手机用户可
保存上方二维码到手机中,在
微信扫一扫中右上角选择“从
相册选取二维码”即可。
1、单项选择题 根据新古典投资模型,当实际利率上升时,企业固定投资()。
A.投资增加4万美元,净出口增加4万美元
B.消费增加4万美元,净出口增加4万美元
C.净出口减少4万美元
D.净出口增加4万美元
点击查看答案
本题答案:C
本题解析:暂无解析
2、问答题 试用支出方法核算国内生产总值。
点击查看答案
本题答案:支出去是将一国在一定时期内所有经济单位用于最终产品和劳
本题解析:试题答案支出去是将一国在一定时期内所有经济单位用于最终产品和劳务的支出加总起来用以测算GDP的方法。从支出主体的角度来看,支出方法测算的主要包括家庭、厂商和政府的支出,厂商部门的支出包括用于机器设备、厂房、民用住房和存货方面的支出。政府的支出包括对商品以及对劳务的支出。把家庭部门的支出简单表示为C,厂商部门的投资即私人投资表示为I,政府购买表示为G。于是,以支出方法测算的国内生产总值可以表示为:
GDP=C十I十G
如果经济中还包括对外贸易部门,那么,用支出方法测算的国内生产总值可以表示为:GDP=C十I十G+(X-M)。
其中,X表示一个国家的出口,M表示进口。
3、问答题 扩张财政对萧条经济会产生怎样的影响?
点击查看答案
本题答案:当经济萧条时,扩张性财政政策会使收入水平增加。
本题解析:试题答案当经济萧条时,扩张性财政政策会使收入水平增加。
一方面,扩张性财政意味着总需求扩张;
另一方面,通过乘数的作用,扩张性财政会导致消费需求增加,因此总需求进一步提高。当然,在扩张财政时,由于货币供给不变,利息率会提高。这样投资需求会有一定程度的下降。在一般情况下,扩张性财政的产出效应大于挤出效应,最终结果是扩张性财政政策导致国民收入增加。
4、问答题 政府削减税收,在运用货币政策保持利率不变与货币存量不变这两种情况下减税的经济后果有什么区别?
点击查看答案
本题答案:假定经济处于中间区域,政府减税使IS曲线右移,利率上升
本题解析:试题答案假定经济处于中间区域,政府减税使IS曲线右移,利率上升,收入增加。若政府在减税的同时增加一定的货币供给量,使得利率不变,LM曲线便右移,使收入进一步增加。可见前者增加的收入比前者多,因为它克服了扩张性财政政策的“挤出效应”。
5、单项选择题 “松财政紧货币”使国民收入()。
A.增加
B.减少
C.不变
D.以上都有可能
点击查看答案
本题答案:D
本题解析:暂无解析
6、多项选择题 在“古典区域”内,()。
A.货币政策有效
B.财政政策有效
C.货币政策无效
D.财政政策无效
点击查看答案
本题答案:A, D
本题解析:暂无解析
7、问答题 什么是流动性偏好理论、这种理论如何有助于解释总需求曲线向右下方倾斜?
点击查看答案
本题答案:所谓流动性偏好,是指人们愿意以货币或存款的方式保存一些
本题解析:试题答案所谓流动性偏好,是指人们愿意以货币或存款的方式保存一些财富,其动机可能是交易、谨慎或投机。流动性偏好理论,是凯恩斯的利率决定理论。按照这个理论,总需求曲线向下倾斜是因为:
a,较高的价格水平提高了货币需求。
b,较高的货币需求导致较高的利率。
c,较高的利率减少了产品和货物的消费需求。价格水平和需求量负相关。
8、问答题 假定A为B提供服务应得报酬400美元,B为A提供服务应得报酬300美元,AB商定相互抵消300美元,结果A只收B100美元。应如何计入GNP?
