手机用户可
保存上方二维码到手机中,在
微信扫一扫中右上角选择“从
相册选取二维码”即可。
1、问答题 简述网络操作系统的作用。
点击查看答案
本题答案:网络操作系统是使网络上各计算机能方便而有效地共享网络资源,为
本题解析:试题答案网络操作系统是使网络上各计算机能方便而有效地共享网络资源,为网络用户提供所需的各种服务的软件和有关规则的集合。
2、判断题 临时用电期限除经供电企业准许外,一般不得超过一年。()
点击查看答案
本题答案:错
本题解析:暂无解析
3、问答题 终端的定期巡视和检查包括哪些内容?
点击查看答案
本题答案:①定期巡视和检查以外观、环境、功能、电源检查为主,并不定期将
本题解析:试题答案①定期巡视和检查以外观、环境、功能、电源检查为主,并不定期将主控站操作记录与现场动作记录核对;
②不定期从现场取回预置参数与主控站预置参数核对,以检查信道的运行情况;
③对单向定量器终端要定期取回用电参数送主控站,以备主控站输入使用。
4、问答题 变更用电的内容有哪些?并说明变更用电的过程。
点击查看答案
本题答案:有下列情况之一者,为变更用电:
(1)减少合
本题解析:试题答案有下列情况之一者,为变更用电:
(1)减少合同约定的用电容量(简称减容);
(2)暂停止全部或部分受电设备的用电(简称暂停);
(3)临时更换大容量变压器(简称暂换);
(4)移动用电计量装置安装位置(简称移表);
(5)迁移受电装置用电地址(简称迁址);
(6)暂时停止用电并拆表(简称暂拆);
(7)改变用户名称(简称更名或过户);
(8)一户分列为两户及以上的用户(简称分户);
(9)两户及以上用户合并为一户(简称并户);
(10)合同到期终止用电(简称销户);
(11)改变供电电压等级(简称改压);
(12)改变用电类别(简称改类)。
用户需要变更用电时,应事先提出申请,并携带有关证明文件,到供电企业用电营业场所办理手续,变更供用电合同。
5、判断题 配电网载波通信衰耗主要发生在由于阻抗变化而形成的回波衰耗上。()
点击查看答案
本题答案:对
本题解析:暂无解析
6、问答题 绘图题:写出图E-56中①、②、③、④所指符号的含义。
点击查看答案
本题答案:①为安装单位编号;
②为设备顺序号;
本题解析:试题答案①为安装单位编号;
②为设备顺序号;
③为设备文字符号;
④为设备端子号。
7、单项选择题 根据拓扑结构的不同,计算机网络一般可分为()。
A.对等式、专用服务器和主从式三种结构;
B.令牌网、以太网;
C.总线型、星型和环型三种结构;
D.局域网、广域网、城域网。
点击查看答案
本题答案:C
本题解析:暂无解析
8、单项选择题
在计算线路电压损失公式:
中QX项前的符号是()。
A.感性负荷时为正,容性负荷为负;
B.感性、容性负荷均取正;
C.感性负荷时为负,容性负荷为正;
D.感性、容性负荷均取负。
点击查看答案
本题答案:A
本题解析:暂无解析
9、单项选择题 电波在自由空间中传播时有()现象。
A.反射;
B.折射;
C.吸收;
D.直射。
点击查看答案
本题答案:D
本题解析:暂无解析
10、判断题 高压负荷开关应与高压熔断器配合使用。()
点击查看答案
本题答案:对
本题解析:暂无解析
11、判断题 配电网载波通信中,各条线路上都必须串接阻波器。()
点击查看答案
本题答案:错
本题解析:暂无解析
12、判断题 在电力系统中,用户侧的管理也叫需求侧管理,英文缩写为DSM。()
点击查看答案
本题答案:对
本题解析:暂无解析
13、判断题 Windows9x提供了对长文件名的支持,但不可以在文件名中使用空格。()
点击查看答案
本题答案:错
本题解析:暂无解析
14、单项选择题 按照数据模型,Foxpro是()。
A.层次型数据库管理系统;
B.关系型数据库管理系统;
C.网状型数据库管理系统;
D.混合型数据库管理系统。
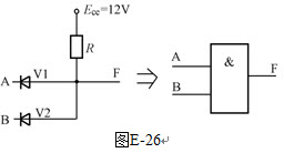
点击查看答案
本题答案:B
本题解析:暂无解析
15、单项选择题 无线频道间隔为25kHz的负控系统,其最大允许频偏为()。
A.±2kHz;
B.±3kHz;
C.±4kHz;
D.±5kHz。
点击查看答案
本题答案:D
本题解析:暂无解析
16、问答题 影响产品质量的因素可分为哪两大类?
