手机用户可
保存上方二维码到手机中,在
微信扫一扫中右上角选择“从
相册选取二维码”即可。
1、单项选择题 发生接地故障时人体距离接地体越近,跨步电压越高,越远越低,一般情况下距离接地体()m跨步电压视为零。
A.10以内;
B.20以外;
C.30;
D.40。
点击查看答案
本题答案:B
本题解析:暂无解析
2、判断题 变压器油枕油位计的+40℃油位线是表示环境温度在+40℃时的油标准位置线。
点击查看答案
本题答案:对
本题解析:暂无解析
3、问答题 铅蓄电池的电动势与哪些因素有关?
点击查看答案
本题答案:蓄电池电动势的大小与极板上的活性物质的电化性质和电解液
本题解析:试题答案蓄电池电动势的大小与极板上的活性物质的电化性质和电解液的浓度有关。但是当极板活性物质已经固定,则蓄电池的电动势主要由电解液浓度来决定。
4、单项选择题 在电力系统中,由于操作失误或故障发生之后,在系统某些部分形成自振回路,当自振频率与电网频率满足一定关系而发生谐振时,引起的过电压持续时间()。
A.较短;
B.较长;
C.有很长周期性;
D.不变。
点击查看答案
本题答案:C
本题解析:暂无解析
5、问答题
图所示的并联交流电路,已知电流表PA1指示为3A,电流表PA2指示为4A,求电路总电流和它的瞬时值表达式。

点击查看答案
本题答案:解:根据并联电路中,通常以电压为参考相量,则
本题解析:试题答案解:根据并联电路中,通常以电压为参考相量,则
,与电压同相
,滞后电压90°
电路总电流
总电流瞬时值表达式
电路总电流为
A,表达式为
6、判断题 在半导体中,靠空穴导电的半导体称N型半导体。
点击查看答案
本题答案:错
本题解析:暂无解析
7、判断题 两条各自通过反向电流的平行导线之间是互相吸引的。
点击查看答案
本题答案:错
本题解析:暂无解析
8、问答题 铅蓄电池产生自放电的主要原因是什么?
点击查看答案
本题答案:产生自放电的原因很多,主要有:
(1)电解液
本题解析:试题答案产生自放电的原因很多,主要有:
(1)电解液中或极板本身含有有害物质,这些杂质沉附在极板上,使杂质与极板之间、极板上各杂质之间产生电位差。
(2)极板本身各部分之间存在电位差和极板处于不同浓度的电解液层,而使极板各部分之间存在电位差。这些电位差相当于小的局部电池,通过电解液形成电流,使极板上的活性物质溶解或电化作用,转变为硫酸铅,导致蓄电池容量损失。
9、判断题 目前,转子两点接地保护多是利用四臂电桥原理构成的。
点击查看答案
本题答案:对
本题解析:暂无解析
10、单项选择题 沿任一回路的任一方向绕行一周,各电源电动势和()各电阻电压降的代数和。
A.大于;
B.小于;
C.等于;
D.不等于。
点击查看答案
本题答案:C
本题解析:暂无解析
11、单项选择题 距离保护装置一般由()组成。
A.测量部分、启动部分;
B.测量部分、启动部分、振荡闭锁部分;
C.测量部分、启动部分、振荡闭锁部分、二次电压回路断线失压闭锁部分;
D.测量部分、启动部分、振荡闭锁部分、二次电压回路断线失压闭锁部分、逻辑部分。
点击查看答案
本题答案:D
本题解析:暂无解析
12、判断题 电气非破坏性试验主要指测量绝缘电阻、泄漏电流和介质损耗的试验。
点击查看答案
本题答案:对
本题解析:暂无解析
13、单项选择题 电压互感器连接成不完全三角形接线时,它的一次绕组()。
A.不接地;
B.直接接地;
C.经电阻接地;
D.经电感接地。
点击查看答案
本题答案:A
本题解析:暂无解析
14、问答题 异步电动机在运行中,电流不稳,电流表指针摆动如何处理?
点击查看答案
本题答案:如果发现异步电动机电流不稳,电流表指针摆动时,应对电动
本题解析:试题答案如果发现异步电动机电流不稳,电流表指针摆动时,应对电动机进行检查,有无异常声响和其他不正常现象,并启动备用设备,通知检修人员到场,共同分析原因进行处理。
15、判断题 反时限过流保护的动作时间与短路电流的大小成正比。
点击查看答案
本题答案:错
本题解析:暂无解析
16、判断题 距离保护的测量阻抗值不随运行方式而变。
点击查看答案
本题答案:对
本题解析:暂无解析
17、单项选择题 发电厂厂用变压器控制盘上,通常装设的电气仪表有()。
A.电流、电压表;
B.电流、有功表;
C.电压、有功表;
D.电流、无功表。
点击查看答案
本题答案:B
本题解析:暂无解析
18、单项选择题
中性点不接地电网,发生单相接地时,故障线路始端的零序电流
与零序电压
的相位关系是()。
A.3
超前3
90°;
B.3
滞后3
90°;
C.3
超前3
110°;
D.3
滞后3
110°。
点击查看答案
本题答案:B
本题解析:暂无解析
来源:91考试网 19、判断题 在电容器两端的电压,不能发生突变。
点击查看答案
本题答案:对
本题解析:暂无解析
20、单项选择题 R1和R2并联后的总电阻是()。
A.
B.
C.
D.
点击查看答案
本题答案:A
本题解析:暂无解析
21、判断题 电场中两点之间没有电位差,就不会出现电流。
点击查看答案
本题答案:对
本题解析:暂无解析
22、单项选择题 铝材料与铜材料相比较,两者导电性能为()。
A.铝比铜好;
B.铜比铝好;
C.铜铝一样;
D.不一定。
点击查看答案
本题答案:B
本题解析:暂无解析
23、问答题 绘图题:画出直流电动机正、反转控制回路图。
点击查看答案
本题答案:
试题答案
24、判断题 在一个三相电路中,三相分别带着一个电阻、一个电感、一个电容,各项阻抗都等于10?,此时三相负载是对称的。
点击查看答案
本题答案:错
本题解析:暂无解析
25、问答题 高频保护运行时,为什么运行人员每天要交换信号以检查高频通道?
点击查看答案
本题答案:我国常采用电力系统正常时高频通道无高频电流的工作方式。
本题解析:试题答案我国常采用电力系统正常时高频通道无高频电流的工作方式。由于高频通道涉及两个厂站的设备,其中输电线路跨越几千米至几百千米的地区,经受着自然界气候的变化和风、霜、雨、雪、雷电的考验。高频通道上各加工设备和收发信机元件的老化和故障都会引起衰耗;高频通道上任何一个环节出问题,都会影响高额保护的正常运行。系统正常运行时,高频通道无高频电流,高频通道上的设备有问题也不易发现,因此每日由运行人员用启动按钮启动高频发信机向对侧发送高频信号,通过检测相应的电流、电压和收发信机上相应的指示灯来检查高频通道,以确保故障时保护装置的高频部分能可靠工作。
26、判断题 在一个三相电路中,三相分别带着一个电阻、一个电感、一个电容,各项阻抗都等于10?,此时三相负载是对称的。
点击查看答案
本题答案:错
本题解析:暂无解析
27、问答题 发电机运行特性曲线(P-Q曲线)四个限制条件是什么?
点击查看答案
本题答案:根据发电机运行特性曲线(P-Q曲线),在稳态条件下,发
本题解析:试题答案根据发电机运行特性曲线(P-Q曲线),在稳态条件下,发电机的稳态运行范围受下列四个条件限制:
(1)原动机输出功率的极限的限制,即原动机的额定功率一般要稍大于或等于发电机的额定功率;
(2)发电机的额定视在功率的限制,即由定子发热决定容许范围;
(3)发电机的磁场和励磁机的最大励磁电流的限制,通常由转子发热决定;
(4)进相运行时的稳定度,即发电机的有功功率输出受到静态稳定条件的限制。
28、判断题 发电机作调相机运行时,励磁电流不得超过额定值。
点击查看答案
本题答案:对
本题解析:暂无解析
29、单项选择题 高起始励磁系统即快速励磁是指在0.1s内AVR装置可将发电机机端电压升至()的顶值电压,且下降时间小于0.15s。
A.85%;
B.90%;
C.95%;
D.100%。
点击查看答案
本题答案:C
本题解析:暂无解析
30、判断题 在小电流、低电压的电路中,隔离开关具有一定的自然灭弧能力。
点击查看答案
本题答案:对
本题解析:暂无解析
31、单项选择题 在进行高压电力系统短路电流计算时,常采用()表示电气量,计算简单、方便。
A.标幺值;
B.百分值;
C.有名值;
D.瞬时值。
点击查看答案
本题答案:A
本题解析:暂无解析
32、问答题 简述电力工业在国民经济中的作用和地位?
点击查看答案
本题答案:电力工业是将一次能源转化为二次能源的能源工业。它为各行
本题解析:试题答案电力工业是将一次能源转化为二次能源的能源工业。它为各行各业提供着动力,而电力能源又是其他能源不可代替的,所以电能应用的广泛性,决定了电力工业是一种社会公益型的行业。同时,电力工业生产的安全可靠性关系着整个国民经济、"四化"建设和人民生活。因此,当前电力工业已经成为国民经济建设中具有重要地位的基础行业,是实现国家现代化和国民经济发展的战略重点。
33、单项选择题 通过某一垂直面积的磁力线叫()。
A.磁场;
B.磁通;
C.磁密;
D.联链。
点击查看答案
本题答案:B
本题解析:暂无解析
34、判断题 把电容器串联在线路上以补偿电路电抗,可以改善电压质量,提高系统稳定性和增加电力输出能力。
点击查看答案
本题答案:对
本题解析:暂无解析
35、单项选择题 同样转速的发电机磁极对数多的电源频率()。
A、低
B、高
C、不变
D、不一定
点击查看答案
本题答案:B
本题解析:暂无解析
36、问答题 如何改变三相异步电动机的转子转向?
点击查看答案
本题答案:将异步电动机的三相电源线任意两相对调,就改变了绕组中三
本题解析:试题答案将异步电动机的三相电源线任意两相对调,就改变了绕组中三相电流的相序,旋转磁场的方向就随之改变,也就改变了转子的旋转方向。
37、单项选择题 几个电阻头尾分别连在一起,这种连接叫电阻()。
A.混联;
B.并联;
C.串联;
D.其他。
点击查看答案
本题答案:B
本题解析:暂无解析
38、问答题
如图所示,电路中R1=2Ω,R2=6Ω,R3=4Ω,通过R3的电流I2来源:91考试网=6A,试求AB两端电压UAB。

