题 某年6月1日,某县卫生监督所接到群众举报,声称某个体户销售变质腐烂的猪肉。根据此线索,在未对其销售变质猪肉的事实是否存在作出调查的情况下,依据《食品安全法》有关规定作出行政处罚决定,对其处以1000元罚款。
提示:该个体户不服县卫生监督所的处罚,6月15日向县人民法院提起行政诉讼,诉讼行政机关轻信谣言未作调查取证就处罚是违法行政,要求法院判决撤消。卫生监督所作出的行政处罚决定缺乏的调查事实是()
A.销售对象
B.地点
C.涉及的法律
D.数量
E.时间
F.引起的后果
点击查看答案
本题答案:A, B, D, E
本题解析:暂无解析
11、单项选择题 果糖胺的测定可反映糖尿病患者血糖总水平的时间是()
A.7天
B.15~21天
C.28~35天
D.42~49天
E.56~63天
点击查看答案
本题答案:B
本题解析:果糖胺是血浆中的蛋白质在葡萄糖非酶糖化过程中形成的一种物质,由于血浆蛋白的半衰期为19天,故果糖胺反映的是2~3周总的血糖水平。
12、单项选择题 抽样调查某市中学生患龋齿情况,检查12岁男、女生各300人,结果男生龋均为0.99,女生龋均为1.90,男、女生龋均的标准差分别为1.62和2.00。应采用的统计分析方法是()
A.t检验
B.方差分析
C.样本率的检验
D.卡方检验
E.秩和检验
点击查看答案
本题答案:A
本题解析:暂无解析
13、单项选择题 根据《城市区域环境噪声标准》1类标准适用于()区域。
A.疗养区
B.居住区
C.工业区
D.城市道路交通干线两侧
点击查看答案
本题答案:B
本题解析:中国《城市区域环境噪声标准》规定了城市五类区域的环境噪声最高限值,其中1类标准适用于以居住、文教机关为主的区域,乡村居住环境可参照执行1类标准。
14、单项选择题 抗组胺药物过量,出现阿托品样症状和体征及胃肠道症状,可采取的处理办法不包括()
A.催吐
B.洗胃
C.静脉注射水杨酸毒扁豆碱
D.给予盐类泻药
E.使用兴奋剂
点击查看答案
本题答案:E
本题解析:暂无解析
15、单项选择题 胸部叩诊为鼓音不见于下列疾病()
A.空洞型肺结核
B.肺脓肿空洞形成
C.肺囊肿
D.肺炎
E.气胸
点击查看答案
本题答案:D
本题解析:肺内空腔性病变若其腔径大于3~4cm,且靠近胸壁时,如空洞型肺结核、液化了的肺脓肿和肺囊肿等,叩诊可呈鼓音。胸膜腔积气,如气胸时,叩诊亦可为鼓音。
16、单项选择题 急性扁桃体炎的诊断依据为()
A.起病急、恶寒、高热,咽痛明显,吞咽时尤甚
B.扁桃体及舌腭弓慢性充血
C.扁桃体表面不平
D.扁桃体表面有瘢痕
E.挤压时有分泌物从隐窝口排出
点击查看答案
本题答案:A
本题解析:急性扁桃体炎的诊断可根据典型临床表现如起病急、恶寒、高热。咽痛明显,吞咽时尤甚,血常规检查、血小板计数及咽拭子涂片检查和细菌培养能明确诊断。急性扁桃体炎反复发作史、扁桃体及舌腭弓慢性充血、扁桃体表面不平、有瘢痕或黄白点状物、挤压时有分泌物从隐窝口排出等为慢性扁桃体炎的诊断依据。故正确答案为A。
17、多项选择题 未通过硫酸铜实验的献血员,我们应用其他方法测定其血红蛋白值,并视情况作血球计数是因为()
A.确保硫酸铜法的结果是正确的
B.保护和诊断贫血的献血员
C.具体情况具体分析,有的人需要做,有的人就不用做
D.不再做其他实验
点击查看答案
本题答案:A, B
本题解析:暂无解析
18、单项选择题 所有可能累及有关排尿生理活动及神经调节过程的神经性病变,都有可能影响正常的膀胱生理功能,其中不包括()
A.中枢性
B.外周性
C.外伤
D.炎症
E.排尿习惯
点击查看答案
本题答案:E
本题解析:暂无解析
19、单项选择题 某男,从事放射性工作长达20年。近来主诉头痛、头晕、乏力。化验检查白细胞和血小板数量下降等症状
化验检查的重点项目是()
A.神经系统
B.血液系统
C.免疫系统
D.消化系统
E.内分泌系统
点击查看答案
本题答案:B
本题解析:暂无解析
20、单项选择题 高血压病患者提示出现早期左心功能不全的体征是()
A.心尖部3/6级收缩期吹风样杂音
B.右心室扩大
C.心尖部舒张期奔马律
D.室性期前收缩
E.胸腔积液
点击查看答案
本题答案:C
本题解析:舒张早期奔马律是指病理性的第三心音而言,是舒张早期血液极快地充盈到扩大的心室引起室壁的振动或振动房室瓣所产生的声音,常见于严重的心肌损害、左心衰竭、瓣膜关闭不全、大量左至右分流等。
21、单项选择题&n bsp; 与肠腺化生无关的胃癌是()
A.腺癌
B.黏液腺癌
C.弥散型癌
D.胶质癌
E.黏膜相关性淋巴瘤
点击查看答案
本题答案:D
本题解析:暂无解析
22、单项选择题 患者,女性,32岁,5天前出现发热、乏力、恶心、食欲减退,查巩膜轻度黄染,肝肋下1cm,质软,A1T760U/1,总胆红素54μmo1/1,考虑该患者为"病毒性肝炎"。
该患者目前最主要的治疗措施是()
A.免疫治疗
B.保肝药物治疗
C.抗病毒治疗
D.补充维生素
E.卧床休息
点击查看答案
本题答案:E
本题解析:暂无解析
23、单项选择题 前列腺的主要血供来自()
A.阴部内动脉
B.直肠中动脉
C.直肠下动脉
D.膀胱下动脉
E.髂外动脉
点击查看答案
本题答案:D
本题解析:暂无解析
24、单项选择题 在小学开展口腔预防保健项目时。进行口腔健康调查时记录龋病主要的指数是()
A.患龋率和失牙率
B.失牙率和龋均
C.萌出率和换牙率
D.患龋率和龋均
E.龋均和换牙率
点击查看答案
本题答案:D
本题解析:暂无解析
25、单项选择题 劳逸过度可以伤及脏腑,其中劳神过度最易损伤的是()
A.心、肺
B.心、脾
C.肝、肾
D.肝、脾
E.心、肾
点击查看答案
本题答案:B
本题解析:暂无解析
26、单项选择题 会计主管应加强对印、押、证管理,()不得少于一次。
A、每周
B、每旬
C、每月
D、每季
点击查看答案
本题答案:C
本题解析:暂无解析
27、单项选择题 左侧小脑幕切迹疝出现左侧瞳孔散大的原因是()
A.压迫动眼神经
B.压迫动眼神经副核
C.压迫锥体束
D.压迫左侧的皮质核束
E.压迫动眼神经核
点击查看答案
本题答案:A
本题解析:暂无解析
28、单项选择题 预应力混凝土灌浆料,水泥浆中的氯离子总量不应超过水泥质量的()
A.0.10%
B.0.25%
C.0.50%
D.0.06%
点击查看答案
本题答案:D
本题解析:暂无解析
29、多项选择题 下列关于局部振动病的叙述哪些是正确的()
A.是国家规定的法定职业病
B.是以末梢循环障碍为主的疾病
C.是累及肢体神经及运动功能的疾病
D.是以协调运动障碍为主要特征的疾病
E.是以手指发白为典型临床表现的疾病
点击查看答案
本题答案:A, B, C, E
本题解析:暂无解析
30、单项选择题 正常支气管呼吸音的听诊部位在哪里()
A.胸骨角附近
B.左下肺
C.左上肺
D.喉部
E.肩胛区
点击查看答案
本题答案:D
本题解析:暂无解析
31、单项选择题 婴儿的智力活动为()
A.动作性智力活动
B.表象性智力活动
C.运 算性智力活动
D.记忆性智力活动
E.语言性智力活动
点击查看答案
本题答案:A
本题解析:暂无解析
32、单项选择题 性器官和第二性征迅速发育一般出现在()
A.青春期早期
B.青春期前期
C.青春期后期
D.青春期中期
E.青春期晚期
点击查看答案
本题答案:D
本题解析:性器官和第二性征迅速发育是青春期中期的特征。在中期会出现月经初潮和首次遗精,一般持续2~3年。
33、单项选择题 某城市居住用地,市政公用设施齐全、布局完整、环境较好,以多层、中高层、高层住宅为主,按城市土地利用类型划分,该用地属于()。
A.一类居住用地
B.二类居住用地
C.三类居住用地
D.四类居住用地
点击查看答案
本题答案:B
本题解析:暂无解析
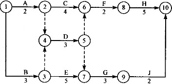
34、单项选择题
某设备安装工程双代号网络计划如下图所示,其关键线路有()条。

A.2
B.3
C.4
D.5
点击查看答案
本题答案:B
本题解析:暂无解析
35、单项选择题 底背离现象一般是预示价格在低位可能反转()的信号,是短期()的信号。