点击查看答案
本题答案:影响产品质量的因素可分为两大类:
(1)技术
本题解析:试题答案影响产品质量的因素可分为两大类:
(1)技术方面的,即机器、材料和工艺;
(2)人方面的,即操作者、班组长和其他人员。
在这两类因素中,人的因素最重要。
17、判断题 判断载流导体周围磁场的方向用左手定则。()
点击查看答案
本题答案:错
本题解析:暂无解析
18、单项选择题 工频电力负荷控制系统的信号传输频率受()限制。
A.调制方式;
B.器件极限;
C.工频频率;
D.数据处理能力。
点击查看答案
本题答案:C
本题解析:暂无解析
19、单项选择题 在自由空间传播条件下,电波传播的路径损耗与()有关。
A.工作频率;
B.发射机的输出功率;
C.天线的增益;
D.天线的有效高度。
点击查看答案
本题答案:A
本题解析:暂无解析
20、问答题 绘图题:画出高频电缆衰耗特性测量接线图。
点击查看答案
本题答案:如图E-58所示。
试题答案如图E-58所示。

2 1、单项选择题 在低压带电作业时,要搭接或断开导线,应遵循()。
A.断开时先断相线,搭接时先接相线;
B.断开时先断相线,搭接时先接地线;
C.断开时先断地线,搭接时先接地线;
D.断开时先断地线,搭接时先接相线。
点击查看答案
本题答案:B
本题解析:暂无解析
22、判断题 目前,电力负荷控制系统的终端和当地的多功能电能表之间,大多采用RS485接口进行串行通信,实现远方抄表。()
点击查看答案
本题答案:对
本题解析:暂无解析
23、问答题 绘图题:画出脉冲电能表的工作系统框图。
点击查看答案
本题答案:如图E-61所示。
试题答案如图E-61所示。

24、单项选择题 局域网络结构分()层。
A.5;
B.6;
C.7;
D.8。
点击查看答案
本题答案:C
本题解析:暂无解析
25、问答题 供用电合同的概念是什么?其作用是什么?
点击查看答案
本题答案:供用电合同是指供电方(供电企业)根据用户的需要和电网的
本题解析:试题答案供用电合同是指供电方(供电企业)根据用户的需要和电网的可供能力,在遵守国家的法律、行政法规,符合国家供用电政策和计划要求的基础上,与用电方(用户)签定的明确双方在供用电活动中的权利和义务的协议。
供用电合同的签定,对保护供用电双方的合法权益,维护正常的供用电秩序,明确双方权利、义务和经济责任,促进经济发展有着重要的作用。
26、判断题 网络协议是计算机网络的语言,最常用的网络协议包括IPX/SPX、TCP/TP以及NetBEUI()
点击查看答案
本题答案:对
本题解析:暂无解析
27、问答题 已知一包括400台各类终端的负控系统,7月份各类终端月累计停用台时数为28867.2台•时,试问该系统本月月可用率A为多少?该系统该项指标是否满足实用化验收要求?
点击查看答案
本题答案:A=100%-各类终端停用台时数之和(台•时)/
本题解析:试题答案A=100%-各类终端停用台时数之和(台•时)/[各类终端装用总台数(台)×全月日历时间(h)]×100%=100%-28867.2/(400×31×24)×100%=90.3%
本月可用率为90.3%,该月月可用率小于98%,故该项指标不满足实用化验收要求。
28、单项选择题 当过电压继电器电压大于动作值时,衔铁被吸持(),继电器动作。
A.动合触点闭合;
B.动合触点断开;
C.动断触点闭合;
D.动断触点断开。
点击查看答案
本题答案:A
本题解析:暂无解析
29、判断题 微机系统中,最重要的,且危害最严重的干扰来源于电源的污染。()
点击查看答案
本题答案:对
本题解析:暂无解析
30、问答题 绘图题:已知正弦电压
,画出示意图。
点击查看答案
本题答案:如图E-29所示。
试题答案如图E-29所示。

31、判断题 并网运行的用户发电机,其检修时间应安排在电网负荷较低的时期。()
点击查看答案
本题答案:对
本题解析:暂无解析
32、问答题 试论述负荷管理终端的计量、保护双回路负荷监测防窃电原理及优点。
点击查看答案
本题答案:(1)正常用电时,计量回路的负荷曲线与保护回路的负荷曲线的幅
本题解析:试题答案(1)正常用电时,计量回路的负荷曲线与保护回路的负荷曲线的幅值,变化趋势应基本一致。
(2)若计量回路负荷曲线相对保护回路负荷曲线幅度变小,则说明计量回路异常,若有一定规律性异常幅度变动(相对保护回路),则认为窃电可能性很大。
(3)该方式防动态窃电行为,有判断准确、通过远传发现及时的优点。
33、判断题 Windows9x提供的系统监测器,主要用于监视硬盘空间的占用情况。()
点击查看答案
本题答案:错
本题解析:暂无解析
34、判断题 金属不同,但规格、绞向相同的导线可在同一档距内连接。()
点击查看答案
本题答案:错
本题解析:暂无解析
35、判断题 焊炬停止使用时,应先关闭乙炔调节阀,然后关闭氧气调节阀
点击查看答案
本题答案:对
本题解析:暂无解析
36、单项选择题 载波信号在配电网中的传输,由于(),必然会产生反射波。
A.阻抗的存在;
B.分支线多;
C.变压器的影响;
D.阻抗的不匹配。
点击查看答案
本题答案:D
本题解析:暂无解析
37、判断题 电网中的输电、变电和配电系统,是将电源生产的电能,可靠地、高效地送到负荷中心或地区,并分配给电力用户使用。()
点击查看答案
本题答案:对
本题解析:暂无解析
38、问答题 数据库系统主要由哪些部分组成?并说明本单位负荷管理系统采用何种数据库?