点击查看答案
本题答案:计入GNP的是400+300美元。因为GNP计算的是生
本题解析:试题答案计入GNP的是400+300美元。因为GNP计算的是生产的最终产品和劳务的价值,至于相互抵消多少与GNP计量无关。
9、判断题 消费曲线的斜率等于边际消费倾向。
点击查看答案
本题答案:对
本题解析:暂无解析
10、单项选择题 当本国实施扩张性财政政策时()
A、本国均衡国民收入增加;
B、资本内流;
C、与本国有贸易关系的其他国家收入增加;
D、以上都正确。
点击查看答案
本题答案:D
本题解析:暂无解析
11、问答题 阐述为什么凯恩斯主义强调财政政策而货币主义者强调货币政策。
点击查看答案
本题答案:(1)凯恩斯主义强调财政政策。一般来说,由于货币的投机
本题解析:试题答案(1)凯恩斯主义强调财政政策。一般来说,由于货币的投机需求与利率成反方向关系,因而LM曲线向右上方倾斜。但是,凯恩斯主义认为,当利率降低到很低水平时,持有货币的利息损失很小;而如果将购买债券的话,由于债券价格异常高(利率极低表示债券价格极高),因而只会跌而不会再涨,从而使购买债券的货币资本损失的风险变得很大,这时,人们即使有闲置货币也不肯去购买债券,这就是说,货币的投机需求变得很大甚至无限大,经济陷人所谓凯恩斯陷阱状态,这时的货币需求曲线LM曲线呈水平状。如果政府增加支出,IS曲线右移,货币需求增加,并不会引起利率上升而产生挤出效应,于是财政政策非常有效;相反,这时政府如果增加货币供给量,则不可能再使利率进一步下降,因为人们再不肯去用多余的货币购买债券而宁愿让货币保留在手中,因此债券价格不会上升,即利率不会下降,既然如此,想通过增加货币供给使利率下降并增加投资和国民收人,就不可能,因此货币政策无效。因而凯恩斯主义首先强调财政政策而不是货币政策的作用。
(2)货币主义强调货币政策。当利率上升到相当高度时,因保留闲置货币面产生的利息损失将变得很大,而利率进一步上升将引起资本损失风险变得很小,这使得货币的投机需求完全消失。因为利率很高意味着债券价格很低,当债券价格低到正常水平以下时,买进债券不会使本金受到因债券价格下跌的损失。因而手中任何的闲置货币都可用来购买债券而不愿再让它保留在手中。由于利率涨到足够高度使货币投机需求完全消失,货币需求纯粹是由交易动机而产生,因而LM曲线就表现为垂直线形状。古典经济学认为人们的货币需求是由交易动机而产生,只和收人有关,而和利率波动无关,由此,垂直的LM曲线区域被认为是古典区域,也是货币主义认同的区域。LM曲线垂直时,货币政策非常有效而财政政策无效。因为,当人们只有交易需求而没有投机需求时,如果政策采用膨胀性货币政策,这些增加的货币将全部用来购买债券,而不愿为投机而持有货币,这样,增加货币供给就会导致债券价格大幅度上升,而利率大幅度下降,使投资和收人大幅度增加,因而货币政策很有效。相反,实行增加政府支出的政策则完全无效,因为支出增加时,货币需求增加会导致利率大幅度上升(因为货币需求的利率弹性极小,几近于零),从而导致极大的挤出效应,因而使得增加政府支出的财政政策效果极小,所以古典主义者强调货币政策的作用而否定财政政策作用。
12、判断题 在任何经济中,只要存在着通货膨胀的压力,就会表现为物价水平的上升。
点击查看答案
本题答案:错
本题解析:暂无解析
13、单项选择题 在浮动汇率制下,本国货币供给增加。()
A、IS曲线向右移动;
B、IS曲线向左移动;
C、LM曲线向右移动;
D、LM曲线向左移动。
点击查看答案
本题答案:C
本题解析:暂无解析
14、单项选择题 如果一国内部实现均衡,国际收支有顺差,这时适宜采取()
A、紧缩性财政政策;
B、紧缩性货币政策;
C、紧财政松货币政策;
D、松财政紧货币政策。
点击查看答案
本题答案:D
本题解析:暂无解析
15、名词解释 凯恩斯流动性偏好陷阱
点击查看答案
本题答案:凯恩斯认为当利率极低时,人们为了防范证券市场中的风险,
本题解析:试题答案凯恩斯认为当利率极低时,人们为了防范证券市场中的风险,将所有的有价证券全部换成货币,同时不论获得多少货币收入,都愿意持有在手中,这就是流动性陷阱。
16、判断题 居民购房支出属于个人消费支出
点击查看答案
本题答案:错
本题解析:暂无解析
17、多项选择题 在国民收核算中,除了国内生产总值之外还有另外四个重要总量,它们是()
A、国内生产净值
B、国民收入
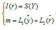
C、个人收入
D、政府收入
E、个人可支配收入
点击查看答案
本题答案:A, B, C, E
本题解析:暂无解析
18、单项选择题 在()情况下增加货币供给不会影响均衡收入的大小。
A.LM曲线和IS曲线一样平缓
B.LM曲线和IS曲线一样陡峭
C.LM曲线平缓.IS曲线垂直
D.LM曲线垂直.IS曲线平缓
点击查看答案
本题答案:C
本题解析:暂无解析
19、问答题 实际增长率、合意增长率和自然增长率不相等会出现什么情况?