A.向下,看跌
B.向上,看涨
C.向下,看涨
D.向上,看跌
点击查看答案
本题答案:B
本题解析:底背离现象一般是预示价格在低位可能反转向上的信号,是短期看涨的信号。
36、单项选择题 腰痛多年,时轻时重,伴双下肢痛。10d前搬重物后腰腿痛加剧,并出现麻木与排尿困难。查体:腰运动受限,椎旁压痛向下肢放散,直腿高举与足背屈附加试验阳性。马鞍区痛觉减退。
最主要的治疗措施是()。
A.卧硬床休息
B.牵引
C.硬脊膜外腔泼尼松注射
D.手术
E.激素,非甾体类抗炎药
点击查看答案
本题答案:D
本题解析:暂无解析
37、单项选择题 患者李某,上消化道大出血,乙肝"大三阳"。急救过程中,护士小张的手部被大量血液污染,此时,小张应()
A.反复洗手
B.用肥皂水浸泡双手
C.先洗手,再用手消毒剂搓洗2min
D.先用手消毒剂搓洗2min,再洗手
E.采用外科洗手消毒法
点击查看答案
本题答案:D
本题解析:当手部被大量微生物或强致病微生物污染时,应用消毒液揉搓消毒2min后,再用肥皂和流动水洗手。
38、单项选择题 邓先生在承租一店铺期间,由于营业需要,欲改变房屋的格局。在征得业主书面同意,经有关管理部门批准后开始施工。由于施工方法错误,导致房屋倒塌,业主()。
A.应向有关管理部门追讨损失
B.应向邓先生追讨损失
C.应向承建者追讨损失
D.自己承担损失
点击查看答案
本题答案:C
本题解析:暂无解析
39、单项选择题 按照市场行情约定价值的合同,合同履行时市场行情发生波动,则()。
A.价格上涨按原价格执行,价格下降按新价格执行
B.价格下降按原价格执行,价格上涨按新价格执行
C.无论上涨还是下降均按新价格执行
D.无论上涨还是下降均按原合同价执行
点击查看答案
本题答案:D
本题解析:暂无解析
40、单项选择题 多见于白喉杆菌性结膜炎属于()
A.滤泡性结膜炎
B.乳头性结膜炎
C.结膜肉芽肿
D.真膜形成
E.结膜溃疡
点击查看答案
本题答案:D
本题解析:暂无解析
41、单项选择题 我国药物不良反应监测报告系统组成不包括()
A.国家药品不良反应监测中心
B.省级中心监测报告单位
C.市级中心监测报告单位
D.县级中心监测报告单位
E.专家咨询委员会
点击查看答案
本题答案:D
本题解析:暂无解析
42、单项选择题 肠痈酿脓期的治则是:()
A.通腑泄热、解毒透脓
B.通腑排脓、养阴清热
C.行气祛瘀、通腑泄热
D.清热解毒、通腑排脓
E.通腹排脓、清利湿热
点击查看答案
本题答案:A
本题解析:暂无解析
43、单项选择题
男,40岁。因两个月来发热、咳嗽、气短入院。已用青霉素、环丙沙星等治疗2个星期,症状无缓解并出现发绀。既往有血友病史,多次输血制品。查体:T38.9℃,颈部、腋下可及直径约1cm左右的淋巴结,光滑无压痛,肺部可闻及湿性啰音。胸片显示间质性肺炎,血WBC4.0×109/L,多次血、痰培养无细菌生长。
治疗用药应首选()
A.泰能
B.复方磺胺异噁唑
C.链霉素
D.头孢曲松钠
E.万古霉素
点击查看答案
本题答案:B
本题解析:暂无解析
44、多项选择题 房地产经纪机构的战略实施过程,就是对其所有资源进行()的过程。
A.分类
B.整理
C.存档
D.调配
E.使用
点击查看答案
本题答案:A, B, D, E
本题解析:暂无解析
45、多项选择题 一般来讲,作为期货市场的上市品种,应该是()的商品。
A.市场容量大
B.拥有大量买主和卖主
C.价格受政府限制
D.易于标准化和分级
点击查看答案
本题答案:A, B, D
本题解析:一般来讲,作为期货市场的上市品种,应该是市场容量大、拥有大量买主和卖主、易于标准化和分级的商品。
46、单项选择题 先天性巨结肠患儿术前回流洗肠的目的如下,其中哪一项是最重要的()。
A.清除结肠内粪便
B.解除腹胀
C.减少中毒症状,治疗肠炎
D.改善营养状况
E.使扩张肠管恢复正常,便于术中决定切除范围
点击查看答案
本题答案:E
本题解析:暂无解析
47、单项选择题 中性粒细胞碱性磷酸酶活性明显降低的疾病是()
A.慢性粒细胞白血病
B.急性淋巴细胞白血病
C.骨髓纤维化
D.类白血病反应
E.慢粒合并感染者
点击查看答案
本题答案:A
本题解析:暂无解析
48、单项选择题 麻醉后出现中毒反应的原因是:()
A.个体差异
B.血液循环中局麻药浓度过高
C.麻醉后出现皮疹、结膜充血、面部浮肿
D.手术刺激强弱
E.神经损伤
点击查看答案
本题答案:B
本题解析:暂无解析
49、单项选择题 是经颅开眶和眶减压术的必经之路的眼眶壁为()
A.眶下壁
B.眶上壁
C.眶外侧壁
D.眶内侧壁和眶外侧壁
E.眶内侧壁
点击查看答案
本题答案:B
本题解析:暂无解析
50、多项选择题 保密和信任与以下几个方面有关()。
A.在献血者筛选和血液采集过程中
B.献血者记录
C.化验结果
D.同意书
E.信息的公布
点击查看答案
本题答案:A, B, D, E
本题解析:暂无解析
51、单项选择题 肾阳虚型带下病的治法是()
A.健脾益气,升阳除湿
B.温肾培元,固涩止带
C.益肾滋阴,清热止带
D.健脾益气,利湿止带
E.温补脾肾,利湿止带
点击查看答案
本题答案:B
本题解析:暂无解析
52、单项选择题 慢性浅表性胃炎的确诊方法是()
A.胃酸定量测定
B.上消化道X线检查
C.胃镜检查及胃黏膜活组织检查
D.超声波检查
E.细菌检查
点击查看答案
本题答案:C
本题解析:慢性浅表性胃炎病变限于胃小凹和黏膜固有层的表层。主要见于胃窦,也可见于胃体。确诊靠胃镜检查及胃黏膜活组织检查。胃镜检查无溃疡病灶,胃黏膜活组织检查为黏膜固有层的表层慢性炎症改变。故正确答案为C。
53、单项选择题 下列银行中,不属于商业银行的是()。
A.交通银行
B.招商银行
C.中国农业银行
D.中国农业发展银行
点击查看答案
本题答案:D
本题解析:暂无解析
54、多项选择题 某科技公司送检其生产的葛根黄酮软胶囊,内容物为黄褐色油状物;毒理学安全性实验已通过;规格:500mg/粒,80粒/瓶;推荐剂量:每日二次,每次2粒,检验要求:对化学性肝损伤(酒精性肝损伤)有辅助保护功能。
关于剂量分组及实验方法,叙述正确的是()
A.动物处死前无需禁食
B.以色拉油作为溶剂,配制成111mg/kg,333mg/kg,1000mg/kg三个剂量组
C.受试样品给予时间原则上不少于30天,必要时可适当缩短
D.给予受试样品结束时,用无水乙醇(分析纯)造模
E.实验至少应设三个剂量组,一个模型对照组和一个阳性对照组
F.实验至少应设三个剂量组,一个空白对照组和一个模型对照组
G.受试样品给予时间原则上不少于30天,必要时可适当延长
H.用无水乙醇(分析纯)造模成功后,分组给予受试样品
I.以水作为溶剂,配制成111mg/kg,333mg/kg,1000mg/kg三个剂量组
J.动物处死前需禁食
点击查看答案
本题答案:B, D, F, G, I, J
本题解析:暂无解析
55、单项选择题 抗生素后效应的英文缩写是()
A.MIC
B.MTC
C.MBC
D.PAE
E.PBE
点击查看答案
本题答案:D
本题解析:暂无解析
56、单项选择题 某国有农场奶粉厂受电变压器容量315kVA,该奶粉厂应按()电价计费。
A、农业生产
B、普通工业
C、大工业
D、非工业。
点击查看答案
本题答案:C
本题解析:暂无解析
57、单项选择题 有关外毒素的说法错误的是()
A.主要由革兰阳性菌产生
B.也可由革兰阴性菌产生
C.具有特异的组织亲和性
D.其成分为脂多糖
E.可经甲醛脱毒成类毒素
点击查看答案
本题答案:D
本题解析:暂无解析
58、单项选择题 软X线摄影最常用于()
A.骨骼
B.气管、支气管、肺
C.头颅
D.腹部
E.乳腺
点击查看答案
本题答案:E
本题解析:软X线摄影是X线特殊摄影的一种,主要是采用能发射较长波长X线的钼靶管球,其最主要的特点是显著提高软组织分辨力,因此主要用于软组织成像,特别是乳腺的成像。
59、单项选择题 肉瘤的内治治则为:()
A.宣肺调气、解郁散结
B.清火凉血、散瘀消肿
C.健脾宽中、解郁化痰