点击查看答案
本题答案:一个数据库系统是由数据、软件、硬件和人员组成的一个集合体。
本题解析:试题答案一个数据库系统是由数据、软件、硬件和人员组成的一个集合体。
39、单项选择题 在不影响高压设备的低压电气设备上工作,应()。
A.填用第一种或第二种工作票;
B.填用第一种工作票或按命令执行;
C.填用第二种工作票或按命令执行;
D.用第一种或第二种工作票,或者按命令执行。
点击查看答案
本题答案:C
本题解析:暂无解析
40、问答题 图D-7中,R=4Ω,XL=9Ω,XC=6Ω,电源电压U=100V,试求电路中的电压和电流相位差及电阻、电感、电容上的电压UR、UL及UC。
点击查看答案
本题答案:已知U=100V,XL=9Ω,XC=6&O
本题解析:试题答案已知U=100V,XL=9Ω,XC=6Ω,R=4Ω。由此得出
电路的电抗X=XL-XC=9-6=3(Ω)
电路的阻抗
则电路中的电流I=U/Z=100/5=20A
电压和电流的相位差
=arctg(X/Z)=arctg3/4=36°87′
电阻上的电压UR=IR=20×4=80(V)
电感上的电压UL=I•XL=20×9=180(V)
电容上的电压UC=I•XC=20×3=60(V)
电压和电流的相位差为36°87′,UR为80V、UL为180V、UC为60V。
41、判断题 Windows9x中的控制面板可用于更改计算机设置。()
点击查看答案
本题答案:对
本题解析:暂无解析
42、问答题 说出无线电负荷控制系统的主站系统软件维护的注意事项。
点击查看答案
本题答案:(1)不要随意更改主机的系统时间,以免打乱整个系统的正
本题解析:试题答案(1)不要随意更改主机的系统时间,以免打乱整个系统的正常工作;
(2)操作员口令应保密,以免无关人员破坏整个系统;
(3)万一出现死机现象要分析是什么原因,是否系统软件运行的软、硬件环境出现故障,然后重新执行系统软件;
(4)定期做好计算机病毒检查工作,保证系统正常运行;
(5)若出现系统故障先询问系统制作者,切忌随意改动控制软件代码。
43、单项选择题 无线电力负荷控制的电波信号主要依赖()传播。
A.天波;
B.地波;
C.直射波;
D.绕射波。
点击查看答案
本题答案:C
本题解析:暂无解析
44、判断题 视在功率即不是有功功率也不是无功功率。()
点击查看答案
本题答案:对
本题解析:暂无解析
45、单项选择题 DOS命令分内部与外部命令,下面属于内部命令的是()。
A.FORMAT
B.XCOPY
C.DISKCOPY
D.TYPE
点击查看答案
本题答案:D
本题解析:暂无解析
46、问答题 绘图题:指出图E-24是什么电路,当XL=XC时电路是什么性质,将发生什么?
点击查看答案
本题答案:①R-L-C并联电路;
②整个电路呈电阻性;
本题解析:试题答案①R-L-C并联电路;
②整个电路呈电阻性;
③并联谐振。
47、判断题 二次侧为双绕组的电流互感器,其准确度等级高的二次绕组应供计量用。()
点击查看答案
本题答案:对
本题解析:暂无解析
48、问答题 简述产生电磁场的根本原因及电磁波传播规律。
点击查看答案
本题答案:电流是产生磁场的根本原因,即交变电流的周围必然产生交变的磁场
本题解析:试题答案电流是产生磁场的根本原因,即交变电流的周围必然产生交变的磁场。
电磁波传播的规律就是变化的磁场产生变化的电场,变化的电场产生变化的磁场。
49、问答题 一只U为110V,P为8W的指示灯,若将它接到380V的电源上使用,试计算应串联的电阻值和功率?
点击查看答案
本题答案:(1)由已知条件计算出指示灯的电阻为
R=U2/
本题解析:试题答案(1)由已知条件计算出指示灯的电阻为
R=U2/P=110×110/8=1512.5(Ω)
(2)设被串联电阻为R1,其端电压为U1,所以
U1=380-110=270(V)
(3)指示灯和串联电阻的电流为
I=P/U=8/110=0.073A.