点击查看答案
本题答案:
试题答案
39、判断题 在雷雨时,电气运行值班人员可以允许在露天配电设备附近工作。
点击查看答案
本题答案:错
本题解析:暂无解析
40、单项选择题 阻抗继电器中接入第三相电压,是为了()。
A.防止保护安装处正向两相金属性短路时方向阻抗继电器不动作;
B.防止保护安装处反向两相金属性短路时方向阻抗继电器误动作;
C.防止保护安装处正向三相短路时方向阻抗继电器不动作;
D.提高灵敏度。
点击查看答案
本题答案:B
本题解析:暂无解析
41、判断题 常见的操作过电压有切合空载长线、切除空载变压器、切合电容器引起的过电压及弧光接地过电压等。
点击查看答案
本题答案:对
本题解析:暂无解析
42、判断题 无论在变压器投入运行的过程中,还是在停用的过程中,均应先接通各侧中性点接地隔离开关。
点击查看答案
本题答案:对
本题解析:暂无解析
43、判断题 在半导体中,靠空穴导电的半导体称N型半导体。
点击查看答案
本题答案:错
本题解析:暂无解析
44、问答题
一台单相220V电容式电动机,其主绕组的阻抗Z1=2120+j2120Ω,启动绕组的阻抗Z2=Z1,串入启动绕组中的电容器容抗为4240Ω,求两个绕组中的电流各为多少?
点击查看答案
本题答案:解:根据交流电路欧姆定律,设单相电动机的电压相量为V,
本题解析:试题答案解:根据交流电路欧姆定律,设单相电动机的电压相量为V,单相电动机主绕组和启动绕组是并联的。
已知:

主绕组的电流
启动绕组的电流
主绕组的电流
,启动绕组的电流
。
45、判断题 继电保护和自动装置屏的前后,必须有明显的同一名称标志及标称符号,目的是防止工作时走错间隔或误拆、动设备,造成保护在运行中误动作。
点击查看答案
本题答案:对
本题解析:暂无解析
46、问答题 2台100kVA变压器,已知uk%=5,IN=145A,接线组别为Yy0和Yy6,如并列运行,求环流I1的大小?
点击查看答案
本题答案:解:变压器并列运行时环流计算公式为
本题解析:试题答案解:变压器并列运行时环流计算公式为
环流为2900A。
47、单项选择题 电网发生短路时()。
A.网络阻抗增大;
B.网络阻抗减小
C.网络阻抗既可增大也可减小;
D.网络阻抗不变。
点击查看答案
本题答案:B
本题解析:暂无解析
48、判断题 常见的操作过电压有切合空载长线、切除空载变压器、切合电容器引起的过电压及弧光接地过电压等。
点击查看答案
本题答案:对
本题解析:暂无解析
49、判断题 继电保护和自动装置屏的前后,必须有明显的同一名称标志及标称符号,目的是防止工作时走错间隔或误拆、动设备,造成保护在运行中误动作。
点击查看答案
本题答案:对
本题解析:暂无解析
50、判断题 变压器温度计所反映的温度是变压器上部油层的温度。
点击查看答案
本题答案:对
本题解析:暂无解析
51、判断题 电场中两点之间没有电位差,就不会出现电流。
点击查看答案
本题答案:对
本题解析:暂无解析
52、问答题 有两根平行导线,每根长L=50m,线间距离为D=30cm,每根导线通入电流I为800A,求两根导线间的作用力是多少?(真空中导磁系数μ0=4π×10-7H/cm)
点击查看答案
本题答案:
试题答案
53、问答题 绘图题:画出直流电机复激方式接线图。
点击查看答案
本题答案:
试题答案
54、单项选择题 为了保证氢冷发电机的氢气不从两侧端盖与轴之间溢出,运行中要保持密封瓦的油压()氢压。
A.大于;
B.等于;
C.小于;
D.近似于。
点击查看答案
本题答案:A
本题解析:暂无解析
55、单项选择题 两个电阻器件的额定功率不同,但额定电压相同,当它们并联在一个电压上时,则功率大的电阻器()。
A.发热量相等;
B.发来源:91考试网 91Exam.org热量不等;
C.发热量较大;
D.发热量较小。
点击查看答案
本题答案:C
本题解析:暂无解析
56、问答题
某用户用电的年有功持续负荷曲线如图所示。试求:
(1)全年平均负荷Pav;
(2)全年消耗电量A;
(3)最大负荷利用时间Tmax。