D.活血化瘀、舒筋散结
E.滋补肾气、化瘀消肿
点击查看答案
本题答案:C
本题解析:暂无解析
60、单项选择题 不具有磺酰胺基团的利尿药是()
A.乙酰唑胺
B.氢氯噻嗪
C.氯噻酮
D.呋塞米
E.依他尼酸
点击查看答案
本题答案:E
本题解析:暂无解析
61、单项选择题 房地产的需求量是有许多因素决定的,经常起作用的因素不包括()。
A.未来房地产的价格变化
B.消费者的收入
C.消费者对未来的预期
D.消费者的偏好
点击查看答案
本题答案:A
本题解析:暂无解析
62、单项选择题 气滞作痛的特点是()
A.游走性疼痛,无定处
B.攻痛无常,时感抽擎
C.皮色不红,不热
D.形势胀急,痛无止时
E.痛而硬,皮色不泽
点击查看答案
本题答案:B
本题解析:暂无解析
63、单项选择题 左侧舌咽神经麻痹,发"啊"时悬雍垂偏向何侧()
A.偏向左
B.偏向右
C.居中
D.不动
E.以上均不正确
点击查看答案
本题答案:C
本题解析:暂无解析
64、单项选择题 肉眼血尿的颜色与尿液酸碱性有关,下列哪项是正确的()
A.中性尿-尿呈棕裼色
B.弱碱性尿-尿呈烟灰色
C.酸性尿-尿呈洗肉水样
D.酸性尿-尿呈烟灰色
E.中性尿-尿呈烟灰色
点击查看答案
本题答案:D
本题解析:暂无解析
65、单项选择题 下列各项,不是表证临床表现的是()
A.恶寒发热
B.头身疼痛
C.鼻流清涕
D.咽喉痒痛
E.腹痛喜按
点击查看答案
本题答案:E
本题解析:暂无解析
66、单项选择题 下列哪种超敏反应性疾病的发生与补体有关()
A.过敏性休克
B.血清病
C.传染性超敏反应
D.接触性皮炎
E.支气管哮喘
点击查看答案
本题答案:B
本题解析:暂无解析
67、单项选择题& nbsp; 我国人民币汇率采取的标价方法是()。
A.美元标价法
B.双向报价法
C.直接标价法
D.间接标价法
点击查看答案
本题答案:C
本题解析:本题考查我国人民币汇率采取的标价方法。人民币汇率采取直接标价法。考点外汇与汇率
68、单项选择题 膳食调查的方法哪项应除外()
A.称量法
B.查账法
C.24h回顾法
D.日记法
E.化学分析法
点击查看答案
本题答案:D
本题解析:膳食调查不包括日记法。
69、单项选择题 某女性,纺织女工,年龄35岁。在某纺织厂从事纺纱和织布工作已10年以上。近来主诉耳鸣、听力下降等症状。
在询问病史时应考虑接触何种有害因素()
A.振动
B.噪声
C.化学染料
D.微波
E.射频辐射
点击查看答案
本题答案:B
本题解析:暂无解析
70、单项选择题 关于我国1996年颁布了(育龄妇女和孕妇的X射线检查放射卫生防护标准)(GB16349-1996)说法正确的是()
A.严格限制育龄妇女射线普查,如X射线摄影等,降低集体剂量
B.禁止对孕妇腹部检查,减少胚胎、胎儿受照危害
C.可以任意给孕妇检查
D.强制育龄妇女射线普查
E.只要要求,就应对育龄妇女或孕妇检查
点击查看答案
本题答案:A
本题解析:暂无解析
71、单项选择题 投资产业结构在经济发展水平较低时,()投资所占的比重较大。
A.第一产业
B.第二产业
C.第三产业
D.主导产业
点击查看答案
本题答案:A
本题解析:暂无解析
72、单项选择题 运用简单仪器进行肌力评定的前提是患者徒手肌力测定已达几级()
A.1
B.2
C.3
D.4
E.5
点击查看答案
本题答案:C
本题解析:暂无解析
73、不定项选择
患者,女性,58岁,因右侧肢体乏力2月入院,既往高血压、糖尿病病史。查体:神清,没有自发语言,嘱患者"抬手"等指令也不能配合,饮水呛咳,右侧肢体肌力2~3级,肌张力正常,可独坐,右侧病理征(+),头颅MRI提示左侧大脑中动脉供血区梗死灶。
该患者做录像吞咽造影时,有哪些注意事项()
A.不必备吸痰器,因该患者一般情况较好
B.向患者家属说明评定的目的
C.检查前准备好流质、半流质、固体食物
D.向患者家属交代检查可能出现的特殊情况:如呛咳、吸入性肺炎、窒息等
E.向患者家属说明评定的主要内容
点击查看答案
本题答案:B, C, D, E
本题解析:暂无解析
74、单项选择题 关于关节脱位特有体征的叙述,正确的是()
A.畸形、弹性固定、关节空虚
B.压痛、肿胀、瘀斑
C.畸形、反常活动、关节空虚
D.畸形、反常活动、弹性固定
E.肿胀、畸形、功能障碍
点击查看答案
本题答案:A
本题解析:一般表现:患处疼痛、肿胀、丧失活动功能;特殊表现:畸形、弹性固定、关节腔(盂)空虚。
75、单项选择题 下列各项中,不属于《素问·上古天真论》提出的养生方法是()
A.法于阴阳
B.谨和五味
C.起居有常
D.和于术数
E.不妄作劳
点击查看答案
本题答案:B
本题解析:暂无解析
76、单项选择题 低钾血症中哪一项论述是错误的:()
A.血清钾低于3.8mmol/L
B.钾丧失过多
C.钾摄入不足
D.心肌兴奋性增高
E.肠麻痹
点击查看答案
本题答案:A
本题解析:暂无解析
77、单项选择题 要想了解某种疾病在某一地区的危害情况,最初进行现况调查时,宜选用下列何种方法()
A.个案调查
B.抽样调查
C.普查
D.典型病例调整
E.住院病例调查
点击查看答案
本题答案:B
本题解析:要了解某种疾病在某地区的危害现况,首选采取抽样调查方法,以便推测对整个地区的危害现状。这种方法较为经济和有效。
78、单项选择题 氨基酸是组成蛋白质的基本单位,它们连接在一起是依靠()。
A.二硫键
B.共价键
C.氢键
D.肽键
E.离子键
点击查看答案
本题答案:D
本题解析:暂无解析
79、单项选择题 患者女,13岁,正在进行正畸治疗,医生建议她使用氟化凝胶防龋。医生叮嘱患者下次复诊时间是()
A.1周以后
B.3个月以后
C.半年以后
D.1年以后
E.不定时
点击查看答案
本题答案:C
本题解析:暂无解析
80、单项选择题 心排血量与下列无关的是()
A.动脉血压
B.心肌收缩能力
C.心率
D.前负荷
E.心房大小
点击查看答案
本题答案:E
本题解析:每搏排血量的调节:包括回心血量增加,心肌收缩力增强,心肌肥厚,心率增加。心房的大小对心搏出量没有影响。
81、单项选择题 视交叉病变可见()
A.双眼颞侧偏盲
B.单眼全盲
C.双眼同侧偏盲
D.双眼全盲
E.一致性的双眼同侧偏盲伴黄斑回避
点击查看答案
本题答案:A
本题解析:暂无解析
82、单项选择题 老李夫妇的女儿为备考音乐学院,每晚8点至10点在家练琴。楼下老张夫妇不堪其扰,多次与老李夫妇沟通遭拒,两家关系紧张。社区居委会调解委员会的陈阿姨得知情况后,主动调解。下列关于调解两家矛盾的说法,正确的是()。
A.老李夫妇要是不同意调解,陈阿姨不能调解
B.陈阿姨无须征求两家意见,可直接调解
C.一日达成调解协议,两家必须履行,不得反悔
D.老张若想通过法院起诉老李夫妇,必须先经过陈阿姨的调解
点击查看答案
本题答案:A
本题解析:暂无解析
83、单项选择题 ()是一级市场,是发行单位初次发售新债券的市场。
A.股票发行市场
B.股票流通市场
C.债券发行市场
D.债券流通市场
点击查看答案
本题答案:C
本题解析:暂无解析
84、单项选择题 对于急性扁桃体炎,下列物理治疗效果最佳的是()
A.红外线疗法+超短波疗法
B.紫外线疗法+超短波疗法
C.紫外线疗法+红外线疗法
D.直流电药物导入疗法+超短波疗法
E.紫外线疗法+直流电疗法
点击查看答案
本题答案:B
本题解析:对于急性炎症,紫外线疗法及超短波疗法效果最好,而红外线疗法、直流电药物导入疗法则对慢性炎症疗效较好。
85、单项选择题 资金时间价值是客观存在的,项目经济评价的核心技术是()。
A.效益
B.折现
C.风险
D.资金
点击查看答案
本题答案:B
本题解析:暂无解析
86、单项选择题 孙先生,37岁,诊断急性白血病1个月,血小板计数20×109/L,病程中突然出现剧烈头痛、喷射性呕吐,视物不清、意识模糊。
不正确的对症护理措施是()
A.置患者于平卧位,头偏一侧
B.头部敷热毛巾
C.高流量吸氧
D.迅速建立静脉通路,按医嘱用药
E.密切观察意识、瞳孔、生命体征
点击查看答案
本题答案:B
本题解析:暂无解析