点击查看答案
本题答案:(1)如果G>Gw,说明社会总需求超过厂商所合意的生产
本题解析:试题答案(1)如果G>Gw,说明社会总需求超过厂商所合意的生产能力,这时厂商将增加投资,投资的增加在乘数的作用下,使实际增长率更高,显得资本存量不足。其结果是需求膨胀,引起累积性持续扩张;
(2)如果G<Gw,说明社会总需求不足,厂商拥有的资本过剩,厂商将削减投资,由于乘数作用,实际增长率更低,显得资本更过剩。结果是收入下降,经济持续收缩;
(3)如果Gw>Gn,说明储蓄和投资的增长率超过了人口增长和技术水平条件下所能允许的程度,增长受劳动力不足和技术投机倒把的限制,出现资本闲置,厂商将削减投资,引起经济的长期停滞;
(4)如果Gw<Gn,说明储蓄和投资的增长率未达到人口增长和技术条件所要求的水平,因劳动力过多而使工资低廉,刺激经济形成长期高涨。因此,只有当G=Gw的情况下,经济才能均衡增长,否则将出现短期内经济收缩与扩张的波动。只有当Gw=Gn时,才能在既定的技术水平下实现充分就业,否则将使经济处于长期的失业或通货膨胀。当G=Gw=Gn时,可实现充分就业的均衡增长,这是一种最理想的经济增长状态。
20、名词解释 结构性失业
点击查看答案
本题答案:是由于劳动力供给和需求在职业、技能、产业、地区分布等方
本题解析:试题答案是由于劳动力供给和需求在职业、技能、产业、地区分布等方面的不协调所引起的失业。
21、判断题 弗里德曼认为,工人与厂商的幻觉,导致了短期菲利普斯曲线向右下方倾斜。
点击查看答案
本题答案:错
本题解析:暂无解析
22、问答题 为什么长期总供给曲线是一条垂直线?
点击查看答案
本题答案:在长期中,价格和货币工资都具有完全的伸缩性。当价格水平
本题解析:试题答案在长期中,价格和货币工资都具有完全的伸缩性。当价格水平变化,从而引起实际工资变化时,劳动市场均衡被打破,存在超额供给或超额需求,于是货币工资自动调整最后实际工资调整到使劳动市场均衡的水平。即在长期中,经济的就业水平并不随着价格水平的变动而变动,始终处于充分就业的状态,经济的产量水平也将位于潜在产量水平,不受价格变动的影响。
23、问答题&nb sp; 简述哈罗德一多马模型的基本公式及其含义。
点击查看答案
本题答案:哈罗德多马模型的基本公式可以表示为:
G=Y
本题解析:试题答案哈罗德多马模型的基本公式可以表示为:
G=Y/Y=s/v
它表明,当经济处于均衡时,国民收入增长率等于该社会的储蓄率除以资本一产出比。
哈罗德一多马模型反映了经济增长率与储蓄率和资本产出比之间的关系。在资本—产量比既定的条件下,如果要获得一定的增长率,就必须维持一定的能为投资所吸收的储蓄率;反之,若将一定的储蓄率形成的储蓄全部为投资所吸收,经济就必须保持一定的增长率。在资本产出比不变的条件下,储蓄率越高,经济的增长率越高,反之,储蓄率越低,经济增长率也就越低。
24、单项选择题 在国民收入统计中,社会保险税增加对()有直接影响。
A.国内生产总值
B.国民生产净值
C.个人收入
D.国民收入
点击查看答案
本题答案:C
本题解析:暂无解析
25、判断题 商业银行体系所能创造出来的货币量与法定准备率成反比,与最初存款成正比。
点击查看答案
本题答案:对
本题解析:暂无解析
26、单项选择题 新凯恩斯主义试图为工资和价格的缓慢调整提供()。
A.一个经济基础
B.一个中观经济基础
C.一个宏观经济基础
D.一个微观经济基础
点击查看答案
本题答案:D
本题解析:暂无解析
27、单项选择题 假设一个国家居民的边际消费倾向是0.8,平均的所得税税率是0.25,此时,如果中央政府决定增加该国西部高速公路建设财政资金50亿元,给定其他条件不变,那么根据简单乘数模型,这一政策将会使该国GDP发生怎样的变化()。