点击查看答案
本题答案:解:(1)全年平均负荷
试题答案解:(1)全年平均负荷

(2)全年消耗电量
(3)最大负荷利用时间因为
所以
全年平均负荷58.26MW,全年消耗电量
,最大负荷利用时间5100h。
57、单项选择题 把额定电压为220V的灯泡接在110V的电源上,灯泡的功率是原来的()。
A.1/2;
B.1/8;
C.1/4;
D.1/10。
点击查看答案
本题答案:C
本题解析:暂无解析
58、单项选择题 如果发电机在运行中定子电压过低,会使定子铁芯处在不饱和状态,此时将引起()。
A.电压继续降低;
B.电压不稳定;
C.电压波形畸变;
D.不变。
点击查看答案
本题答案:B
本题解析:暂无解析
59、问答题 有一星形接线的电动机,接在UN为380V电源上,电动机功率P为2.74kW,功率因数为0.83,如果误接成三角形,求此时电动机的功率为多少?
点击查看答案
本题答案:解:
电动机额定相电流
试题答案解:
电动机额定相电流
电动机相阻抗
误接成三角形
电动机功率

电动机的功率为8.2kW。
60、问答题 试求型号为NKL-10-400-6的电抗器的感抗XL。
点击查看答案
本题答案:解:因为
试题答案解:因为
所以

电抗器的感抗为0.866Ω。
61、名词解释 风、雅、颂
点击查看答案
本题答案:是《诗经》的体例和分类。按作品性质和乐调不同,分为&l
本题解析:试题答案是《诗经》的体例和分类。按作品性质和乐调不同,分为“风”、“雅”、“颂”三类。“风”又称国风,是各地方的乐曲,有十五国风,共160篇;“雅”有小雅、大雅,为一王室朝廷的乐歌,共105篇;“颂”有周颂、鲁颂、商颂,是宗庙祭祀的乐歌,共40篇。
62、判断题 目前,转子两点接地保护多是利用四臂电桥原理构成的。
点击查看答案
本题答案:对
本题解析:暂无解析
63、判断题 晶体三极管的开关特性是指控制基极电流,使晶体管处于放大状态和截止关闭状态。
点击查看答案
本题答案:错
本题解析:暂无解析
64、单项选择题 在远动系统中,主站与RTU的常用通信方式是()。
A.半工通信;
B.半双工通信;
C.全双工通信;
D.微波通信。
点击查看答案
本题答案:C
本题解析:暂无解析
65、判断题 电流互感器二次回路采用多点接地,易造成保护拒绝动作。
点击查看答案
本题答案:对
本题解析:暂无解析
66、判断题 在并联电路中,各支路电流的分配与各支路电阻成反比。
点击查看答案
本题答案:对
本题解析:暂无解析
67、问答题 在50μF的电容器上加入f=50Hz,电压为220V的电路中,求该电路的无功功率Q是多少?
点击查看答案
本题答案:
试题答案

68、问答题 发电机失磁导致异步运行时的处理原则。
点击查看答案
本题答案:发电机失磁异步运行时,一般处理原则如下:
(
本题解析:试题答案发电机失磁异步运行时,一般处理原则如下:
(1)对于不允许无励磁运行的发电机应立即从电网解列,以免损坏设备或造成系统事故。
(2)对于允许无励磁运行的发电机应按无励磁运行规定执行以下操作:
1)迅速降低有功功率到允许值(本厂失磁规定的功率值与表计摆动的平均值相符合),此时定子电流将在额定电流左右摆动。
2)手动断开灭磁开关,退出自动电压调节装置和发电机强行励磁装置。
3)注意其他正常运行的发电机定子电流和无功功率值是否超出规定,必要时按发电机允许过负荷规定执行。
4)对励磁系统进行迅速而细致的检查,如属工作励磁机的问题,应迅速启动备用励磁机恢复励磁。
5)注意厂用电母线电压水平,必要时可倒至备用电源供电。
6)在规定无励磁运行的时间内,仍不能使机组恢复励磁,则应将发电机与系统解列。
69、判断题 发电机定子单相接地故障的主要危害是电弧烧伤定子铁芯。
点击查看答案
本题答案:对
本题解析:暂无解析
70、问答题 变压器油面计指示油位异常升高时怎么办?
点击查看答案
本题答案:变压器油位因温度上升而逐渐升高时,若最高油温时的油位可
本题解析:试题答案变压器油位因温度上升而逐渐升高时,若最高油温时的油位可能高出油位指示计,则应放油,使油位降至适当的高度,以免溢油。同时应查清油温升高的原因,并做相应的处理。
检查油位计、油枕及防爆筒顶部的大气连通管是否堵塞,对采用隔膜式油枕的变压器,应检查胶囊的呼吸是否畅通,以及油枕的气体是否排尽等,以避免产生假油位。
在检查过程中,需打开各放气或放油塞子、阀门时,必须先将重瓦斯保护由跳闸改接信号,以防油位发生突然变化,产生油流,使重瓦斯保护误动。
71、单项选择题 变压器的过电流保护,加装低电压保护元件是()。
A.提高保护的灵敏度;
B.提高保护的选择性;
C.提高保护的可靠性;
D.提高保护的速动性。
点击查看答案
本题答案:A
本题解析:暂无解析
72、判断题 电桥是把已知标准量与被测量进行比较而测出被测量的值,故称为比较式测量仪器。
点击查看答案
本题答案:对
本题解析:暂无解析
73、判断题 在中性点直接接地的系统中,发生单相接地故障,非故障相对地电压将升高。
点击查看答案
本题答案:错
本题解析:暂无解析
74、单项选择题 电流系统发生接地故障时,零序电流大小取决于()。
A.短路点距电源的远近;
B.中性点接地的数目;
C.系统电压等级的高低;
D.短路类型。
点击查看答案
本题答案:B
本题解析:暂无解析
75、判断题 无论在变压器投入运行的过程中,还是在停用的过程中,均应先接通各侧中性点接地隔离开关。
点击查看答案
本题答案:对
本题解析:暂无解析
76、判断题 发电厂主接线采用双母线接线,可提高供电可靠性,增加灵活性。
点击查看答案
本题答案:对
本题解析:暂无解析
77、判断题 当一个导线(线圈)与磁场发生相对运动时,导线(线圈)中产生感应电动势。
点击查看答案
本题答案:对
本题解析:暂无解析
78、判断题 两条各自通过反向电流的平行导线之间是互相吸引的。
点击查看答案
本题答案:错
本题解析:暂无解析
79、判断题 交流电气设备铭牌所标的电压和电流值,都是最大值。
点击查看答案
本题答案:错
本题解析:暂无解析
80、判断题 电气非破坏性试验主要指测量绝缘电阻、泄漏电流和介质损耗的试验。
点击查看答案
本题答案:对
本题解析:暂无解析
81、单项选择题 通过一电阻线路的电流为5A,4min后通过该电阻线路横截面的电量是()。
A.20C;
B.50C;
C.1200C;
D.2000C。
点击查看答案
本题答案:C
本题解析:暂无解析
82、问答题
如图所示为35kV系统的等效网络,试计算在k点发生两相短路时的电流及M点的残压(图中的阻抗以100MVA为基准的标么值,35kV系统取平均电压37kV)。