(4)串联电阻
R1=U1/I=270/0.073=3712. 5(Ω)
(5)串联电阻的功率为
P1=U1I=270×0.073=19.71(W)
应串联的电阻值为3712.5Ω、功率为19.71W。
50、单项选择题 执行STORECTOD(‘07/01/99’)TOA,变量A的类型为()。
A.日期型;
B.字符型;
C.逻辑型;
D.数值型。
点击查看答案
本题答案:A
本题解析:暂无解析
51、单项选择题 当数传电台处于正常状态下(即终端未接到主台命令,也未向主台发数据的状态),()。
A.发射机、接收机均处于等待状态;
B.发射机处于等待状态,接收机处于接收状态;
C.发射机处于发射状态,接收机处于等待状态;
D.发射机处于发射状态,接收机处于接收状态。
点击查看答案
本题答案:B
本题解析:暂无解析
52、问答题 绘图题:画出无线电负荷控制系统构成框图(此答案谨供参考,标准答案以本单位为准)。
点击查看答案
本题答案:如图E-59所示。
试题答案如图E-59所示 。

53、问答题 在全面质量管理原理中质量的含义是什么?
点击查看答案
本题答案:在全面质量管理原理中质量的含义是指“最适合
本题解析:试题答案在全面质量管理原理中质量的含义是指“最适合于一定顾客的要求”,这些要求是:
(1)产品的实际用途;
(2)产品的售价。
54、问答题 电气安全用具如何分类?怎样维护、试验和保管?
点击查看答案
本题答案:电气安全用具一般分为绝缘安全用具和非绝缘安全用具两类。 <
本题解析:试题答案电气安全用具一般分为绝缘安全用具和非绝缘安全用具两类。
试验、保管安全用具时应做到:
(1)绝缘棒应垂直存放、架在支架上或吊挂在室内,不要接触墙壁;
(2)绝缘手套、绝缘鞋应定位存放在柜内,应与其他工具分开;
(3)安全用具的橡胶制品不能与含油类的油脂接触,存放的环境温度不能过热或过冷;
(4)验电器用后应存放在匣内,置于干燥处,防止积灰和受潮;
(5)存放安全用具的地点应有明显的标志,“对号入座”,做到存取方便;
(6)安全用具绝不可移作它用;
(7)使用前检查有无损坏;
(8)应定期进行试验。
55、问答题 继电保护的作用有哪些?
点击查看答案
本题答案:继电保护的主要作用是:
(1)当电力系统发生足以
本题解析:试题答案继电保护的主要作用是:
(1)当电力系统发生足以损坏设备或危及电网安全运行的故障时,继电保护使故障设备迅速脱离电网,以恢复电力系统的正常运行。
(2)当电力系统出现异常状态时,继电保护能及时发出警报信号,以便运行人员迅速处理,使之恢复正常。
56、问答题 绘图题:说出图E-28属何种反馈。
点击查看答案
本题答案:图E-28为电流并联负反馈。
本题解析:试题答案图E-28为电流并联负反馈。

57、判断题 性能良好的接收机灵敏度都在1V以下。()
点击查看答案
本题答案:错
本题解析:暂无解析
58、问答题 简述配电所操作电源的种类及选用原则。
点击查看答案
本题答案:(1)当大型配电所装有电动操作机构的断路器时,应采用220V
本题解析:试题答案(1)当大型配电所装有电动操作机构的断路器时,应采用220V或110V蓄电池作为合、分闸直流操作电源;当装有弹簧储能操动机构的断路器时,宜采用小容量电池装置作为合、分闸操作电源。
(2)当中型配电所装有电磁操作机构的断路器时,合闸电源宜采用硅整流,分闸电流可采用小容量镉电池装置或电容储能。对重要负荷供电时,合分闸电源宜采用镉电池装置。当装有弹簧储能操作机构的断路器时,宜用小容量镉电池装置或电容储能或硅整流装置作为合、分闸操作电流。采用硅整流作为电磁操作机构合闸电源时,应该核实整流合闸能力,保证断路器正常时合闸。
(3)小型配电所宜采用弹簧储能操作机构合闸和分闸的全交流操作。
59、问答题 通常将计算机系统软件分为哪六类?
点击查看答案
本题答案:通常将系统软件分为六类:
操作系统、语言处理程序
本题解析:试题答案通常将系统软件分为六类:
操作系统、语言处理程序、标准程序、服务性程序、数据库管理系统及计算机网络软件。
60、问答题 需求侧管理的目标是什么?
点击查看答案
本题答案:(1)通过负荷管理技术,改变用户的用电方式,降低电网的最大负
本题解析:试题答案(1)通过负荷管理技术,改变用户的用电方式,降低电网的最大负荷,做到节约用电,合理用电,提高电力系统设备利用率,延缓电厂建设,减少大气排放等,以取得社会经济效益和环境效益。
(2)通过用户采用先进技术和高效设备,提高终端用电效率,减少电量消耗,取得节省电量、移峰填谷、减少电费支出的效益。
61、问答题 绘图题:画出10kV线路过电流保护原理图,并根据该原理图画展开图。
点击查看答案
本题答案:如图E-57所示。
试题答案如图E-57所示。

62、问答题 一个C为100μF的电容器,接入频率f为50Hz,电压U为220V的交流电源上,电压瞬时表达式u=
×220sin(3140t+30°),写出该电路的电压和电流瞬时值表达式。
点击查看答案
本题答案:电容器的容抗为
XC=1/(2πfC.