A.非充分就业
B.存在货币的流动性陷进
C.投资对利率的敏感度较大
D.现金持有率较低
点击查看答案
本题答案:C
本题解析:暂无解析
28、判断题 可支配收入是指GDP中可用于家庭支出或储蓄的那一部分。
点击查看答案
本题答案:对
本题解析:暂无解析
29、单项选择题 如果通货膨胀没有被预料到,则通货膨胀的受益者是()
A、股东
B、债权人
C、退求金领取者
点击查看答案
本题答案:A
本题解析:暂无解析
30、单项选择题 假设没有预期到石油输出国组织提高石油价格,这种不利的供给冲击将引起()
A、物价水平上升,实际国民生产总值增加
B、物价水平上升,实际国民生产总值减少
C、物价水平下降,实际国民生产总值增加
D、物价水平下降,实际国民生产总值减少
点击查看答案
本题答案:B
本题解析:暂无解析
31、单项选择题 根据流动性偏好理论,实际货币余额的供给()。
A.投资小于储蓄,且货币需求小于货币供给
B.投资小于储蓄且货币供给小于货币需求
C.投资大于储蓄,且货币需求小于货币供给
D.投资大于储蓄,且货币需求大于货币供给
点击查看答案
本题答案:A
本题解析:暂无解析
32、名词解释 国内生产净值
点击查看答案
本题答案:指GDP剔除资本损耗的净价值,整个社会净增的新价值总额
本题解析:试题答案指GDP剔除资本损耗的净价值,整个社会净增的新价值总额。NDP(或NNP)=GDP(或GNP)-折旧(depreciation)
33、单项选择题 GDP平减指数是用来衡量()。
A.一段时间内,收入在贫富之间分配的程度;
B.一段时间内,购买一定量的消费品的所需费用的变动程度:
C.由于更高的物价导致消费模式随时间而改变的程度;
D.消费品价格相对于工资增长的程度。
点击查看答案
本题答案:D
本题解析:暂无解析
34、问答题 如何搭配财政政策和货币政策来克服“滞胀”。
点击查看答案
本题答案:滞胀是指经济生活中出现了生产停滞、失业增加和物价水平居
本题解析:试题答案滞胀是指经济生活中出现了生产停滞、失业增加和物价水平居高不下同时存在的现象,它是通货膨胀长期发展的结果。当经济出现滞胀时,应采取紧的财政政策和松的货币政策。紧的财政政策可以抑制社会总需求,防止经济过旺和制止通货膨胀;松的货币政策在于保持经济的适度增长。因此,这种政策组合的效应就是在控制通货膨胀的同时,保持适度的经济增长。但货币政策过松,也难以制止通货膨胀。
35、问答题 能不能说有劳动能力的人都有工作做了才是充分就业?
点击查看答案
本题答案:不能。充分就业并不意味着100%的就业。因为即使有足够
本题解析:试题答案不能。充分就业并不意味着100%的就业。因为即使有足够的职位空缺,失业率也不会等于零,经济中仍然会存在摩擦性失业和结构性失业。在一个日新月异的经济中,永远会存在职业流动和行业的结构兴衰,所以总有少部分人处于失业状态。因而充分就业不可能做到有劳动能力的人都拥有工作。此外有些经济学家认为,如果空缺职位总额恰好等于寻业人员的总额,也就是需求不足型失业等于零的话,经济就实现了充分就业。还有些经济学家认为,如果再要提高就业率,必须以通货膨胀为代价的话,那么经济就实现了充分就业。
36、判断题 当国内存在通货膨胀而国际收支赤字时,可以通过采用紧缩性的政策来同时实现内外均衡。
点击查看答案
本题答案:对
本题解析:暂无解析
37、判断题 在开放经济中,国内总需求的增加将引起国民收入增加,贸易收支状况恶化。
点击查看答案
本题答案:对
本题解析:暂无解析
38、问答题 为什么边际消费倾向越大,边际税率越小,财政政策的效果越小?