点击查看答案
本题答案:解:短路电流
试题答案解:短路电流
M点的残压
k点的短路电流为1689A,M点的残压为23125V。
83、判断题 同步发电机失磁时,吸收有功功率,送出无功功率。
点击查看答案
本题答案:错
本题解析:暂无解析
84、问答题 蓄电池的内阻与哪些因素有关?
点击查看答案
本题答案:蓄电池的内电路主要由电解液构成,电解液有电阻,而极栅、
本题解析:试题答案蓄电池的内电路主要由电解液构成,电解液有电阻,而极栅、活性物质、连接物、隔离物等都有一定的电阻,这些电阻之和就是蓄电池的内阻。影响蓄电池内阻的因素很多,主要有各部分的构成材料、组装工艺、电解液的密度和温度等。因此,蓄电池内阻不是固定值,在充电和放电过程中,随着电解液的密度、温度和活性物质的变化而变化。
85、问答题 变电设备遇到自然灾害怎样处理?
点击查看答案
本题答案:变电设备运行中,一旦遇到人身无法抗拒的自然灾害,如有淹
本题解析:试题答案变电设备运行中,一旦遇到人身无法抗拒的自然灾害,如有淹没配电装置危险的洪水、配电装置附近的火灾及地震等。对于自然灾害一般的处理原则是:
(1)值班人员应尽可能采取的措施,防止设备损坏,尽可能地保持设备的正常运行。
(2)应尽可能利用一切联络手段向值班调度员和主管上级汇报,请求指示。
(3)如得不到上级明确指示或通信中断无法联系时,若值班人员已判明灾害确为不可避免,对设备有直接危害时,则可将设备电源切断,停止运行。
如灾害已威胁到值班人员的安全,在设备退出运行后,人员也可撤至安全地带。
86、单项选择题 电网发生短路时()。
A.网络阻抗增大;
B.网络阻抗减小
C.网络阻抗既可增大也可减小;
D.网络阻抗不变。
点击查看答案
本题答案:B
本题解析:暂无解析
87、判断题 在中性点直接接地的系统中,发生单相接地故障,非故障相对地电压将升高。
点击查看答案
本题答案:错
本题解析:暂无解析
88、判断题 电流互感器二次回路采用多点接地,易造成保护拒绝动作。
点击查看答案
本题答案:对
本题解析:暂无解析
89、单项选择题 三绕组降压变压器一般都在高、中压侧装有分接开关,若改变中压侧分接开关的位置()。
A.能改变高、低压侧电压;
B.能改变中、低压侧电压;
C.只改变低压侧电压;
D.只改变中压侧电压。
点击查看答案
本题答案:D
本题解析:暂无解析
90、判断题 同步发电机的静子三相电流不对称运行时,会引起转子内部过热。
点击查看答案
本题答案:错
本题解析:暂无解析
91、判断题 为了装设发电机纵差保护,要求发电机中心点侧和引出线侧的电流互感器的特性和变比完全相同。
点击查看答案
本题答案:对
本题解析:暂无解析
92、单项选择题 在可控硅整流装置中,自动稳流调整回路常采用直流互感器作为()。
A.保护用元件;
B.测量用元件;
C.反馈元件;
D.正反馈元件。
点击查看答案
本题答案:C
本题解析:暂无解析
93、单项选择题 自动励磁调节器的投入使发电机的极限功率增大,其极限功率出现在功角()。
A.小于90°附近;
B.等于90°;
C.大于90°附近;
D.小于180°。
点击查看答案
本题答案:C
本题解析:暂无解析
94、判断题 二极管两端的电压与电流的关系称为二极管的伏安特性。
点击查看答案
本题答案:对
本题解析:暂无解析
95、判断题 变比不相等的两台变压器并联运行只会使负载分配不合理。
点击查看答案
本题答案:错
本题解析:暂无解析
96、判断题 二极管两端的电压与电流的关系称为二极管的伏安特性。
点击查看答案
本题答案:对
本题解析:暂无解析
97、问答题 水内冷发电机的冷却水质量应符合哪些要求?
点击查看答案
本题答案:应符合以下要求:
(1)水质透明纯净,无机械
本题解析:试题答案应符合以下要求:
(1)水质透明纯净,无机械混合物。
(2)20℃时水的电导率:0.5~1.5S/cm。
(3)pH值7.0~8.0。
(4)PN<200MW时,硬度<10微克当量/L;PN>200MW时,硬度<2微克当量/L。
为保证进入发电机内的水质合格,水系统安装或大修结束后应进行冲洗、连续排污,直至水路系统的污物和杂物除尽为止。水质合格后,方允许发电机内部通水。
98、判断题 在电容器的特性中,最重要的参数是电容量及介质损耗。
点击查看答案
本题答案:错
本题解析:暂无解析
99、问答题 发电机—变压器组运行中,造成过励磁原因有哪些?
点击查看答案
本题答案:造成过励磁的原因有以下几方面。
(1)发电机
本题解析:试题答案造成过励磁的原因有以下几方面。
(1)发电机—变压器组与系统并列前,由于误操作,误加大励磁电流引起。
(2)发电机启动中,转子在低速预热时,误将电压升至额定值,则因发电机变压器低频运行而造成过励磁。
(3)切除发电机中,发电机解列减速,若灭磁开关拒动,使发电机遭受低频引起过励磁,
(4)发电机—变压器组出口断路器跳开后,若自动励磁调节器退出或失灵,则电压与频率均会升高,但因频率升高慢而引起过励磁,即使正常甩负荷,由于电压上升快,频率上升慢(惯性不一样),也可能使变压器过励磁。
(5)系统正常运行时频率降低也会引起。
100、单项选择题 负序电流在发电机转子表面引起损耗,该损耗的大小与负序电流()成正比。
A.大小;
B.
倍;
C.
倍;
D.平方。
点击查看答案
本题答案:D
本题解析:暂无解析
101、判断题 电力系统是由发电厂,变、配电装置,电力线路和用户组成。
点击查看答案
本题答案:对
本题解析:暂无解析
102、判断题 双鼠笼电动机的外鼠笼电阻大,感抗小,启动时产生较大力矩。
点击查看答案
本题答案:对
本题解析:暂无解析
103、判断题 如变压器的一次侧是高压,二次侧是低压,则称为升压变压器;反之,称为降压变压器。
点击查看答案
本题答案:错
本题解析:暂无解析
104、单项选择题 发电机如果在运行中功率因数过高(cosΦ=1)会使发电机()。
A.功角减小;
B.动态稳定性降低;
C.静态稳定性降低;
D.功角增大。
点击查看答案
本题答案:C
本题解析:暂无解析
105、判断题 把电容器串联在线路上以补偿电路电抗,可以改善电压质量,提高系统稳定性和增加电力输出能力。
点击查看答案
本题答案:对
本题解析:暂无解析
106、单项选择题 如果两台直流发电机要长期稳定并列运行,需要满足的一个条件是()。
A.转速相同;
B.向下倾斜的外特性;
C.激磁方式相同;
D.向上倾斜外特性。
点击查看答案
本题答案:B
本题解析:暂无解析
107、判断题 距离保护的测量阻抗值不随运行方式而变。
点击查看答案
本题答案:对
本题解析:暂无解析
108、问答题 氢冷发电机漏氢有几种表现形式?哪种最危险?
点击查看答案
本题答案:按漏氢部位有两种表现形式:
(1)外漏氢:氢
本题解析:试题答案按漏氢部位有两种表现形式:
(1)外漏氢:氢气泄漏到发电机周围空气中,一般距离漏点0.25m以外,已基本扩散,所以外漏氢引起氢气爆炸的危险性较小。
(2)内漏氢:氢气从定子套管法兰结合面泄漏到发电机封闭母线中;从密封瓦间隙进入密封油系统中;氢气通过定子绕组空芯导线、引水管等又进入冷却水中;氢气通过冷却器铜管进入循环冷却水中。内漏氢引起氢气爆炸的危险性最大,因为空气和氢气是在密闭空间内混合的,若氢含量达4%~76%时,遇火即发生氢爆。
109、判断题 断路器是利用交流电流自然过零时熄灭电弧的。
点击查看答案
本题答案:对
本题解析:暂无解析
110、判断题 保护连接片投入前,应使用高内阻电压表测量连接片两端无电压后,方可投入。
点击查看答案
本题答案:对
本题解析:暂无解析
111、问答题 对变压器检查项目的正常要求有哪些?
点击查看答案
本题答案:检查项目的正常要求有:
(1)油枕及充油套管
本题解析:试题答案检查项目的正常要求有:
(1)油枕及充油套管内油位高度应正常、油色透明。
(2)上层油温不超过允许温度。
(3)变压器声音正常。
(4)变压器套管清洁无裂纹和无放电现象,引线接头接触良好,无过热现象。
(5)冷却装置运行正常。
(6)呼吸器畅通,硅胶受潮不能至饱和状态。
(7)防爆管隔膜完整无破损。
(8)变压器的主、附设备不漏油,不渗油及外壳接地良好。
(9)气体继电器内充满油、无气体。
112、问答题 油断路器油面过高或过低有何影响?
点击查看答案
本题答案:①油面过高:箱内缓冲空间减小。当开断切断短路故障时,电
本题解析:试题答案①油面过高:箱内缓冲空间减小。当开断切断短路故障时,电流使周围的油气化,将产生强大压力可能发生喷油,油箱变形甚至爆炸。②油面过低:当切断短路电流时,电弧可能冲击油面,游离气体混入空气中,引起燃烧爆炸。同时绝缘外露在空气中容易受潮,造成内部闪络。
113、问答题 绘图题:画出三段式零序电流方向保护装置原理接线图。
点击查看答案
本题答案:
试题答案
KPDZ—零序功率方向继电器;KS1~KS3—信号继电器;KT1、KT2—时间继电器;
KOM—出口中间继电器;YT—跳闸线圈;XB—连接片;KAZ—电流继电器
114、判断题 发电厂的厂用电率是用发电量与厂用电量的比值的百分数表示的。
点击查看答案
本题答案:错
本题解析:暂无解析
115、判断题 同步发电机的静子三相电流不对称运行时,会引起转子内部过热。
点击查看答案
本题答案:错
本题解析:暂无解析
116、判断题 在电容器两端的电压,不能发生突变。
点击查看答案
本题答案:对
本题解析:暂无解析
117、单项选择题 发电机励磁回路发生一点接地后,如不能及时安排检修,允许带病短时运行,但必须投入转子两点接地保护装置,此时应把横差保护()。
A.投入延时;
B.投入瞬时;
C.退出;
D.投入定时
点击查看答案
本题答案:A
本题解析:暂无解析
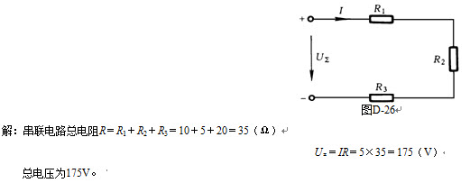
118、问答题 如图所示,已知串联电阻R1=10Ω,R2=5Ω,R3=20Ω,电流I=5A,试求串联电路的总电压UΣ是多少?
点击查看答案
本题答案:
试题答案
119、判断题 深槽式电动机是利用交变电流的集肤作用来增加转子绕组启动时的电阻,改善启动特性的。
点击查看答案
本题答案:对
本题解析:暂无解析
120、单项选择题 变压器绕组之间及绕组与接地部分之间的绝缘称为()。
A.分级绝缘;
B.全绝缘;
C.主绝缘;
D.纵绝缘。
点击查看答案
本题答案:C
本题解析:暂无解析
121、问答题 在何种情况下,蓄电池室内易引起爆炸?如何防止? 蓄电池在充电过程中,水被分解产生大量的氢气和氧气。如果这些混合的气体,不能及时排出室外,一遇火花,就会引起爆炸。
点击查看答案
本题答案:预防的方法是:
(1)密封式蓄电池的加液孔上
本题解析:试题答案预防的方法是:
(1)密封式蓄电池的加液孔上盖的通气孔,经常保持畅通,便于气体逸出;
(2)蓄电池内部连接和电极连接要牢固,防止松动打火;
(3)室内保持良好的通风;
(4)蓄电池室内严禁烟火;
(5)室内应装设防爆照明灯具,且控制开关应装在室外。
122、判断题 发电机定子单相接地故障的主要危害是电弧烧伤定子铁芯。
点击查看答案
本题答案:对
本题解析:暂无解析
123、判断题 变压器投入运行后,它的励磁电流几乎不变。
点击查看答案
本题答案:对
本题解析:暂无解析
124、填空题 发电机有功功率过剩时会使频率和电压()。
点击查看答案
本题答案:升高
本题解析:试题答案升高
125、单项选择题 发电机长期进相运行,会使发电机()过热。
A.定子端部;
B.定子铁芯;
C.转子绕组;
D.转子铁芯。
点击查看答案
本题答案:A
本题解析:暂无解析
126、判断题 高压少油断路器,一般是采用变压器油作为灭弧介质的。
点击查看答案
本题答案:对
本题解析:暂无解析
127、问答题 某工厂单相供电线路的额定电压UN=10kV,平均负荷P=400kW,无功功率Q=260kvar,功率因数较低。现要将该厂的功率因数提高到0.9,需要装多少补偿电容?
点击查看答案
本题答案:解:补偿电容前的功率因数为
本题解析:试题答案解:补偿电容前的功率因数为