87、单项选择题 急性泪囊炎治疗原则()
A.局部热敷
B.以上全是
C.切开排脓
D.局部滴抗生素眼液
E.全身用药
点击查看答案
本题答案:B
本题解析:暂无解析
88、多项选择题 设计总负责单位在()等方面对业主负责。
A.安全管理
B.竣工日期
C.设计进度
D.设计质量
E.总投资控制
点击查看答案
本题答案:C, D, E
本题解析:暂无解析
89、单项选择题 有关脾损伤的描述,错误的是()
A.可不出现出血性休克
B.有病理改变的脾脏更易破裂
C.脾破裂都要行脾切除
D.可出现左肩部放射痛
E.脾蒂损伤时应积极手术探查
点击查看答案
本题答案:C
本题解析:暂无解析
90、单项选择题 下列关于Crohn病的营养治疗原则,正确的一组是()。
A.低热能、低脂肪、低蛋白
B.高热能、高维生素、高蛋白
C.高热能、高脂肪、低蛋白
D.高热能、高脂肪、高糖类
E.低热能、高蛋白、低脂肪
点击查看答案
本题答案:B
本题解析:有活动性病变者,应卧床休息,给予合理的生活指导和精神鼓励,避免患者精神紧张、烦恼等不利因素,并注意加强营养、纠正代谢紊乱、改善贫血和低白蛋白血症。以前强调低脂肪、少渣饮食,但这种饮食反而影响久经病痛折磨者的食欲;而可口美味的食品使体重不再下降,实际上更有益于身心健康,这与高营养、高维生素和易消化的原则并不矛盾。宜补充多种维生素、叶酸以及铁、钙等矿物质,有时还应补充锌、铜和硒等元素,这些物质是体内酶类和蛋白质的组成成分,具有保护细胞膜的御毒作用。
91、单项选择题 下列关于肾病综合征疗程的说法中,不正确的是()
A.短程疗法给予泼尼松2mg/kg日,共4周,尿蛋白转阴后,改为间歇疗法
B.短程疗法全疗程共8周
C.中程疗法疗程6个月
D.长程疗法疗程9~12个月
E.中程疗法疗程7个月
点击查看答案
本题答案:E
本题解析:暂无解析
92、单项选择题 疮疡阳证可用()
A.玉露膏
B.风油膏
C.冲和膏
D.生肌玉红膏
E.生肌白玉膏
点击查看答案
本题答案:A
本题解析:暂无解析
93、单项选择题 桡骨远端骨化中心出现的时间()
A.4周
B.8周
C.6个月
D.12个月
E.1岁半
点击查看答案
本题答案:E
本题解析:暂无解析
94、单项选择题 下列疾病中最适用心理治疗的是()。
A.神经衰弱
B.抑郁症
C.躁狂症
D.精神分裂症
E.精神发育迟滞
点击查看答案
本题答案:A
本题解析:暂无解析
95、单项选择题 下列条件不能诊断为职业肿瘤的是()
A.有长期的职业接触史
B.临床症状明显
C.病理学检查有癌变
D.个体有肿瘤家族史
E.肿瘤发生部位符合理论观点
点击查看答案
本题答案:D
本题解析:暂无解析
96、单项选择题 肛门直肠疾病中重要的检查方法是()
A.直肠指诊
B.球头探针检查
C.肛门镜检查
D.乙状结肠镜检查
E.X线检查
点击查看答案
本题答案:A
本题解析:暂无解析
97、单项选择题 大多数化学物质在胃肠道的吸收方式主要是通过()
A.吞噬或胞饮
B.滤过
C.简单扩散
D.易化扩散
E.主动转运
点击查看答案
本题答案:C
本题解析:多数外源化学物在胃肠道的吸收是通过简单扩散。简单扩散是大多数外源化学物通过生物膜的方式。该转运方式不消耗能量,不需要载体,不受饱和限速与竞争性抑制的影响。
98、单项选择题 直线叫归分析中,以直线方程Y=0.004+0.0588X绘制出回归线,下列选项中正确的是()
A.所有实测点都应在回归线上
B.实测值与估计值差的平方和必小于零
C.回归直线X的取值范围为(-1,1)
D.所绘回归直线必过点(X,Y)
E.原点是回归直线与r轴的交点
点击查看答案
本题答案:D
本题解析:暂无解析
99、单项选择题 患者男,67岁。脑梗死1个月,右侧偏瘫,为进一步治疗入住康复科,患者既往高血压病史3年,冠心病1年,糖尿病2年。查体不能言语,交流障碍,失语症检查结果为感觉性失语,喝水呛咳,右侧肢体有能动功能障碍,肌张力增高。
就患者感觉性失语,其最佳训练内容项目是()
A.发音转换训练及句子转换训练
B.文字训练
C.呼名训练
D.手势训练
E.书写表达训练
点击查看答案
本题答案:B
本题解析:暂无解析
100、单项选择题 目前还未发现艾滋病可以通过下列哪种方式传播()
A.共用针头和注射器
B.医务人员被含血针头刺伤
C.应用病毒携带者的器官移植
D.人工授精
E.吸血昆虫
点击查看答案
本题答案:E
本题解析:暂无解析
101、单项选择题 脑膜炎球菌可经()
A.水及食物传播
B.飞沫传播
C.性传播
D.接触传播
E.虫媒传播
点击查看答案
本题答案:B
本题解析:不同传染病具有不同的传播途径,切断传播途径是防止传染病的重要举措。脑膜炎球菌通常寄居于正常人鼻咽腔,在约有5%~10%的健康人鼻咽部带有本菌,流行期高达20%~70%,带菌者和患者是传染源。脑膜炎球菌经飞沫传染,也可通过接触患者呼吸道分泌物污染的物品而感染;多种动物的生殖道或肠道有大量空肠弯曲菌,故可通过分娩或排泄物污染食物和饮水,人群普遍易感;沙眼衣原体是引起非淋菌性尿道炎的主要病原体,沙眼衣原体感染目前已是西方国家最常见的性传播疾病之一。
102、多项选择题 县级以上人民政府卫生行政部门对采供血活动履行的责则包括()
A.制定临床用血储存.配送管理办法,并监督实施;
B.对下级卫生行政部门履行本办法规定的血站管理职责进行监督检查;
C.对辖区内血站执业活动进行日常监督检查,组织开展对采供血质量的不定期抽检;
D.对辖区内临床供血活动进行监督检查。
点击查看答案
本题答案:A, B, C, D
本题解析:暂无解析
103、单项选择题 有关传染性软疣,错误的有()
A.可手术切除或激光治疗
B.临床上好发于睑缘,呈黄白色小结节,边界清楚,大小不一,直径为2~8mm
C.结节病变中央有凹陷,似脐,可以挤出凝乳状物,表皮可发生破溃
D.好发于青少年,由传染性软疣病毒感染而致
E.一般为多个病变,急性发病
点击查看答案
本题答案:E
本题解析:暂无解析
104、单项选择题
分析一种新药与常规用药的疗效时,计算χ2=4.72,P<0.05。且新药有效率比常规药高,故可认为()
A.假设新药与常规用药效果相同,而结论未接受假设,说错的可能性<5%
B.假设新药与常规用药效果相同,而结论未接受假设,说对的可能性<5%
C.假设新药与常规用药效果不同,而结论未接受假设,说对的可能性>5%
D.假设新药与常规用药效果不同,而结论未接受假设,说错的可能性>5%
E.以上都不对
点击查看答案
本题答案:A
本题解析:暂无解析
105、单项选择题 正常心尖搏动范围直径为()
A.2.0~2.5cm
B.2.5~3.0cm
C.1.5~2.0m
D.0.5~1.0cm
E.0.5~1.5cm
点击查看答案
本题答案:A
本题解析:正常心尖搏动范围直径为2.0~2.5cm。搏动一般位于第5肋间左锁骨中线内0.5~1.0cm。
106、配伍题 提早出现QRS波,时限为0.12s,其前无相关P波,其诊断是()。提早出现异位P’波,P’R间期大于0.12s,QRS波群形态正常,其诊断是()。
A.房性期前收缩
B.房性期前收缩未下传
C.交界性期前收缩
D.交界性逸搏
E.室性期前收缩
点击查看答案
本题答案:E,A
本题解析:试题答案E,A
107、单项选择题 下列抗病毒药物中,主要用于预防和治疗甲型流感病毒,对乙型流感病毒无效的是()
A.阿昔洛韦
B.齐多夫定
C.拉米夫定
D.奥司他韦
E.金刚烷胺
点击查看答案
本题答案:E
本题解析:暂无解析
108、单项选择题 某风湿性关节炎患者,女性,65岁。该患者长期服用非甾体抗炎药缓解症状,结果出现了慢性胃出血,前来医院就诊后,医师为其开具了胃黏膜保护药物米索前列醇。下列关于米索前列醇作用机制的叙述,正确的是()
A.降低胃蛋白酶分解胃壁蛋白的活性,促进溃疡面愈合
B.增加胃黏液和碳酸氢根离子的分泌,增加局部血流
C.抑制组胺、促胃液素和胃酸分泌,使胃酸下降
D.在胃的酸性环境下聚合成胶冻,覆盖溃疡面
E.与溃疡基底膜的坏死组织中的蛋白或氨基酸结合,形成保护膜
点击查看答案
本题答案:B
本题解析:暂无解析