点击查看答案
本题答案:边际消费倾向越大,边际税率越小,投资乘数越大。因此,当
本题解析:试题答案边际消费倾向越大,边际税率越小,投资乘数越大。因此,当扩张财政使利率上升并挤出私人部门投资时,国民收入减少得越多,即挤出效应越大,因而财政政策效果越小。在IS-LM模型中,边际消费倾向越大,边际税率越小,IS曲线就越平缓,这时财政政策就越小。
39、单项选择题 当人口增长律为n,劳动改善型技术进步的速率为g时,黄金律稳定状态有()。
A.没有考虑时间因素
B.没有考虑国际市场因素对国内市场的影响
C.没有考虑到货币和价格因素
D.没有考虑到货币政策的作用
点击查看答案
本题答案:B
本题解析:暂无解析
40、单项选择题 如果一国处于国内失业、国际收支有逆差的状况,这时适宜采取()
A、扩张性财政政策;
B、扩张性货币政策;
C、紧财政松货币政策;
D、松财政紧货币政策。
点击查看答案
本题答案:D
本题解析:暂无解析
41、单项选择题 财政政策的实际作用往往比简单乘数所表示的要小,这主要是因为简单乘数()
A、没有考虑时间因素
B、没有考虑国际市场因素对国内市场的影响
C、没有考虑货币和价格因素
D、没有考虑货币政策的作用
点击查看答案
本题答案:C
本题解析:暂无解析
42、单项选择题 根据鲍莫尔-托宾模型,去银行的固定成本的增加使货币需求()。
A.17340
B.15700
C.28000
D.10900
点击查看答案
本题答案:C
本题解析:暂无解析
43、名词解释 资本—产量比
点击查看答案
本题答案:哈罗德认为,一个经济社会的资本存量K和总产出Y之间存在
本题解析:试题答案哈罗德认为,一个经济社会的资本存量K和总产出Y之间存在一定的比例,即:
K=vY
其中,V被称为资本一产量比。生产过程中所使用的劳动和资本数量不能相互替代,因而每单位产出所消耗的资本量保持不变,因而资本产出比v是一个常数。
44、名词解释 自愿失业和非自愿失业
点击查看答案
本题答案:(1)自愿失业:指劳动者不愿意按照现行货币工资水平和工
本题解析:试题答案(1)自愿失业:指劳动者不愿意按照现行货币工资水平和工作条件就业而引起的失业。这种失业在西方不被看作是真正的失业。
(2)非自愿失业:指劳动者具有劳动能力并愿意按现行工资水平和工作条件就业,但由于有效需求不足而得不到工作造成的失业。
45、判断题 在短期内,工资提高或原材料价格上升较大幅度有可能引起滞胀。
点击查看答案
本题答案:对
本题解析:暂无解析
46、问答题 什么使电力系统零序参数?
点击查看答案
本题答案:任一元件两端的相序电压与流过改元件的相应相序电流之比称
本题解析:试题答案任一元件两端的相序电压与流过改元件的相应相序电流之比称为该元件的零序参数,或者叫零序阻抗。其特点是和电网结构特别是和变压器的接线方式及中性点接地方式有关。
1.当三相变压器的一侧接成三角形或中性点不接地的星形时,该侧变压器的的零序电抗总为无穷大。当变压器的一次绕组接成星形且中性点接地时,这侧的零序阻抗才是有限的。
2.对于输电线路,零序阻抗与平行线路的回路数、有无架空地线及地线的导电性能等因素有关。没有架空地线,或架空地线导电性差,会使零序阻抗增大;平行线路的回路数越多,零序阻抗越大。
47、单项选择题 经济处于严重衰退时,适当的经济政策应当是()。
A.减少政府支出
B.降低利息率
C.使本国货币升值
D.提高利息率
点击查看答案
本题答案:B
本题解析:暂无解析
48、单项选择题 已知某国资本品存量在年初为10000亿美元,它在本年度生产了2500亿美元资本品,资本消耗折旧是2000亿美元,则该国在本年度的总投资和净投资分别是()亿美元
A、2500和500
B、12500和10500
C、2500和2000
D、7500和8000
点击查看答案
本题答案:A
本题解析:暂无解析
49、单项选择题 下述哪一项不属于总需求()
A、税收
B、政府支出
C、净出口
D、投资
点击查看答案
本题答案:A
本题解析:暂无解析
50、单项选择题 经济学家用来衡量经济产出价值的统计数字是()。
A.一般物价水平;
B.银行利率水平;
C.公众支付习惯;
D.物品和劳务的相对价格。
点击查看答案
本题答案:D
本题解析:暂无解析
51、单项选择题 下面哪一种说法表达了加速原理()