于是可得功率因数角
=33°
又因补偿后的功率因数cos
=0.9,所以功率因数角
=25.8°
需安装的补偿电容为

需要装补偿电容2.1
128、单项选择题 当系统运行方式变小时,电流和电压的保护范围是()。
A.电流保护范围变小,电压保护范围变大;
B.电流保护范围变小,电压保护范围变小;
C.电流保护范围变大,电压保护范围变小;
D.电流保护范围变大,电压保护范围变大。
点击查看答案
本题答案:A
本题解析:暂无解析
129、判断题 当系统振荡或发生两相短路时,会有零序电压和零序电流出现。
点击查看答案
本题答案:错
本题解析:暂无解析
130、问答题 分析发电机失磁运行时主要参数的变化及原因。
点击查看答案
本题答案:(1)转子电流指示为零或接近于零。当发电机失去励磁后,
本题解析:试题答案(1)转子电流指示为零或接近于零。当发电机失去励磁后,转子电流迅速地依指数规律衰减,其减小的程度与失磁原因、剩磁大小有关。当励磁回路开路时,转子电流表指示为零;当励磁回路短路或经小电阻闭合时,转子回路有交流电流通过,直流电流表有指示,但指示值很小。
(2)定子电流增大并波动。失磁后的发电机进入异步运行状态时,既向电网送出有功功率,又从电网吸收无功功率,所以造成电流上升。波动的原因简单地说是由于转子回路中有差频脉动电流所引起的。
(3)有功功率降低并波动。异步运行发电机的有功功率的平均值比失磁前略有降低,这是因为机组失磁后,转子电流很快以指数曲线衰减到零,原来由转子电流所建立的转子磁场也很快消失,这样作为原动机力矩的电磁转矩也消失了,"释载"的转子在原动机的作用下很快升速。这时汽轮机的调速系统自动使汽门关小一些,以调整转速。所以在平衡点建立起来的时候,有功功率要下降一些。有功功率降低的程度和大小,与汽轮机的调整特性以及该发电机在某一些转差下所能产生的异步力矩的大小有关。
(4)机端电压显著下降,且随定子电流波动。由于定子电流增大,线路压降增大,导致机端电压下降,危及厂用负荷安全稳定运行。如在发电机带50%额定功率时,6.3kV母线电压平均值约为失磁前的78%,最低值达72%。
(5)无功功率指示负值,发电机进相运行。
(6)转子各部件温度升高。异步运行发电机的励磁绕组,阻尼绕组、转子铁芯等处产生滑差电流,从而在转子上引起损耗使温度升高,特别是在转子本体端部,温升更高,它们的大小与异步电磁转矩和滑差成正比,严重时将危及转子的安全运行。
131、问答题
已知星形连接的三相对称电源,接三相四线制平衡负载Z=3+j4Ω。若电源线电压为380V,问A相断路时,中线电流
是多少?若接成三线制(即星形连接不用中线)A相断路时,线电流IB、IC是多少?
点击查看答案
本题答案:解:在三相四线制电路中,当A相断开时,非故障相的相电压
本题解析:试题答案解:在三相四线制电路中,当A相断开时,非故障相的相电压不变,相电流也不变,这时中线电流为
=44(A)
若采用三线制,A相断开时