109、多项选择题 下列属于控制客户信用风险行为的有()。
A.在客户不能按要求追加保证金时实行强行平仓
B.对客户资金来源情况进行详细调查,保证客户有足够的资金从事交易
C.将资信差、不符合期货投资要求的客户拒之门外
D.期货公司对客户规定了最大持仓限额,控制其交易规模
点击查看答案
本题答案:B, C, D
本题解析:控制客户信用风险行为包括:(1)对客户资金来源情况进行详细调查,保证客户有足够的资金从事交易,对那些资信差、不符合期货投资要求的客户拒之门外;(2)根据客户资信情况核对持仓限额,对客户规定最大持仓限额,控制其交易规模。A选项属于期货公司内部风险监控机制中的“严格执行保证金制度和追加保证金制度”的行为。
110、单项选择题 膳食中最常见的多不饱和脂肪酸是()
A.EPA(二十碳五烯酸)
B.DHA(二十二碳六烯酸)
C.油酸
D.亚油酸
E.亚麻酸
点击查看答案
本题答案:D
本题解析:暂无解析
111、单项选择题 每于经期头晕目眩,烦躁易怒,口干咽燥,舌红苔黄,脉弦细数,中医辨证为()
A.阴虚阳亢
B.血虚
C.脾虚夹痰
D.肝肾阴虚
E.血瘀
点击查看答案
本题答案:A
本题解析:暂无解析
112、单项选择题 一群孩子食用路边的烤串,半个小时候后,家长突然发现孩子的情况不对。原本活蹦乱跳的扬扬突然脸色发紫,气息加快,难受得直冒冷汗。不一会,还呕吐出了一大堆食物残渣,并且意识逐渐模糊。周遭路人说是"乌嘴病",家长焦急万分,赶紧拦下一辆出租车,送孩子前往医院抢救。
结合小孩的病史及临床表现,首先考虑为()
A.癫痫
B.急性胃炎
C.病毒感染
D.亚硝酸盐中毒
E.急性苯中毒
点击查看答案
本题答案:D
本题解析:暂无解析
113、单项选择题 男性,40岁,司机,肥胖,患痛风2年,出院后现无临床症状,血尿酸仍高,已上班。
糖类供给标准是()。()
A.占总能量的65%~70%
B.占总能量的60%~65%
C.占总能量的40%~45%
D.占总能量的75%~80%
E.占总能量的50%~55%
点击查看答案
本题答案:E
本题解析:暂无解析
114、单项选择题 何种毒物可致皮肤癌()
A.石棉和苯并A.芘
B.氯乙烯
C.联苯胺
D.二氧化硅
E.砷
点击查看答案
本题答案:E
本题解析:环境污染物苯并(a)芘可致肺癌。石棉为主要的工业毒物,可致肺癌及间皮瘤。水和土壤被砷污染可诱发居民的皮肤癌。
115、单项选择题 早产儿是指()
A.胎龄大于20周至37足周的新生儿
B.胎龄大于20周至37周的新生儿
C.胎龄大于28周至37周的新生儿
D.胎龄大于28周至小于37足周的新生儿
E.胎龄大于30周至小于37足周的新生儿
点击查看答案
本题答案:D
本题解析:暂无解析
116、单项选择题 患者男,17岁。2年前外伤后行气管内全麻下前路弹道清创缝合+后路C6椎板减压+后路弹道清创引流术。术后诊断:C6颈椎椎体及左侧椎弓根骨折,C6颈椎贯通伤。颈椎MRI检查报告为脊髓离断。目前该患者神志清醒,四肢关节活动度、肌张力均正常,双侧冈上肌、三角肌、肱二头肌肌力5级,肱三头肌肌力2级,腕背伸肌群肌力为3级,其余各上肢肌群及双下肢肌群肌力均为0级。
该患者长期卧床,易导致体位性低血压、下肢静脉血栓、肺部感染、褥疮等并发症,下列不能预防这些并发症的措施是()
A.电动起立床站立
B.关节被动活动
C.淋巴循环治疗
D.定时翻身
E.超短波治疗
点击查看答案
本题答案:E
本题解析:暂无解析
117、单项选择题 烂疔发病的主要原因是:()
A.皮肉破损
B.湿火内盛
C.感染毒气
D.外感热邪
E.瘀血停滞
点击查看答案
本题答案:C
本题解析:暂无解析
118、单项选择题 男,35岁。从事硝胺炸药生产工作达6年。患者诉双眼视力减退
防止中毒的防护措施有以下几方面,除了()
A.降低车间粉尘浓度
B.防止皮肤污染
C.及时清除皮肤污染
D.就业前体检
E.可根据经9:1酒精氢氧化钠溶液擦洗后是否变红,判断有无皮肤污染
点击查看答案
本题答案:E
本题解析:暂无解析
119、单项选择题 患者,男性,40岁,患有艾滋病。
患者发生鼻出血,护士将沾有患者血液的棉球放在弯盘中,弯盘用完后正确的处理方法是()
A.用含有效氯250mg/L的消毒剂浸泡消毒30min
B.用含有效氯500mg/L的消毒剂浸泡消毒30min
C.用含有效氯1000mg/L的消毒剂浸泡消毒30min
D.用0.1%过氧乙酸溶液浸泡消毒30min
E.用0.2%过氧乙酸溶液浸泡消毒30min
点击查看答案
本题答案:C
本题解析:暂无解析
120、单项选择题 建筑工人不慎坠楼,腰剧痛,双下肢感觉运动障碍,二便功能障碍。经X线平片检查,诊断为胸腰段屈曲型压缩骨折合并脊髓损伤。为进一步明确骨折片向椎管内的移位情况,下列哪项检查是最有价值的()
A.MRI
B.CT
C.ECT
D.脊髓造影
E.X线断层摄影
点击查看答案
本题答案:B
本题解析:暂无解析
121、单项选择题 优质流动性资产储备中二级资产的占比最高不得超过()。
A.20%
B.30%
C.40%
D.50%
点击查看答案
本题答案:C
本题解析:暂无解析
122、单项选择题 胞体直径12~20μm,圆形或椭圆形,胞核大,位于中央或偏位,核染色质开始聚集,核可见或消失。胞质量较多,呈淡蓝、蓝或深蓝色,浆内含紫红色非特异性的天青胺蓝颗粒。POX染色阳性。这是()
A.原粒细胞
B.早幼粒细胞
C.中幼粒细胞
D.幼单细胞
E.幼淋细胞
点击查看答案
本题答案:B
本题解析:暂无解析
123、单项选择题 属于发的是:()
A.委中毒
B.锁喉痈
C.流注
D.发颐
E.丹毒
点击查看答案
本题答案:B
本题解析:暂无解析
124、单项选择题 目前,临床常规配血试验应用何种实验方法()
A.盐水凝集试验
B.间接抗人球蛋白试验
C.Polybrene试验
D.酶试验
点击查看答案
本题答案:C
本题解析:暂无解析
125、单项选择题 肩关节旋外时正常活动度是()
A.0°~25°
B.0°~30°
C.0°~45°
D.0°~90°
E.0°~180°
点击查看答案
本题答案:D
本题解析:暂无解析
126、单项选择题 皮组织的恶变称为()
A.癌
B.肉瘤
C.母细胞瘤
D.瘤
E.病
点击查看答案
本题答案:A
本题解析:暂无解析
127、单项选择题 深层地下水()
A.污染机会少,自净作用差
B.污染机会少,自净作用强
C.污染机会多,自净作用差
D.污染机会多,自净作用强
E.污染机会无,自净作用无
点击查看答案
本题答案:A
本题解析:暂无解析
128、单项选择题 一中年妇女,喉结正中稍右有一半球形肿块如鸡蛋大,边界清楚,表面光滑,质地中等无压痛,皮色如常,随吞咽上下移动,多诊断为()
A.气瘿
B.肉瘿
C.石瘿
D.血瘿
E.筋瘿
点击查看答案
本题答案:B
本题解析:暂无解析
129、单项选择题 可诱发哮喘的降压药物是()
A.哌唑嗪
B.氢氯噻嗪
C.普萘洛尔
D.肼屈嗪
E.卡托普利
点击查看答案
本题答案:C
本题解析:暂无解析
130、单项选择题 男性,19岁。上腹间歇性隐痛1年,时有反酸,胃液分析示BAO/MAO<0.6,MAO42mmol/h。诊断为()
A.十二指肠溃疡
B.急性糜烂性胃炎
C.胃良性溃疡
D.胃淋巴瘤
E.胃泌素瘤
点击查看答案
本题答案:A
本题解析:暂无解析
131、单项选择题 现行《中小学校教室采光和照明卫生标准》规定,教室黑板面的平均照度为()
A.不应低于150lx
B.不应低于200lx
C.不应低于250lx
D.应当小于150lx
E.应当小于200lx
点击查看答案
本题答案:B
本题解析:暂无解析
132、单项选择题 对献血者的血液进行检测是由()进行。
A.体检医生
B.采血员
C.实验室人员
点击查看答案
本题答案:C
本题解析:暂无解析
133、单项选择题 患者女,25岁。3年来多次昏倒,数分钟后恢复。查体:坐位时,心尖区有舒张期隆隆样杂音,卧位时该杂音消失。最可能的诊断是()
A.左房黏液瘤
B.心脏神经症
C.肺源性心脏病
D.Austin-Flint杂音