A、消费支出随着投资支出增长率的变化而变化;
B、国民收入随着投资支出的变化而变化;
C、投资支出随着国民收入增量的变化而变化。
点击查看答案
本题 答案:C
本题解析:暂无解析
52、单项选择题 假如乘数为4,投资增加100亿元,均衡的实际GDP将()
A、增加400亿元
B、增加大于400亿元
C、增加小于400亿元
D、不能确定
点击查看答案
本题答案:A
本题解析:暂无解析
53、单项选择题 在其他条件不变时,货币供应量的增加会使()
A、LM曲线向左上方移动
B、IS曲线向左上方移动
C、AS曲线向右上方移动
D、AD曲线向右上方移动
点击查看答案
本题答案:D
本题解析:暂无解析
54、单项选择题 要研究一国人民生活水平的变化,应该考察()
A、实际消费总额
B、人均实际消费额
C、实际国民生产总值
D、人均实际国民生产总值
点击查看答案
本题答案:C
本题解析:暂无解析
55、单项选择题 在四部门经济中,若I、S、G、T、X、M同时增加,则均衡收入()
A、不变
B、趋于增加
C、趋于减少
D、不确定
点击查看答案
本题答案:C
本题解析:暂无解析
56、判断题 剑桥方程中的货币是指在货币流通速度既定条件下,社会为完成一定的交易所需要的货币量,或者说是“飞翔的货币”。
点击查看答案
本题答案:错
本题解析:暂无解析
57、名词解释 潜在GDP和实际GDP
点击查看答案
本题答案:(1)潜在GDP:指利用社会上一切可利用的资源所能生产
本题解析:试题答案(1)潜在GDP:指利用社会上一切可利用的资源所能生产的产品和劳务的最大量值,也称为充分就业的GDP,它不是实际产出量。
(2)实际GDP:以过去某年的基期价格为标准计算出来的价值,实际GDP取决于社会总支出水平或者说有效需求水平。
58、单项选择题 若边际储蓄倾向为0.3,投资支出增加60亿元,可以预期,这将导致均衡GDP水平增加()
A.20亿元;
B.60亿元;
C.180亿元;
D.200亿元。
点击查看答案
本题答案:D
本题解析:暂无解析
59、单项选择题 根据生命周期假说,如果消费者想要均等其每年的消费量且利率为0,那么他财富的边际消费倾向()。
A.均衡而货币市场非均衡
B.和货币市场均非均衡
C.和货币市场同时达到均衡
D.处于充分就业均衡
点击查看答案
本题答案:C
本题解析:暂无解析
60、判断题 通过向商业银行或公众出售债券来弥补扩张财政政策带来的赤字,不会产生挤出效应。
点击查看答案
本题答案:错
本题解析:政府出售债券将无助于利率的降低,并带来商业银行信贷萎缩。会产生挤出效应。
61、单项选择题 对欧元和美元两种货币来说,如果欧元的汇率上升,那么美元的汇率将()。
A.为负值
B.为零
C.为正值
D.等于1
点击查看答案
本题答案:A
本题解析:暂无解析
62、问答题 简述影响财政政策效应的因素
点击查看答案
本题答案:制约财政政策发挥作用的因素主要来自于三个方面。
本题解析:试题答案制约财政政策发挥作用的因素主要来自于三个方面。
(1)相机抉择的财政政策有政策滞后问题。所谓政策滞后是对经济运行采取的财政政策发挥作用的时间对这一运行状态的滞后。产生政策滞后的原因主要有以下几个方面:对经济形势的判断需要时间;研究和制定对策需要时间;政策实施需要时间;政策发挥作用又需要时间。由于这种时滞的存在,针对某一经济形势制定的经济政策措施到发挥作用时经济形势己经改变,甚至相反,因而限制了财政政策的效果。
(2)相机抉择的财政政策会遇到“挤出效应”问题。挤出效应是指增加政府投资对私人投资产生的挤占效应。由于增加政府投资可能导致财政赤字,如果用发行公债的方式弥补赤字,结果可能因公众投资转向公债而减少私人投资,所以增加政府投资所增加的国民收人可能因为私人投资减少而利息率不变的条件下得到的,如果利息率随着这些因素变动而变动,则乘数不可能达到理论分析的程度。
(3)相机抉择的财政政策也会遇到政治上的阻力。例如,政府减少政府购买和转移支付,会遭到选民的反对,而增税更会引起社会的不满。这些阻力可能使得政府不得不顾及政治目标。
63、单项选择题 当什么时候总需求曲线更加陡峭()。
A.0.2
B.0.8
C.1
D.1.2
点击查看答案
本题答案:B
本题解析:暂无解析
64、问答题 为什么从公司债券得到的利息应记入GNP,而人们从政府得到的公债利息不计入GNP?