在三相四线制电路中,A相断开时,中线电流为44A,若接成三线制,A相断开时,B、C两相线电流均为38A。
132、判断题 变压器是一种传递电能的设备。
点击查看答案
本题答案:对
本题解析:暂无解析
133、判断题 在几个电阻串联的电路中,电流分配与各电阻大小无关。
点击查看答案
本题答案:对
本题解析:暂无解析
134、单项选择题 维持电弧稳定燃烧主要依靠()。
A.碰撞游离;
B.热游离;
C.去游离;
D.强电场发射。
点击查看答案
本题答案:B
本题解析:暂无解析
135、问答题 绘图题:画出发电机定子冷却水系统简图
点击查看答案
本题答案:
试题答案
136、填空题 电力系统的中性点经消弧线圈接地的系统称为()。
点击查看答案
本题答案:大电流接地系统
本题解析:试题答案大电流接地系统
137、判断题 在并联电路中,各支路电压的分配与支路电阻的倒数成正比。
点击查看答案
本题答案:错
本题解析:暂无解析
138、判断题 在变压器中,输出电能的绕组叫作一次绕组,吸取电能的绕组叫作二次绕组。
点击查看答案
本题答案:错
本题解析:暂无解析
139、判断题 发电机定子绕组发生接地故障时,故障点的零序电压值与故障点距中性点的距离成反比。
点击查看答案
本题答案:错
本题解析:暂无解析
140、判断题 双鼠笼电动机的内鼠笼电阻小,感抗大,启动时产生的力矩较小。
点击查看答案
本题答案:对
本题解析:暂无解析
141、问答题 电动机启动电流大有无危险?
点击查看答案
本题答案:在正常情况下因启动过程不长,短时间内流过大电流,虽然对
本题解析:试题答案在正常情况下因启动过程不长,短时间内流过大电流,虽然对电动机有一定影响,但发热一般不会很厉害,电动机是能够承受的。但如果重复超载启动以及连续带负荷多次启动等,将有可能使电动机绕组因过热而烧毁。
142、问答题
一条直流线路,原来用的是截面积SC为20mm2的橡皮绝缘铜线,现因绝缘老化要换新线,并决定改用铝线,要求导线传输能力不改变。试求所需铝线的截面积SA
点击查看答案
本题答案:解:导线电阻、长度相同时,所需截面积与导线材料的电阻系
本题解析:试题答案解:导线电阻、长度相同时,所需截面积与导线材料的电阻系数成正比
可选用截面SA为35mm2的铝线。
143、判断题 220kV母联充电保护在正常情况下投入。
点击查看答案
本题答案:错
本题解析:暂无解析
144、判断题 距离保护的时限元件是用来保证装置有选择性的切除故障。
点击查看答案
本题答案:对
本题解析:暂无解析
145、判断题 电容器接到直流回路上,只有充电和放电时,才有电流流过。充电、放电过程一旦结束,电路中就不会再有电流流过。
点击查看答案
本题答案:对
本题解析:暂无解析
146、问答题 一台10/0.4kV、180kVA的三相变压器,实测电压U2=0.4kV,I2=250A,短路电压Uk%=4.5,空载电流I0%=7,空载损耗ΔP0=1kW,短路损耗ΔPk=3.6kW,求变压器总的有功损耗和无功损耗是多少?
点击查看答案
本题答案:解:(1)变压器空载损耗
S=
本题解析:试题答案解:(1)变压器空载损耗
S=
UI=
×0.4×250=173(kVA)