本题解析:试题答案电容器的容抗为
XC=1/(2πfC.=106/(2×3.14×50×100)=31.9(Ω)
电路中的电流
I=U/XC=220/31.9=6.9A.
电压瞬时值表达式
u=
×220sin(3140t+30°)
由于纯电容电路中,电流超前电压90°
则电流的初相角为
=30°+90°=120°
电流瞬时值表达式为
i=
×6.9sin(3140t+120°)
u=
×220sin(3140t+30°),i=
×6.9sin(3140t+120°)。
63、问答题 绘图题:图E-60为一用户的计量电压互感器的接线,指出它属于什么接法,并说明优缺点。
点击查看答案
本题答案:它属于V,v接法。
优点:
既能节
本题解析:试题答案它属于V,v接法。
优点:
既能节省一台电压互感器,又可满足三相有功、无功电能表和三相功率表所需的线电压。
缺点:
1)不能测量相电压;
2)不能接入监视系统绝缘状况的电压表;
3)总输出容量仅为两台容量之和的
倍。
64、单项选择题 在无线电力负荷控制系统中,采用纠错技术,不会()。
A.改善信道的通信质量;
B.抵御无线电通信中突发干扰;
C.提高数据传输效率;
D.影响系统的实时性。
点击查看答案
本题答案:D
本题解析:暂无解析
65、判断题 音频电力负荷控制技术是利用无线电波作为信息的传输媒介。()
点击查看答案
本题答案:错
本题解析:暂无解析
66、问答题 图D-8为三只电容器混联的电路图,已知:U=600V,C=12μF,C2=6μF,C3=30μF,试求等值电容C为多大?总电量Q和能量W为多大?各分电压U1,U2,U3为多大?
点击查看答案
本题答案:已知电源电压U=600V,C1=12μF,C2=
本题解析:试题答案已知电源电压U=600V,C1=12μF,C2=6μF,C3=30μF。由此得出
(1)C′=C2//C3=C2+C3=6+30=36(μF)
其等值电容为
C=C1•C′/(C1+C′)=12×36/(36+12)=9(μF)
总电量

(2)由于电容器串联时,每个电容器上的电量相等,同时等于总电量。故

(3)能量W=
CU2=
×9×10-6×6002=1.62(J)
(4)由此得C1,C2,C3上的电压为

C为9μF,Q为5.4×10-3C,W为1.62J,U1为450V,U2、U3为150V。
67、问答题 计算机的I/O设备与主机之间为什么要采用接口进行连接?
点击查看答案
本题答案:主要有以下三方面的原因:
一是输入设备大多数是机
本题解析:试题答案主要有以下三方面的原因:
一是输入设备大多数是机电设备,传送数据的速度远远低于主机,因而需用接口作数据缓冲。
二是输入设备表示的信息与主机不同,因此,需用接口进行信息格式的转换。
三是接口还可以向主机报告设备运行的状态,传达主机的命令等。
68、单项选择题 A~(D)不属于电网低频运行造成的是()。
A.电厂机组突然甩负荷运行;
B.电时钟减慢;
C.电厂出力下降;
D.汽轮机叶片振动加大。
点击查看答案
本题答案:A
本题解析:暂无解析
69、问答题 某滚珠轴承厂,年用电量A约为609.5万kWh,其最大有功负荷年利用小时数Tmax为5300h,求该厂最大负荷Pmax是多少?
点击查看答案
本题答案:Pmax=A/Tmax=6095000/5300=1150(
本题解析:试题答案Pmax=A/Tmax=6095000/5300=1150(kW)
该厂最大负荷为1150kW。
70、问答题 当用户终端的上行无线电信号场强较弱时,通常采用什么措施?
点击查看答案
本题答案:当上行信号场强较弱时,主要在终端采用的措施有:
本题解析:试题答案当上行信号场强较弱时,主要在终端采用的措施有:
①提高终端天线架设高度;
②采用低损耗高频电缆或高增益天线;
③提高电台发射功率,否则,采用中继通信。
71、问答题 供电质量指什么?电能质量指什么?
点击查看答案
本题答案:供电质量是指电能质量和供电可靠性。电能质量是指电压、频
本题解析:试题答案供电质量是指电能质量和供电可靠性。电能质量是指电压、频率和波形的质量。
电能质量主要指标包括电压偏差、电压波动和闪变、频率偏差、谐波(电压谐波畸变率和谐波电流含有率)和电压不对称度。
72、单项选择题 信噪比的表示方式是()。
A.S/N;
B.D/U;
C.NF;
D.C/N。
点击查看答案
本题答案:A
本题解析:暂无解析
73、判断题 电流速断保护的动作电流应按躲过最大负荷电流整定。()
点击查看答案
本题答案:错
本题解析:暂无解析
74、问答题 电力工业生产和建设的基本方针是什么?事故调查的指导思想又是什么?