E.风湿性心脏病二尖瓣狭窄
点击查看答案
本题答案:A
本题解析:暂无解析
134、单项选择题 可反映机体近期苯接触程度的指标是()
A.尿马尿酸
B.尿酚
C.尿甲基马尿酸
D.尿苯基硫迷氯酸
E.尿葡萄糖醛酸
点击查看答案
本题答案:B
本题解析:暂无解析
135、单项选择题 层流洁净手术室要求空气中的细菌总数()
A.≤10cfu/m3
B.≤100cfu/m3
C.≤200cfu/m3
D.≤500cfu/m3
E.≥500cfu/m3
点击查看答案
本题答案:A
本题解析:暂无解析
136、单项选择题 患者女性,40岁,双手近端指间关节痛2个月,晨僵,有时肿,伴不规则低热。体检面部及躯干有红斑或皮疹,双手近端指间关节有压痛,肿不明显,无畸形。X线检查无明显改变。血白细胞3..5×109/L,血小板72×109/L,尿蛋白30mg/dl,血沉32mm/第1小时末。
为确诊首要的检查是()
A.抗核抗体谱
B.C反应蛋白
C.HLA-B27
D.MIR
E.抗心磷脂抗体
点击查看答案
本题答案:A
本题解析:暂无解析
137、单项选择题 处方中Caps.的中文含义是()
A.糖浆剂
B.胶囊剂
C.注射剂
D.溶液剂
E.片剂
点击查看答案
本题答案:B
本题解析:暂无解析
138、单项选择题 大脑各功能区域成熟最晚的是()
A.枕叶
B.额叶
C.颞叶
D.顶叶
E.顶叶与枕叶
点击查看答案
本题答案:B
本题解析:暂无解析
139、填空题 彻底治疗慢性泪囊炎必须依靠()治疗。
点击查看答案
本题答案:手术
本题解析:试题答案手术
140、单项选择题 在超短波进行微热量治疗时,大功率治疗仪浅作用时电极皮肤间隙为()
A.1~2cm
B.2~3cm
C.3~4cm
D.4~5cm
E.5~6cm
点击查看答案
本题答案:C
本题解析:微热量治疗时,小功率治疗仪浅作用时电极皮肤间隙应为0.5~1cm,深作用时为2~3cm;大功率治疗仪浅作用时电极皮肤间隙应为3~4cm,深作用时为5~6cm。
141、单项选择题 治疗肾阴虚型崩漏的最佳方剂是()
A.左归丸合二至丸
B.保阴煎
C.固经丸
D.知柏地黄丸
E.清热固经汤
点击查看答案
本题答案:A
本题解析:暂无解析
142、单项选择题 根据癌痛五级评定法,需口服麻醉剂属于哪一级()
A.0
B.1
C.2
D.3
E.4
点击查看答案
本题答案:C
本题解析:根据应用镇痛剂的种类和方式,将癌痛分为0~4级,0级:不需任何镇痛剂;1级:需麻醉性镇痛剂;2级:需口服麻醉剂;3级:需口服和(或)肌内注射麻醉剂;4级:需静脉注射麻醉剂。
143、单项选择题 怀孕期间胎盘大量分泌的雌激素主要是()
A.雌酮
B.孕酮
C.β-雌二醇
D.雌三醇
E.以上都不是
点击查看答案
本题答案:B
本题解析:暂无解析
144、单项选择题 男性,59岁。肝硬化病史4年,查体见前胸2个直径1cm大小的红色斑块,呈辐射状血管网,用棉签压其中心,血管网消失。应诊断为()
A.瘀点
B.瘀斑
C.紫癜
D.玫瑰疹
E.蜘蛛痣
点击查看答案
本题答案:E
本题解析:皮肤小动脉末端分支性扩张所形成的血管痣,形似蜘蛛,称为蜘蛛痣。肝硬化多伴有蜘蛛痣。
145、单项选择题 免疫应答中持续时间最长的免疫球蛋白是:()
A.IgA.
B.IgE.
C.IgG
D.IgM
点击查看答案
本题答案:C
本题解析:暂无解析
146、单项选择题 某患者持续高热,腹胀,肝、脾大,伴有表情淡漠等表现,入院后诊断为伤寒。
病情缓解后,可选用()。
A.牛奶
B.豆浆
C.大豆
D.无渣软饭
E.普通饮食
点击查看答案
本题答案:D
本题解析:暂无解析
147、多项选择题 房地产经纪业务基本流程包括的环节主要有()。
A.售后服务
B.引领买方看房
C.代办抵押贷款手续
D.业务洽谈
E.业务开拓
点击查看答案
本题答案:A, B, D, E
本题解析:暂无解析
148、单项选择题 可以引起气管-支气管过敏反应,从而导致急性气管-支气管炎的是()
A.病毒
B.细菌
C.真菌孢子
D.刺激性气体
E.奴卡菌
点击查看答案
本题答案:C
本题解析:急性上呼吸道感染70%~80%是由病毒引起的。而致敏原花粉、有机粉尘、真菌孢子的吸入可以引起气管-支气管过敏反应,从而导致急性气管-支气管炎的发生。
149、单项选择题 肛管直肠周围脓肿常继发于()
A.肛裂
B.肛瘘
C.嵌顿性内痔
D.肛窦炎
E.直肠息肉继发感染
点击查看答案
本题答案:D
本题解析:直肠肛管周围脓肿是直肠下段或肛管周围软组织内或其周围间隙发生的急性化脓性感染,并形成脓肿。多数由肛腺感染引起。
150、单项选择题 关于设备监理与工程咨询的论述,下列说法正确的是()。
A.咨询成果一般采用口头形式交给客户
B.咨询成果与建设项目的最终结果一定直接相关
C.设备监理的工作成果是设备监理机构单方面决定的
D.设备监理工作必须通过承包商才能进行监督
点击查看答案
本题答案:D
本题解析:暂无解析
151、单项选择题 有关继发性结核发生的描述不正确的是()
A.继发性结核可以是内源性复发,也可以是外源性重染
B.内源性复发是指原发结核感染后重新活动而发生的结核病
C.外源性重染是指由于受到结核分枝杆菌的再感染而发病
D.继发性结核病痰涂片均为阳性
E.继发性结核病有传染性
点击查看答案
本题答案:D
本题解析:本题属理解判断题,中等难度。考查考生对继发性结核发生的理解。(1)人体初次感染结核分枝杆菌后可通过细胞介导的免疫系统对其产生特异性免疫,使其停止繁殖,原发病灶炎症迅速吸收或留下少量钙化灶,肿大的肺门淋巴结逐渐缩小、纤维化或钙化,播散到全身各器官的结核分枝杆菌大部分被消灭。但仍然可有少量结核分枝杆菌没有被消灭,长期处于休眠期状态,成为潜在病灶,在机体免疫功能下降时可重新生长繁殖发生结核病,这即为继发性结核可以内源性复发的基础,但也是可以外源性重染。同时由于继发性结核病容易出现空洞和排菌,有传染性,故A、B、C、E答案均可排除。(2)由于继发性肺结核的起病时间快慢不一,急性起病者,痰涂片检查阳性,但慢性起病者,临床症状不明显,痰涂片检查可阴性,因此D为正确答案。
152、不定项选择
45岁女性患者,1小时前劳动中突感头部剧烈疼痛,难以忍受,伴恶心,喷射性呕吐数次,入院查体:神志清,语利,颅神经查体未见明显异常,四肢肌力5级,脑膜刺激征阳性。
该患者的初步诊断最可能是()
A.脑血栓形成
B.蛛网膜下腔出血
C.脑出血
D.脑栓塞
E.血管性头痛
点击查看答案
本题答案:B
本题解析:暂无解析
153、单项选择题 房地产经纪人在与委托人约定订立合同时,利用委托人的不知情,订立有利于自己而不利于委托人合同的行为表现不包括()。
A.房地产经纪人因自己的履约能力不够,利用委托人对交易过程和成交方式的不熟悉,故意减少自己的义务以逃避责任
B.房地产经纪人为了避免自己发生违约影响佣金的收取,有意加大委托人的义务,以减少自己的风险
C.因委托人愿意支付的佣金数额不能满足自己的期望目标,订立合同时要求减少自己的义务
D.房地产经纪人利用自己的职业便利将房地产的买卖合同的内容与经纪合同的内容归纳在一个买卖合同或是概念含糊不清的交易合同内
点击查看答案
本题答案:D
本题解析:本题考核的是经纪服务合同的权利义务不等的具体表现。房地产经纪人在与委托人约定订立合同时,利用委托人的不知情,订立有利于自己而不利于委托人的合同,合同内容中存在明显的权利义务关系不等,对委托人不利或对委托人造成损害,也是房地产经纪行业发生较多的现象。具体表现为:(1)房地产经纪人因自己的履约能力不够,利用委托人对交易过程和成交方式的不熟悉,故意减少自己的义务以逃避责任;(2)房地产经纪人为了避免自己发生违约影响佣金的收取,有意加大委托人的 91EXAm.org义务,以减少自己的风险;(3)因委托人愿意支付的佣金数额不能满足自己的期望目标,订立合同时要求减少自己的义务。
154、多项选择题 公共物品需求表达方式中,个人通过政治机制显示公共物品需求的方法包括()。
A.通过全民公投方式,表达个人对公共物品的偏好
B.集资自行生产公共物品
C.通过市场购买产品来替代公共物品