点击查看答案
本题答案:购买公司债券实际上是借钱给公司用,公司从人们手中借到了
本题解析:试题答案购买公司债券实际上是借钱给公司用,公司从人们手中借到了钱做生产用,比方说购买机器设备,就是提供了生产性服务,可被认为创造了价值,因而公司债券的利息可看作是资本这一要素提供生产性服务的收入,当然要记入GNP。可是,政府的公债利息被看作是转移支付,因为政府借的债不一定投入生产活动,而往往用于弥补财政赤字。政府公债利息常常被看作是从纳税人身上取得收入加以支付的,因而习惯上被看作是转移支付。
65、问答题 简单的国民收入决定模型、IS——LM模型、AS——AD模型有何内在联系?
点击查看答案
本题答案:简单的国民收入决定模型假设价格不变,利率不变,用乘数理
本题解析:试题答案简单的国民收入决定模型假设价格不变,利率不变,用乘数理论阐述总产出决定和政策效应,实际上是总需求分析。IS——LM模型坚持价格不变的假设,重点引入货币因素从而利率变动对国民收入的影响;该模型在利率不变情况下分析国民收入的决定,对财政政策效应的分析既保留了乘数效应,又加入了挤出效应,也分析了货币政策效应。但是,该模型仍然属于总需求分析。AS——AD模型放弃了价格不变的假设,加入了劳动市场,分析价格水平变动对总供给和总需求的影响;该模型在价格可变的情况下分析了总产出和价格水平的决定;不仅分析了需求管理政策的产出效应,而且分析了它的价格效应;不仅分析了总需求,而且分析了总供给。
66、单项选择题 缓解需求拉上型通货膨胀压力的正确措施是()。
A.卖出政府证券,提高法定准备金率,并提高再贴现率
B.购买政府证券,提高法定准备金率,并提高再贴现率
C.卖出政府证券,降低法定准备金率,并降低再贴现率
D.卖出政府证券,提高法定准备金率,并降低再贴现率
点击查看答案
本题答案:A
本题解析:暂无解析
67、单项选择题 一个家庭当其收入为零时,消费支出为2000元,而当其收入为6000元时,其消费为6000元,在图形上,消费和收入之间成一条直线,则其边际消费倾向为()
A、2/3
B、3/4
C、4/5
D、1
点击查看答案
本题答案:A
本题解析:暂无解析
68、问答题 平衡预算的财政思想和功能财政思想有何主要区别?
点击查看答案
本题答案:平衡预算的财政思想指财政收入与支出相平衡,财政预算盈余
本题解析:试题答案平衡预算的财政思想指财政收入与支出相平衡,财政预算盈余等于零的财政思想。功能财政思想是一种积极的财政预算思想,政府财政预算的主要目标是促进经济在价格稳定下的充分就业增长,政府可以采取相机抉择的财政政策。平衡预算思想和功能财政思想的主要区别在于前者强调财政收支平衡,把预算平衡作为预算目标。而后者则强调充分就业,认为财政预算的平衡与否本身不是目的,而只是实现无通货膨胀的充分就业经济增长的手段。
69、单项选择题 假设美国的通货膨胀率是10%,英国的通货膨胀率是12%,若美元对英镑的名义汇率升值了3%,那么美元对英镑的实际汇率升值了()。
A.产出和利率的下降
B.消费的上升和利率的上升
C.IS曲线更加平坦
D.支出乘数的上升
点击查看答案
本题答案:A
本题解析:暂无解析
70、单项选择题 假定资本完全流动,相对于大型开放经济,在小型开放经济中()。
A.货币需求对收入富有弹性
B.投资对利率变得更富有弹性
C.收入所得税提高
D.以上都不是
点击查看答案
本题答案:B
本题解析:暂无解析
71、问答题 经济波动为什么会有上限和下限?
点击查看答案
本题答案:由于乘数和加速数的结合,经济中将自发地形成周期性的波动
本题解析:试题答案由于乘数和加速数的结合,经济中将自发地形成周期性的波动,它由扩张过程和收缩过程所组成,但是,即便依靠经济本身的力量,经济波动也有一定的界限。经济波动的上限是指无论怎样增加都不会超过一定界限,它取决于社会已经达到的技术水平和一切资源可以被利用的程度。在既定的技术条件下,如果社会上一切可被利用的生产资源已充分利用,经济的扩张就会遇到不可逾越的障碍,产量停止增加,投资也就停止增加,甚至减少。这就是经济波动的上限。经济波动的下限是指产量或收入无论怎样收缩都不会再下降的一条界限,它取决于总投资的特点和加速作用的局限性。因为总投资降至最小时即为本期不购买任何机器设备,也即总投资为零,它不可能小于零。这就构成了衰退的下限。又因为从加速原理来看,它是在没有生产能力剩余的情况下才起作用。如果厂商因经济收缩而开工不足。企业的过剩的生产能力,则加速原理就不起作用了。此时,只有乘数作用,经济收缩到一定程度后就会停止收缩,一旦收入不再下降,乘数作用又会使收入逐渐回升。这就是经济波动的下限。
72、名词解释 价格指数
点击查看答案
本题答案:价格指数是以一定时期为基年表示的若干商品价格水平上升的
本题解析:试题答案价格指数是以一定时期为基年表示的若干商品价格水平上升的幅度。依照于统计中选取的商品种类不同,价格指数包括消费物价指数、批发物价指数和国内生产总值折算指数等。
73、问答题 为什么本国货币升值会使出口减少进口增加?