点击查看答案
本题答案:安全第一,预防为主,是电力工业生产和建设的基本方针。发生事故
本题解析:试题答案安全第一,预防为主,是电力工业生产和建设的基本方针。发生事故时应立即进行调查分析,要做到事故原因不清楚不放过,事故责任者和应受教育者没有受到教育不放过,没有采取防范措施不放过。
75、问答题 什么是负荷率?提高负荷率主要方法有哪些?什么是配电网的日负 荷率,日负荷率与负荷性质的关系如何?
点击查看答案
本题答案:平均负荷与最高负荷的比率,称为负荷率。
提高负荷
本题解析:试题答案平均负荷与最高负荷的比率,称为负荷率。
提高负荷率主要方法有:
统一安排轮流周休日;统一安排上下班时间;实行避峰用电,用户内部调荷等方法。
配电网的日负荷率,即配电网日平均负荷(Pav)与日最高负荷(Pmax)的比值,一般用γ表示。它反映一日之内配电网负荷变动的情况,是配电网的运行特征之一。
日负荷率与负荷性质的关系:
配电网的日负荷率因负荷性质的不同而异。工业用电负荷与行业性质、生产方式、生产班制、工艺用电、动力用电所占比重有关。电冶、化学工业、石油工业的生产过程在一昼夜间是连续的,负荷很均匀,几乎不受任何外来因素的影响,其γ值一般在0.9以上。其他工业用户的负荷受企业的生产轮班制度影响较大,一班制工业用电负荷的日负荷率最小,两班、三班制的相对较大。建材、造纸、纺织等工业用电的γ值一般为0.8~0.9;机械制造、仪器等工业用电负荷的γ值一般为0.6~0.7;城市生活用电负荷的日负荷率与城市人民生活水平有关,商业、文化、福利事业发达,日负荷率就越高。中国城市生活用电负荷的γ值一般为0.3~0.4。交通运输业用电负荷的γ值一般为0.4左右,其中电气化铁路负荷较均匀,γ值一般为0.7左右。农村用电负荷γ值一般均很低。中国目前农村工业大多为一或两班制生产,γ制一般在0.6左右,而农业排灌随季节影响变化较大,冬季负荷的γ值一般为0.1~0.2,夏季却高达0.9以上。
76、问答题 已知接收机的误码率Pe=10-5时,载噪比C/N=14dB,噪声系数NF=20dB,求接收机最低输入电平pmin?
点击查看答案
本题答案:pmin=-162+NF+C/N=-162+20+14=-1
本题解析:试题答案pmin=-162+NF+C/N=-162+20+14=-128(dB.
接收机最低输入电平-128dB。
77、单项选择题 系统处于静态状态下,若主站电台CD、RD灯常亮或常闪烁,故障不会是()。
A.主站电台常发;
B.终端有常发;
C.有同频干扰源;
D.电台静噪电路有开启。
点击查看答案
本题答案:A
本题解析:暂无解析
78、问答题 某户室内装一日光灯照明,见图D-9,U=220V,f=50Hz,日光灯的功率P=20W,开灯后,电路中通过的电流I=0.3A,试求L及功率因数的值,如果要将该电路的功率因数提高到0.85,需并联多大的电容器?
点击查看答案
本题答案:因P=I2R
试题答案因P=I2R

L为2.23H,cos
为0.303,需并联0.52μF的电容器。
79、判断题 带电作业的监护人监护的范围不得超过两个作业点。()
点击查看答案
本题答案:错
本题解析:暂无解析
80、问答题 试论述中继通信和终端转发通信的各自特点(优、缺点)。
点击查看答案
本题答案:中继通信需多占用一对频率资源和中继站设备投资,适合较大通信障
本题解析:试题答案中继通信需多占用一对频率资源和中继站设备投资,适合较大通信障碍,且有较多用户终端需通过中继站通信的场合,中继通信的时间滞后对系统工作影响不大,可忽略不计。
终端转发通信几乎不用增加投资,适合终端分布较散乱的场合,缺点是转发通信时需增加通信时间。
81、单项选择题 负荷控制终端中,主板送入调制解调器的信号有()。
A.数据信号、载波检测信号(CD.;
B.数据信号、数据准备发送信号(RTS);
C.CD信号、RTS信号;
D.数据信号、CD信号及RTS信号。
点击查看答案
本题答案:B
本题解析:暂无解析
82、单项选择题 “2FSK”中的2表示()。
A.一种信号;
B.两路信号;
C.二进制信号;
D.2个FSK。
点击查看答案
本题答案:C
本题解析:暂无解析
83、单项选择题 电源A、B、C加于电感式相序指示器相应的端钮时左灯亮右灯暗,相序正确为正相序。若将电源B、C、A相加于该相序指示器A、B、C端钮时应()。
A.左灯亮右灯暗;
B.左灯暗右灯亮;
C.两灯均亮;
D.两灯均暗。
点击查看答案
本题答案:A
本题解析:暂无解析
84、单项选择题 当开机后终端无任何指示灯亮时应检查()。
A.220V电源是否接好;
B.交流熔断器是否熔断;
C.稳压电源输出是否正常;
D.A.~C.三项。
点击查看答案
本题答案:D
本题解析:暂无解析
85、问答题 进行电力电量预测要收集哪些资料?有几种方法?