D.迁移至私人物品供给水平更合意的区域生活
E.参与投票,选举代表选民的政治家执政,间接表达对公共物品的需求
点击查看答案
本题答案:A, E
本题解析:暂无解析
155、单项选择题 患者,男性,63岁,行纤维支气管镜检,3日后咳黄色黏痰,体温38.5~39℃。
该患者麻醉前不能使用的药物是()
A.利多卡因
B.哌替啶
C.地西泮
D.阿托品
E.苯巴比妥钠
点击查看答案
本题答案:D
本题解析:暂无解析
156、单项选择题 在建设项目财务分析中可计入无形资产原值的,除了技术转让费、商标权等以外,还包括()。
A.设备购置费
B.商誉
C.开发研究费
D.研究准备费
点击查看答案
本题答案:B
本题解析:暂无解析
157、多项选择题 争议的解决方式是当事人解决合同纠纷的()。
A.手段
B.效率
C.途径
D.水平
E.效果
点击查看答案
本题答案:A, C
本题解析:暂无解析
158、单项选择题 患者女,45岁。间歇性发作咽下困难3个月,伴反酸、胃灼热,可因情绪波动诱发。食管造影未见异常。
对上述诊断最有帮助的检查是()
A.食管pH监测
B.胸部CT
C.胃镜检查
D.食管动力检查
E.食入食管滴酸实验
点击查看答案
本题答案:A
本题解析:暂无解析
159、单项选择题 不需要治疗的无症状细菌尿患者是()
A.老年人
B.学龄前儿童
C.妊娠期妇女
D.肾移植者
E.曾出现有症状感染者
点击查看答案
本题答案:A
本题解析:无症状细菌尿是一种隐匿型尿路感染。即患者有细菌尿而无任何尿路感染症状。老年人无症状细菌尿可不予以治疗,因为治疗与否与寿命无关,而题中其他几种情况均应予以治疗。
160、单项选择题 何种疾病为地球化学性地方病()
A.血吸虫病
B.地方性砷中毒
C.水俣病
D.痛痛病
E.尘肺
点击查看答案
本题答案:B
本题解析:地球化学性地方病:由于地球表面各种化学元素分布不均匀,造成某一地区的水和土壤中某种元素过多或不足或比例失调,从而引起各种地方病。自然疫源性地方病:这种地方病为由微生物和寄生虫引起的一类传染性地方病,例如鼠疫、森林脑炎等。
161、单项选择题 动脉导管未闭的主要病变是()。
A.卵圆孔未闭
B.肺动脉狭窄
C.肺动脉与降主动脉间的胎儿循环未闭合
D.大动脉转位
E.主动脉骑跨
点击查看答案
本题答案:C
本题解析:此题考核动脉导管未闭的病理改变。动脉导管位于肺动脉与降主动脉之间,为胎儿循环的主要通道。生后动脉导管闭合,形成动脉导管韧带。导管如未闭合,则主动脉与肺动脉间存在左向右分流。故正确答案为C,其余答案为其他先天性心脏病的病理变化。
162、单项选择题 下列均为舌菌的诱因,除了:()
A.口腔卫生不良
B.口腔粘膜白斑
C.长期吸烟
D.经久不愈的溃疡
E.假牙长期刺激
点击查看答案
本题答案:C
本题解析:暂无解析
163、单项选择题 6岁男孩,右腹股沟肿物2年,于平卧时消失,站立时出现,哭闹时更加明显,用手可回纳入腹腔,透光试验阴性,可能诊断是()。
A.右侧精索鞘膜积液
B.股疝
C.腹股沟直疝
D.腹股沟斜疝
E.右侧隐睾
点击查看答案
本题答案:D
本题解析:暂无解析
164、单项选择题 5月,沪铜期货10月合约价格高于8月合约。铜生产商采取了“开仓卖出2000吨8月期铜,同时开仓买入1000吨10月期铜”的交易策略。这是该生产商基于()做出的决策。
A.计划8月卖出1000吨库存,且期货合约间价差过大
B.计划10月卖出1000吨库存,且期货合约间价差过小
C.计划8月卖出1000吨库存,且期货合约间价差过小
D.计划10月卖出1000吨库存,且期货合约间价差过大
点击查看答案
本题答案:C
本题解析:开仓卖出2000吨8月期铜,同时开仓买入1000吨10月期铜"的交易要把它拆分为两笔:一笔是单边开仓卖出1000吨8月期铜,另外一笔是卖出1000吨8月期铜同时开仓买入1000吨10月期铜的反向套利。这么操作的原因是想在8月卖出1000吨现货,现在期货价格比较理想,先通过期货市场做卖出1000吨的套期保值。10月合约价格虽然高于8月合约,但小于正常升水值,期货合约间价差过小,所以做一笔是卖出1000吨8月期铜同时开仓买入1000吨10月期铜的反向套利。
165、单项选择题 用量角器测量关节活动范围时,量角器移动臂的正确放置方法为()
A.与构成关节的远端骨长轴平行
B.与构成关节的近端骨长轴平行
C.与构成关节的远端骨长轴垂直
D.与构成关节的近端骨长轴垂直
E.与关节轴心垂直
点击查看答案
本题答案:A
本题解析:暂无解析
166、单项选择题 以下哪种脑出血的发病率最高()
A.脑动静脉畸形(AVM)
B.动脉瘤
C.高血压脑出血
D.血友病
E.脑转移瘤卒中
点击查看答案
本题答案:C
本题解析:暂无解析
167、单项选择题 急性外伤性幕上硬膜外血肿最具诊断价值的临床表现()
A.双侧瞳孔不等大
B.双侧瞳孔对光反射迟钝
C.一侧肢体瘫痪
D.颈项强直
E.意识障碍有中间清醒期
点击查看答案
本题答案:E
本题解析:暂无解析
168、单项 选择题 双眼视轴交叉,物像的视觉方向不交叉的为()
A.交叉复视
B.同侧复视
C.混淆视
D.复视
E.以上都不正确
点击查看答案
本题答案:B
本题解析:暂无解析
169、单项选择题 Roger病的缺损直径为()
A.小于5mm
B.大于5mm
C.小于10mm
D.大于10mm
E.大于15mm
点击查看答案
本题答案:A
本题解析:暂无解析
170、单项选择题 根据《现金管理暂行条例》规定,下列经济业务中,不能用现金支付的是()。
A、支付职工资金5000元;
B、支付零星办公用品购置费800元;
C、支付物质采购货款1200元;
C、支付职工差旅费2000元。
点击查看答案
本题答案:C
本题解析:暂无解析
171、单项选择题 信用社要定期或不定期对固定资产进行全面的盘点、清查,每年不得少于()。
A、四次
B、三次
C、二次
D、一次
点击查看答案
本题答案:D
本题解析:暂无解析
172、单项选择题 投资机会研究的内容重点是()。
A.投资政策
B.市场调查
C.投资环境的分析
D.税收政策
点击查看答案
本题答案:C
本题解析:暂无解析
173、单项选择题 “比类合谊,以见指撝,武信是也”是许慎给“六书”中哪一种所下的定义()
A.象形
B.指事
C.会意
D.形声
点击查看答案
本题答案:C
本题解析:暂无解析
174、单项选择题 有机磷农药中毒引起的迟发性神经病,多发生在急性中毒病情恢复后多长时间()
A.1年以后
B.2~3个月
C.2~3天
D.半年
E.2~3周
点击查看答案
本题答案:E
本题解析:暂无解析
175、单项选择题 某一城市的A开发企业开发一项房地产项目,该项目的现金流量情况如下表。假设开发商要求的基准收益率为10%,请分析回答下列问题:年份0123现金流入量00300800现金流出量907001000单位:万元
根据以上资料,该项目的净现值为()万元。
A.49.98
B.39.98
C.59.98
D.29.98
点击查看答案
本题答案:B
本题解析:暂无解析
176、单项选择题 下列哪种运动创伤后不宜立即用冷敷()。
A.裂伤
B.拉伤
C.扭伤
D.挫伤
E.以上都不宜用
点击查看答案
本题答案:A
本题解析:暂无解析
177、多项选择题 对于正截面出现裂缝的试验结构构件可采用下列方法确定开裂荷载实测值()
A、放大镜观察法
B、荷载挠度曲线判别法
C、连续布置应变计法
D、回弹法E、人眼目测法
点击查看答案
本题答案:A, B, C
本题解析:暂无解析
178、单项选择题 可乐定的降压作用不包括()
A.为中枢性降压药
B.伴心率加快、心排出量增多
C.伴心率减慢
D.减少心排出量
E.静注先升后降
点击查看答案
本题答案:B
本题解析:暂无解析
179、单项选择题 下列何种试验可特异性地检出尿中的葡萄糖()
A.Benedict法
B.rubner法
C.Bial法
D.seliwanoff法
E.葡萄糖氧化酶法
点击查看答案
本题答案:E
本题解析:暂无解析
180、单项选择题 诊断ITP最有价值的实验室检查是下列哪一项()