(2)变压器负载损耗
(3)变压器总损耗

变压器有功损耗

变压器无功损耗

变压器总的有功损耗为4.33kW和无功损耗为20.08kvar。
147、多项选择题 为有效规避抵押物价值变化带来的信用风险,商业银行可以采取的措施有()。
A.按合同规定提前收回贷款
B.及时处置抵押物提前收回贷款
C.更换为其他的足值抵押物
D.重新评估抵押物价值
E.要求借款人恢复抵押物价值
点击查看答案
本题答案:A, C, D, E
本题解析:为了有效规避抵押物价值变化而带来的信用风险,可以采取以下措施:
(1)要求借款人恢复抵押物价值;
(2)更换为其他足值抵押物;
(3)按合同约定或依法提前收回贷款;
(4)重新评估抵押物价值,择机处置抵押物。
148、判断题 在小电流、低电压的电路中,隔离开关具有一定的自然灭弧能力。
点击查看答案
本题答案:对
本题解析:暂无解析
149、判断题 电动机启动时间的长短与频率的高低有直接关系。
点击查看答案
本题答案:错
本题解析:暂无解析
150、问答题 处理生产事故的一般原则是什么?处理事故的主要任务及对运行人员的要求是什么?
点击查看答案
本题答案:发生事故,运行人员处理的原则是尽早作出准确判断,如故障
本题解析:试题答案发生事故,运行人员处理的原则是尽早作出准确判断,如故障设备、故障范围、故障原因、操作步骤等,尽快进行处理,尽量缩小事故范围。
(1)事故处理的主要任务:
1)尽快限制事故发展,消除事故的根源并解除对人身和设备的危险。
2)用一切可能的方法保持设备继续运行,保证对用户的正常供电;必要时应设法在未直接受到事故损害的机组上增加负荷。
3)尽快对已停电的用户恢复送电。
4)调整电力系统的运行方式,使其恢复正常。
处理事故应注意,在恢复对用户供电的同时,要首先恢复站用电的正常状态,特别是对于直流操作和较大型的变电所,这一点十分重要。
(2)事故处理对运行人员的要求:
1)所有运行人员必须坚守岗位。
2)当交接班时发生事故,而交接班手续尚未完成时,应停止交接班,由交班人处理事故,接班人协助处理。
3)发生事故时,当值调度员是处理事故的指挥人,凡与处理事故无关的人员,严禁进入现场或在现场停留。
4)处理事故时,重要操作(应在现场规程中明确规定)必须有值班调度员命令方可执行。
5)以下各项操作,在任何情况下均可不等值班调度员的命令,由值班人员执行:①将直接对人员生命有威胁的设备停电;②将已损坏的设备隔离(电气隔离);③运行中的设备有受损伤的威胁时,根据现场事故处理规程的规定加以隔离;④当母线电压消失时,将连接到该母线上的断路器拉开。
以上操作执行后,应加以记录并尽快报告值班调度员。
异常及事故是威胁电力系统正常运行的大敌,而且又是运行中不可避免的现象。因此,能正确处理异常及事故,是每个运行人员最重要的基本功。要学会事故的分析、判断与处理的一般方法与原则,不断提高判断事故和处理事故的能力,以满足现场工作的需要。
151、判断题 在三角形连接的电路中,线电流等于相电流。
点击查看答案
本题答案:错
本题解析:暂无解析
152、单项选择题 断路器失灵保护,只能在()时起后备保护。
A.断路器拒动;
B.断路器误动;
C.保护误动;
D.保护拒动。
点击查看答案
本题答案:A
本题解析:暂无解析
153、问答题 某台双水内冷发电机,其定子线电压UL为13.8kV,线电流IL为6150A,若负载的功率因数由0.85降到0.6时,求该发电机有功功率和无功功率任何变化?
点击查看答案
本题答案:解:根据公式P=
试题答案解:根据公式P=
UIcosφ,Q=
UIsinφ
当功率因数cosφ1=0.85时,P1=
×13.8×6.16×0.85=125(MW)
φ=arccosφ=31.79°
Q1=
×13.8×6.15×sin31.79°=77.44(Mvar)
当功率cosφ2=0.6时,P1=×
13.8×6.16×0.6=88(MW)
φ2=arccosφ=53.1°
Q1=
×13.8×6.15×sin53.1°=117.6(Mvar)
可见负载的功率因数由0.85降到0.6时,发电机有功功率由125MW降至88MW,发电机的无功功率由77.44Mvar上升至117.6Mvar。
154、判断题 水轮发电机转子回路发生一点接地时,允许继续运行2h。
点击查看答案
本题答案:错
本题解析:暂无解析
155、问答题 绘图题:画出由二极管组成的或门电路。
点击查看答案
本题答案:
试题答案
156、单项选择题 微机保护的定值存储芯片是()。
A.EEPROM;
B.EPROM;
C.RAM;
D.CPU。
点击查看答案
本题答案:A
本题解析:暂无解析
157、判断题 电路中由于电压、电流突变引起铁磁谐振时,电压互感器的高压侧熔断器不应熔断。
点击查看答案
本题答案:错
本题解析:暂无解析
158、判断题 220kV母联充电保护在正常情况下投入。
点击查看答案
本题答案:错
本题解析:暂无解析
159、判断题 在几个电阻串联的电路中,电流分配与各电阻大小无关。
点击查看答案
本题答案:对
本题解析:暂无解析
160、判断题 低频、低压减负荷装置出口动作后,应当启动重合闸回路,使线路重合。
点击查看答案
本题答案:错
本题解析:暂无解析
161、判断题 电容器接到直流回路上,只有充电和放电时,才有电流流过。充电、放电过程一旦结束,电路中就不会再有电流流过。
点击查看答案
本题答案:对
本题解析:暂无解析
162、问答题
已知控制电缆型号KVV29-500型,同路最大负荷电流
=2.5A,额定电压UN=220V,电缆长度L=250m,
铜的电阻率
,导线的允许压降不应超过额定电压的5%,求控制信号馈线电缆的截面积S。
点击查看答案
本题答案:解:电缆最小截面积
试题答案解:电缆最小截面积