点击查看答案
本题答案:应收集资料是:
(1)产量、产值;
本题解析:试题答案应收集资料是:
(1)产量、产值;
(2)单耗;
(3)企业用电申请;
(4)新增用电情况;
(5)过去和现在的用电实际资料;
(6)产品、产业结构等可能变化情况和采用新技术、新工艺情况;
(7)能源政策;
(8)气候情况;
(9)市政用电及生活照明等主要用电资料。
预测方法有单耗法、经验统计法和合成法,这三种方法常结合使用,互相核对。
86、判断题 在接低压三相三线有功电能表时,如果A、B相电压对调,即三相电压错接为BAC,将会导致电能表停走。()
点击查看答案
本题答案:对
本题解析:暂无解析
87、单项选择题 按照工作许可制度规定,在工作中要变更安全措施需经过()同意。
A.工作负责人;
B.工作许可人;
C.工作负责人和工作许可人;
D.工作人员和工作许可人。
点击查看答案
本题答案:C
本题解析:暂无解析
88、判断题 在微型计算机中,二进制数-0.1011的原码为0.1011。()
点击查看答案
本题答案:错
本题解析:暂无解析
89、单项选择题 在单桥式整流电路中,若一个二极管极性接反了,则()。
A.仍是全波整流;
B.是半波整流;
C.1/4波整流;
D.没输出波。
点击查看答案
本题答案:D
本题解析:暂无解析
90、判断题 110kV以上电压等级的系统以防护内部过电压为主。()
点击查看答案
本题答案:对
本题解析:暂无解析
91、单项选择题 在双向负控终端中,调制解调器的作用是将信号与话音分离,并将信号()。
A.按规定的频率发送和接收;
B.按规定的副载频调制和解调;
C.按规定的接口电平和调解;
D.按规定的传输协议发送和接收。
点击查看答案
本题答案:B
本题解析:暂无解析
92、单项选择题 邻道辐射功率是指发信机在额定调制状态下,总输出功率落在邻道频率接收带宽内的功率电平,一般要求它比载波功率电平低()以上。
A.50dB;
B.60dB;
C.70dB;
D.80dB。
点击查看答案
本题答案:C
本题解析:暂无解析
93、单项选择题 在()方式的电力负荷控制设备的安装中会用到高频电缆。
A.音频和载波;
B.音频和无线;
C.载波和无线;
D.音频、载波及无线。
点击查看答案
本题答案:C
本题解析:暂无解析
94、单项选择题 按GB288-1982《计算机场机地技术要求》的规定,直流接地电阻和防雷保护接地电阻最小值分别为()。
A.4Ω,4Ω;
B.4Ω,10Ω;
C.10Ω,4Ω;
D.10Ω,10Ω。
点击查看答案
本题答案:B
本题解析:暂无解析
95、问答题 绘图题:画出分立元件与门电路。
点击查看答案
本题答案:如图E-26所示。
试题答案如图E-26所示。

96、单项选择题 规约帧的传输格式是()。
A.11位同步传输;
B.8位同步传输;
C.异步传输、高位先发;
D.异步传输、低位先发
点击查看答案
本题答案:D
本题解析:暂无解析
97、单项选择题 场强是指接收天线上的无线电波的能量密度,场强的大小与()有关。
A.工作频率;
B.接收天线的极化方式;
C.发射天线的辐射功率;
D.接收天线的形式。
点击查看答案
本题答案:C
本题解析:暂无解析
98、判断题 在两端供电的线路上,合闸时电网的频率和两端供电电源频率相同时,即称为同期。()
点击查看答案
本题答案:错
本题解析:暂无解析
99、单项选择题 如图A-1所示电路,只增加交流电的频率时,()灯亮度增强。
A.LH1;
B.LH2;
C.LH3;
D.LH1、LH2、LH3。
点击查看答案
本题答案:A
本题解析:暂无解析
100、单项选择题 对设备的保养应贯彻()的方针。
A.预防为主;
B.维护为主;
C.修理为主;
D.检查为主。
点击查看答案
本题答案:A
本题解析:暂无解析
101、判断题 在音频电力负荷控制系统中,回检信号主要是检验指令编码发送到电网后与用户终端发出的指令编码是否一致。()
点击查看答案
本题答案:错
本题解析:暂无解析
102、问答题 在全面质量管理原理中,质量控制包括哪四个步骤?
点击查看答案
本题答案:在“质量控制”这一环节中,“控制”一词表示一种管理手段,包括
本题解析:试题答案在“质量控制”这一环节中,“控制”一词表示一种管理手段,包括四个步骤:
(1)制订质量标准;
(2)评价标准的执行情况;
(3)偏离标准时采取的纠正措施;
(4)安排改善标准的计划。
103、单项选择题 5类双绞线是目前网络布线的主流,其最高传输频率是()。
A.20Mb/s;
B.100Mb/s;
C.125Mb/s;
D.200Mb/s。
点击查看答案
本题答案:B
本题解析:暂无解析
104、判断题 电网频率的波动是由于电网负荷变化而引起的。当负荷过重时,频率升高,负荷过轻时,频率降低。()
点击查看答案
本题答案:错
本题解析:暂无解析
105、问答题 计算机中央处理器(CPU)由哪些单元组成?