A.血小板体积增大
B.骨髓巨核细胞增生
C.血小板转换率加快
D.血小板表面相关Ig增高
E.血小板循环免疫复合物增高
点击查看答案
本题答案:C
本题解析:暂无解析
181、单项选择题 不能升高血糖的激素有()
A.肾上腺素
B.胰高糖素
C.胰岛素
D.生长激素
E.糖皮质激素
点击查看答案
本题答案:C
本题解析:升高血糖的激素有肾上腺素、胰高糖索、糖皮质激素、生长激素,而胰岛素可以降低血精,所以C答案错误。
182、单项选择题 在中医发病学中,不属于与发病有关的外环境因素是()
A.地域因素
B.气候因素
C.精神状态
D.生活环境
E.工作环境
点击查看答案
本题答案:C
本题解析:气候因素、地域因素、生活环境、工作环境因素是发病的外环境。
183、单项选择题 对于铁道部集中缴纳的营业税税额,统一规定按()缴纳城市维护建设税。
A.5%
B.10%
C.15%
D.20%
点击查看答案
本题答案:A
本题解析:暂无解析
184、单项选择题 3岁患儿,6月发病,症见全身疲倦,饮食不振,嗜卧懒言,大便不调,应诊断为:()
A.疰夏
B.夏季热
C.厌食
D.小儿暑温
E.疳证
点击查看答案
本题答案:A
本题解析:暂无解析
185、单项选择题 脓液恶臭,普通细菌培养阴性的是()
A.金黄色葡萄球菌
B.铜绿假单胞菌
C.拟杆菌
D.β溶血性链球菌
E.大肠埃希菌
点击查看答案
本题答案:C
本题解析:暂无解析
186、单项选择题 肘关节屈曲提起一桶水,肱二头肌的收缩形式是()
A.等长收缩
B.向心性收缩
C.离心性收缩
D.无收缩
E.紧张收缩
点击查看答案
本题答案:B
本题解析:当肘关节屈曲提起一桶水时肱二头肌长度逐渐变短,张力逐渐增加,所以为向心性收缩。
187、多项选择题 下列各种试验方法中,不属于静力试验的是()
A.循环加载
B.弹簧和螺旋千斤顶机械加载
C.利用惯性力激振加载
D.地震模拟振动台加载
E.电磁式激振加载
点击查看答案
本题答案:A, C, D, E
本题解析:暂无解析
188、单项选择题 品牌与商标是极易混淆的一对概念,关于他们的表述,正确的是()。
A.产品进行商标注册后就成了品牌
B.商标是品牌的一部分,是品牌中便于消费者识别的标志和名称部分
C.品牌掌握在企业手中,而商标掌握在消费者的手中
D.当消费者不再重视某个企业的品牌,该品牌仍旧具有其价值
点击查看答案
本题答案:B
本题解析:本题考核的是品牌与商标的概念。品牌与商标是极易混淆的一对概念,一部分企业错误地认为产品进行商标注册后就成了品牌。事实上,两者既有联系,又有区别。一方面商标是品牌的一部分,是品牌中便于消费者识别的标志和名称部分。但品牌的内涵远不止于此,品牌不仅仅是一个易于区分的名称和符号,更是一个综合的象征,需要赋予其形象、个性和生命力。另一方面,商标是一种法律概念,主要具有法律作用,通过商标专用权的确立、转让、争议、仲裁等法律程序,保护商标所有者的合法权益,同时促使生产经营者保证商品质量,维护商标信誉。此外,商标掌握在企业手中,而品牌掌握在消费者的手中,当消费者不再重视某个企业的品牌,该品牌就一无所值了。
189、单项选择题 开放式基金是根据()划分的证券投资基金的种类。
A.基金单位是否可增加或赎回
B.组织形态的不同
C.投资对象的不同
D.资本来源和运用地域的不同
点击查看答案
本题答案:A
本题解析:暂无解析
190、单项选择题 患者女,68岁。头痛,头晕,胸闷。查体:BP200/110mmHg,无意识障碍及肢体活动障碍。该患者最可能的诊断为()
A.脑出血
B.高血压
C.脑炎
D.冠心病
E.心肌病
点击查看答案
本题答案:B
本题解析:高血压病是指在静息状态下动脉收缩压和(或)舒张压增高(≥140/90mmHg),患者可出现头痛、眩晕、耳鸣,可伴有恶心、呕吐、心悸气短、失眠、肢体麻木等症状。
191、单项选择题 人类有组织的活动基本分两种类型,其中,项目是指一种非常规性、非重复性、()的任务,通常有确定的目标和确定的约束条件。
A.一次性
B.多次性
C.确定性
D.不确定性
点击查看答案
本题答案:A
本题解析:暂无解析
192、多项选择题 工作者要在间老人前做好一些辅助工具等,()属于会谈的辅助工具。
A.老花镜
B.助听器
C.纸
D.录音机
E.笔
点击查看答案
本题答案:A, B, C, E
本题解析:暂无解析
193、单项选择题 男,23岁。近2个月来食量较前增加、情绪激动、体重略有下降。因昨夜大量饮用可乐,晨起后发现四肢不能移动。该患者出现上述情况首先应考虑()
A.甲亢性低钾麻痹
B.重症肌无力
C.脑室出血
D.脑栓塞
E.脊髓空洞症
点击查看答案
本题答案:A
本题解析:患者有食量较前增加、情绪激动、体重略有下降,临床上考虑甲亢的可能,甲亢合并低钾性麻痹常见。
194、单项选择题 紫外线损伤可引起()
A.雪盲
B.日光性视网膜病变
C.放射性视神经病变
D.吹玻璃工人白内障
E.视网膜出血
点击查看答案
本题答案:A
本题解析:暂无解析
195、单项选择题 女性,32岁,反复腰痛、尿频、尿痛3天。尿常规:WBC30~40/HP,RBC20~30/HP。中段尿培养有细菌生长。肾脏B超:双侧肾可见与肾锥体分布一致的强回声团,呈放射状排列,见多个小结石。1年前IVP示:双侧肾脏见多数囊肿和扩张的小管,肾锥体被造影剂充盈,出现不规则阴影,呈花束状。考虑诊断是()
A.多囊肾、肾结石、尿路感染
B.髓质海绵肾、肾结石、尿路感染
C.多囊肾、肾结石、肾盂肾炎
D.肾积水、肾结石、逆行性尿路感染
E.髓质囊性病、肾结石、合并泌尿系感染
点击查看答案
本题答案:B
本题解析:髓质海绵肾的肾髓质集合管呈囊状扩张,X线腹部平片可见成簇的多发结石,肾小管浓缩和酸化功能受损。
196、单项选择题 双侧瞳孔直接对光反应存在,间接对光反应消失,提示病变部位是()
A.双侧视神经
B.同侧动眼神经
C.对侧视神经
D.双侧动眼神经
E.视交叉
点击查看答案
本题答案:D
本题解析:瞳孔对光反应的传入是视神经,传出是动眼神经的交感神经纤维。
197、单项选择题 双生子研究提示,在决定近视发生的个体差异中受环境因素影响的比例是()。
A.20%
B.25%
C.35%
D.40%
E.50%
点击查看答案
本题答案:C
本题解析:暂无解析
198、单项选择题 患者女,36岁。5年前诊断为甲状腺功能亢进,抗甲状腺药物治疗后症状完全缓解,已停药1年。近半个月来出现心慌、多汗、手抖。测定T3、T4水平升高。双眼突出明显,突眼度左18mm,右21mm。甲状腺二度肿大,下列哪项治疗方案不妥()
A.继续抗甲状腺药物治疗
B.口服抗甲状腺药物+甲状腺片
C.131I治疗
D.暂不考虑手术治疗
E.口服抗甲状腺药物+普萘洛尔+甲状腺片
点击查看答案
本题答案:C
本题解析:暂无解析
199、单项选择题 运动员进行30min以上的运动时,不正确的是()
A.能量全部来自有氧代谢
B.糖类供能比例减少
C.脂肪供能比例减少
D.氨基酸供能比例增加
E.应适量补充糖类
点击查看答案
本题答案:C
本题解析:暂无解析
200、单项选择题 不同类型的失语症,在选择课题设计难度上,其成功率应是()
A.60%~70%水平以上
B.70%~80%水平以上
C.60%~80%水平以上
D.70%~90%水平以上
E.80%~90%水平以上
点击查看答案
本题答案:D
本题解析:暂无解析
题库试看结束后
微信扫下方二维码即可打包下载完整版《★
这一页是题
1、单项选择题 以上心室率可快可慢可规则也可不规则的是()
A.心房扑动
B.房颤
C.阵发性室上性心动过速
D.阵发性室性心动过速
E.窦性心动过缓
点击查看答案
本题答案》题库
手机用户可保存上方二维码到手机中,在微信扫一扫中右上角选择“从相册选取二维码”即可。 题库试看结束后微信扫下方二维码即可打包下载完整版《》题库,分栏、分答案解析排版、小字体方便打印背记!经广大会员朋友实战检验,此方法考试通过率大大提高!绝对是您考试过关的不二利器!
手机用户可 保存上方二维码到手机中,在 微信扫一扫中右上角选择“从 相册选取二维码”即可。
|