应选截面积为2.5mm2的控制电缆。
163、单项选择题 发生接地故障时人体距离接地体越近,跨步电压越高,越远越低,一般情况下距离接地体()m跨步电压视为零。
A.10以内;
B.20以外;
C.30;
D.40。
点击查看答案
本题答案:B
本题解析:暂无解析
164、问答题 说明电流互感器二次发生开路时的主要现象。
点击查看答案
本题答案:主要现象
(1)回路仪表指示降低或为零。如用
本题解析:试题答案主要现象
(1)回路仪表指示降低或为零。如用于测量表计的电流回路开路,会使三相电流表指示不一致,功率表指示减小,计量表计不转或转速变慢。
(2)电流互感器本体噪声、振动等增大,这种现象在负荷小时不太明显。
(3)开路时,由于磁饱和的严重,铁芯过热,外壳温度升高,内部绝缘受热有异味,严重 时冒烟烧坏。
(4)由于电流互感器二次产生高电压,可能使互感器二次接线柱、二次回路元件接头、接线端子等处放电打火,严重时使绝缘击穿。
(5)部分仪表、电能表、继电器等冒烟烧坏。
165、判断题 断路器是利用交流电流自然过零时熄灭电弧的。
点击查看答案
本题答案:对
本题解析:暂无解析
166、问答题 什么是GIS设备,什么是C-GIS设备?有什么具体区别?
点击查看答案
本题答案:GIS为GasInsulated Switchgear
本题解析:试题答案GIS为GasInsulated Switchgear,即气体绝缘开关设备。C-GIS为Cubic Gas Insulated Switchgear,即箱式或罐式气体绝缘开关设备。
GIS指六氟化硫封闭式组合电器,它是把断路器、隔离开关、母线、接地开关、互感器、出线套管或电缆终端头等分别装在各自密封间中集中组成一个整体,外壳充以六氟化硫气体作为绝缘介质。结构紧凑、体积小、重量轻、不受大气条件影响、检修间隔长、无触电事故和电噪声干扰等优点。
C-GIS指的是气体绝缘金属封闭开关设备,一般采用真空断路器,隔离开关、电压互感器等设备密封在一个空间内,用SF6气体绝缘,其他部分是传统空气绝缘。SF6气室部分气压较低,一般是GIS的几分之一。
167、判断题 电力系统属于电感、电容系统,当发生单相接地(中性点不接地)时,有可能形成并联谐振,而产生过电压。
点击查看答案
本题答案:错
本题解析:暂无解析
168、判断题 同步发电机失磁时,有功功率表指示在零位。
点击查看答案
本题答案:错
本题解析:暂无解析
169、判断题 低频、低压减负荷装置出口动作后,应当启动重合闸回路,使线路重合。
点击查看答案
本题答案:错
本题解析:暂无解析
170、问答题 一个线圈的电感L=10mH、电阻略去不计,把它接在u=100sinωt电源上,求当频率f为50Hz和50kHz时,线圈的电抗X1和X2及其中通过的电流I1和I2。
点击查看答案
本题答案:
试题答案
171、判断题 在半导体中,靠电子导电的半导体称P型半导体。
点击查看答案
本题答案:错
本题解析:暂无解析
172、单项选择题 交流放大器中,放大电路的电压放大倍数K表示的是输出正弦交流电压相量、有效值、瞬时值与输入的正弦交流电压相量、有效值、瞬时值的关系是()。
A.
B.
C.
D.不确定
点击查看答案
本题答案:B
本题解析:暂无解析
173、单项选择题 大型变压器无载调压,每两相邻分接头的电压差一般为额定电压的()。
A.10%;
B.7.5%;
C.5%;
D.2.5%。
点击查看答案
本题答案:D
本题解析:暂无解析
174、判断题 两个平行的载流导线之间存在电磁力的作用,两导线中电流方向相同时,作用力相斥,电流方向相反时,作用力相吸。
点击查看答案
本题答案:错
本题解析:暂无解析
175、判断题 电弧是一种气体游离放电现象。
点击查看答案
本题答案:对
本题解析:暂无解析
176、问答题 为什么发电机转子一点接地后容易发生第二点接地?
点击查看答案
本题答案:发电机 转子一点接地后励磁回路对地电压将有所升高,在正常
本题解析:试题答案发电机转子一点接地后励磁回路对地电压将有所升高,在正常情况下,励磁回路对地电压约为励磁电压的一半。当励磁回路的一端发生金属性接地故障时,另一端对地电压将升高为全部励磁电压值,即比正常电压值高出一倍。在这种情况下运行,当切断励磁回路中的开关或一次回路的主断路器时,将在励磁回路中产生暂态过电压,在此电压作用下,可能将励磁回路中其他绝缘薄弱的地方击穿,从而导致第二点接地。
177、问答题 绘图题:画出Yd11连接组别变压器的电路图与相量图。
点击查看答案
本题答案:
试题答案
178、单项选择题 电阻通电流后所产生的热量与电流平方、电阻及通电的时间成正比,这就是()。
A.基尔霍夫定律;
B.楞次定律;
C.焦耳-楞次定律;
D.焦耳定律。
点击查看答案
本题答案:C
本题解析:暂无解析
179、问答题 电动机接通电源后,电动机不转动是何原因?
点击查看答案
本题答案:(1)电源缺相;
(2)开关接触不良;
本题解析:试题答案(1)电源缺相;
(2)开关接触不良;
(3)绕线式转子开路;
(4)机械部件卡涩。
180、判断题 绕线式异步电动机在运行中,转子回路电阻增大,转速降低;电阻减少,转速升高。
点击查看答案
本题答案:对
本题解析:暂无解析
181、问答题 变压器气体保护动作跳闸的原因有哪些?
点击查看答案
本题答案:(1)变压器内部有严重故障;
(2)变压器保
本题解析:试题答案(1)变压器内部有严重故障;
(2)变压器保护装置二次回路有故障;
(3)变压器检修后油中气体分离过快,也可能使气体继电器动作跳闸。
182、判断题 电力系统是由发电厂,变、配电装置,电力线路和用户组成。
点击查看答案
本题答案:对
本题解析:暂无解析
183、判断题 & nbsp;发电厂的厂用电率是用发电量与厂用电量的比值的百分数表示的。
点击查看答案
本题答案:错
本题解析:暂无解析
184、问答题 电阻R为5,电感L为1.5mH的线圈,与C=25μF的电容器串联。当电源频率为600Hz时,电路的电阻是多大?
点击查看答案
本题答案:解:根据阻抗计算公式
电路阻抗为
本题解析:试题答案解:根据阻抗计算公式
电路阻抗为
Z=R+j(2πL-1/2πfC)
=5+j(2×3.14×600×1.5×10<sup>3</sup>-1/(2×3.14×600×25×106)
=5-j5
=7.07e<sup>-j45º</sup>(Ω)
电路的电阻为7.07e<sup>-j45º</sup>(Ω)。
185、单项选择题 视在功率的单位名称和法定单位符号是()。
A.千瓦(kW);
B.千瓦时(kWh);
C.千伏安(kVA);
D.(kvar)。
点击查看答案
本题答案:C
本题解析:暂无解析
186、单项选择题 直流电机主极与转子空气隙最小值或最大值与平均值之间误差规定不大于()。
A.5%;
B.10%;
C.15%;
D.20%。
点击查看答案
本题答案:B
本题解析:暂无解析
187、判断题 在星形连接的电路中,线电压和相电压相等。
点击查看答案
本题答案:错
本题解析:暂无解析
188、填空题 发电机的三相电流之差不得超过额定电流的()。
点击查看答案
本题答案:10%
本题解析:试题答案10%
189、判断题 在中性点直接接地的电网中,当过流保护采用三相星形接线方式时,也能保护接地短路。
点击查看答案
本题答案:对
本题解析:暂无解析
190、问答题 AVC的功能是什么,运行中有哪些限制条件?
点击查看答案
本题答案:AVC装置的功能是:AVC装置作为电网电压无功优化系统
本题解析:试题答案AVC装置的功能是:AVC装置作为电网电压无功优化系统中分级控制的电压控制实现手段,是针对负荷波动和偶然事故造成的电压变化迅速动作,来控制调节发电机励磁实现电厂侧的电压控制,保证向电网输送合格的电压和满足系统需求的无功。同时接受来自省调度通信中心的上级电压控制命令和电压整定值,通过电压无功优化算法计算,并输出以控制发电机励磁调节器的整定点来实现远方调度控制。运行中的限制条件为:
(1)发电机端电压最高、最低限制;
(2)系统电压的限制;
(3)发电机功率因数的限制等。
191、判断题 双鼠笼电动机的外鼠笼电阻大,感抗小,启动时产生较大力矩。
点击查看答案
本题答案:对
本题解析:暂无解析
192、判断题 在电容器的特性中,最重要的参数是电容量及介质损耗。
点击查看答案
本题答案:错
本题解析:暂无解析
193、问答题 为什么必须采用具有电磁系测量机构的钳形电流表测量绕线式异步电动机的转子电流?
点击查看答案
本题答案:采用钳形电流表测量绕线式异步电动机的转子电流时,必须采
本题解析:试题答案采用钳形电流表测量绕线式异步电动机的转子电流时,必须采用具有电磁系测量机构的钳形表。如采用一般常见的整流式磁电系钳形表测量,指示值与被测量的实际值会有很大出入,甚至没有指示。其原因是,整流式磁电系钳形表的表头是与互感器的二次绕组相连的,表头电压是由二次绕组得到的。根据电磁感应原理可知,互感电动势E2=4.44fN,由公式不难看出,互感电动势的大小与频率成正比。当采用此种钳形表测量转子电流时,由于转子上的频率很低,表头上得到的电压将比测量同样电流值的工频电流小得多,有时电流很小,甚至不能使表头中的整流元件导通,所以钳形电流表没有指示,或指示值与实际值有很大出入。
如果采用电磁系测量机构的钳形表,由于测量机构没有二次绕组,也没有整流元件,磁回路中磁通直接作用表头,而且与频率没有关系,所以能够正确指示出转子电流的数值。
194、判断题 在半导体中,靠电子导电的半导体称P型半导体。
点击查看答案
本题答案:错
本题解析:暂无解析
195、判断题 变压器油枕油位计的+40℃油位线是表示环境温度在+40℃时的油标准位置线。
点击查看答案
本题答案:对
本题解析:暂无解析
196、单项选择题
若
则同一故障点的
与
之比为()。
A.
/2;
B.1;
C.
;
D.2.55。
点击查看答案
本题答案:A
本题解析:暂无解析
197、单项选择题 二极管的最大正向电流是保证二极管不损坏的最大允许的半波电流的()值。
A.最大;
B.最小;
C.有效;
D.平均。
点击查看答案
本题答案:D
本题解析:暂无解析
198、判断题 在中性点不接地的系统中,发生单相接地故障时,其线电压不变。
点击查看答案
本题答案:对
本题解析:暂无解析
199、判断题 直流电动机电枢反应使主磁场去磁。
点击查看答案
本题答案:对
本题解析:暂无解析
200、判断题 电桥是把已知标准量与被测量进行比较而测出被测量的值,故称为比较式测量仪器。
点击查看答案
本题答案:对
本题解析:暂无解析
题库试看结束后
微信扫下方二维码即可打包下载完整版《
★电气值班员考试》题库
手机用户可保存上方二维码到手机中,在微信扫一扫中右上角选择“从相册选取二维码”即可。
题库试看结束后
微信扫下方二维码即可打包下载完整版《
电气值班员考试:电气值班员高级技师考试》题库,
分栏、分答案解析排版、小字体方便打印背记!经广大会员朋友实战检验,此方法考试通过率大大提高!绝对是您考试过关的不二利器!
手机用户可
保存上方二维码到手机中,在
微信扫一扫中右上角选择“从
相册选取二维码”即可。