点击查看答案
本题答案:中央处理器由运算器(算术逻辑单元、通用寄存器组、程序寄存器、
本题解析:试题答案中央处理器由运算器(算术逻辑单元、通用寄存器组、程序寄存器、销存器、移位器)和控制器(程序计数器、指令寄存器、指令译码器、地址译码器、微操作产生部件、时序发生器)组成。
106、单项选择题 在定义数据库结构时,一般对每个字段需要说明()。
A.记录名、类型、宽度和小数位数;
B.记录、操作和存储;
C.字段名、类型、宽度和小数位数;
D.关系、元组和属性。
点击查看答案
本题答案:C
本题解析:暂无解析
107、问答题 列举接收机、发射机各三个主要技术指标及合格数值范围。
点击查看答案
本题答案:接收机:
①可用灵敏度≤1μV(20dB信纳比)
本题解析:试题答案接收机:
①可用灵敏度≤1μV(20dB信纳比);
②调制接收带宽≥±5kHz;
③邻道选择性≥70dB。
发射机:
①发射输出功率5~25W;
②频率稳定度≤5×10-6;
③最大频偏≤±5kHz。
108、判断题 接线组别不同的变压器不能并列运行。()
点击查看答案
本题答案:对
本题解析:暂无解析
109、单项选择题 在音频电力负荷控制系统中,音频脉冲有串联和并联两种注入方法,串联和并联两种注入使用的分别是()。
A.较小信号,较大信号;
B.较低频率,较高频率;
C.较大信号,较小信号;
D.较高频率,较低频率。
点击查看答案
本题答案:B
本题解析:暂无解析
110、问答题 绘图题:画出简单的晶体管放大电路图。
点击查看答案
本题答案:如图E-27所示。
试题答案如图E-27所示。

111、问答题 什么叫同频道干扰?它在无线电负荷控制系统中有何影响?
点击查看答案
本题答案:凡是其他信号源发送出来与有用信号的频率相同,并以同样的方式进
本题解析:试题答案凡是其他信号源发送出来与有用信号的频率相同,并以同样的方式进入中频通带的干扰,都称为同频道干扰;由于同频道干扰信号与有用信号同样被放大及检波,因而其结果会由于两个电台的载频差而造成差拍干扰,或者由于两个电台的调制度不同而引起失真干扰,或者由于有用信号与干扰信号的相位差而引起失真干扰,或者调制度虽然相同,但由于载频差、调制信号的相位差以及信号大小不同等因素的共同影响而造成干扰。干扰信号越大,接收机输出的信噪比越小。
112、问答题 试述利用负荷管理系统实现“远方抄表”的基本条件。
点击查看答案
本题答案:(1)为了保证读表数据的唯一性,被远测的电表应是智能型并具有
本题解析:试题答案(1)为了保证读表数据的唯一性,被远测的电表应是智能型并具有数据通信接口的电表(常见为RS-485接口)。
(2)负荷管理终端应有相应的数据通信接口。
(3)终端与电表应遵循相同的“通信规约”。
113、问答题 绘图题:指出图E-25是什么电路?
点击查看答案
本题答案:图E-25为功率总加器电路。
本题解析:试题答案图E-25为功率总加器电路。

114、问答题 数据库管理软件的主要目标是什么?
点击查看答案
本题答案:主要目标是使一个组织或企业(用户)改善它的数据资源的使用与控
本题解析:试题答案主要目标是使一个组织或企业(用户)改善它的数据资源的使用与控制,并使得在利用数据库系统进行数据处理时,具有共享性、易用性、可扩展性、数据完整性、数据安全性以及应用系统的易开发性。
115、问答题 在网络系统中,何谓客户/服务器(Cilent/Server)运行模式?
点击查看答案
本题答案:所谓客户/服务器运行模式是指:
服务器检查是
本题解析:试题答案所谓客户/服务器运行模式是指:
服务器检查是否有客户要求服务的请求,在满足客户的请求后将结果返回;客户(可以为一个应用程序或一个服务器)如果需要系统的服务,就发出请求服务的信息传递给服务器,服务器执行相应的操作,并将其结果通过内核返回客户。
题库试看结束后
微信扫下方二维码即可打包下载完整版《
★电力负荷控制员》题库
手机用户可保存上方二维码到手机中,在微信扫一扫中右上角选择“从相册选取二维码”即可。
题库试看结束后
微信扫下方二维码即可打包下载完整版《
电力负荷控制员:电力负荷控制员技师》题库,
分栏、分答案解析排版、小字体方便打印背记!经广大会员朋友实战检验,此方法考试通过率大大提高!绝对是您考试过关的不二利器!
手机用户可
保存上方二维码到手机中,在
微信扫一扫中右上角选择“从
相册选取二维码”即可。