点击查看答案
本题答案:这主要是由于本国货币对外国货币的汇率变化后,会影响两国
本题解析:试题答案这主要是由于本国货币对外国货币的汇率变化后,会影响两国的进出口商品及劳务的国内外比价。一国货币升值后,以外国货币表示的本国出口商品的价格上升,那么出口品在外国市场上的竞争力下,出口会下降;相反,进口商品本身本币的价格相应下降,需求会上升,因而会扩大进口。
74、名词解释 国民生产净值
点击查看答案
本题答案:是指一个国家所拥有的生产要素在一定时期内(通常为一年)
本题解析:试题答案是指一个国家所拥有的生产要素在一定时期内(通常为一年)所创造的按市场价格计算的价值,即国民生产总值扣除折旧以后的余额,它反映了新增加的价值。英文简称NNP。
75、单项选择题 对一个经济来说,哪种情况是正确的()
A、总收入等于总支出,但不总是等于国民生产总值
B、总收入等于国民生产总值,但一般要小于总支出
C、总收入等于总支出等于国民生产总值
D、只有在两部门经济中,总收入等于国民生产总值
点击查看答案
本题答案:C
本题解析:暂无解析
76、名词解释 资本深化
点击查看答案
本题答案:人均储蓄超过资本广化或人均储蓄在与补充原有资本折旧和配
本题解析:试题答案人均储蓄超过资本广化或人均储蓄在与补充原有资本折旧和配备新工人后)而导致人均资本上升的情况。
77、单项选择题 西方国家中央银行最经常使用、最灵活有效的货币政策手段是()。
A.法定存款准备金
B.再贴现率
C.公开市场业务
D.道义劝告
点击查看答案
本题答案:C
本题解析:暂无解析
78、填空题 针对单纯经济增长造成的问题,罗马俱乐部的第一个报告麦都斯的()提出零经济增长论。
点击查看答案
本题答案:《增长的极限》
本题解析:试题答案《增长的极限》
79、单项选择题 如果政府购买支出的增加与转移支付的减少相等,收入水平的变动情况是()。
A.不变
B.增加
C.减少
D.无法确定
点击查看答案
本题答案:B
本题解析:暂无解析
80、单项选择题 假如一套住宅于某年上半年建造并以9000美元出售,下半年出租,租金为600美元,同期折旧90美元,则该年度与此经济活动有关的总投资、消费和GDP分别为()。
A.它只有与货币政策结合时才可能
B.如果经济处于流动性陷进,结果将不同
C.利率上升,导致储蓄水平下降
D.产出构成会发生变动
点击查看答案
本题答案:D
本题解析:暂无解析
81、单项选择题 不可能三角指的是对一个国家而言,不可能同时()。
A.边际消费倾向为0.6
B.边际消费倾向为0.1
C.边际消费倾向为0.4
D.边际消费倾向为0.3
点击查看答案
本题答案:B
本题解析:暂无解析
82、问答题 画图用AD-AS模型简要说明经济滞胀的成因?
点击查看答案
本题答案:滞胀又称为萧条膨胀或膨胀衰退,即大量失业和严重通货膨胀
本题解析:试题答案滞胀又称为萧条膨胀或膨胀衰退,即大量失业和严重通货膨胀同时存在的情况。如发生在上西方资本主义世界60年代末70年代初的经济滞胀,主要是由于石油输出国组织限产提价,石油依赖程度高的国家进口原油价格上升,导致国内生产成本提高,总供给下降的冲击。
如图:
在总需求不变情况下,由于总供给刺激,AS1移动到AS2,均衡点发生移动,这时国民收入下降,有Y1到Y2,失业率增加;同时价格水平也上升,有P1上升到P2,出现通胀。
83、名词解释 收入法
点击查看答案
本题答案:收入法是用出售最终商品和劳务获得的收人来测算GD、P的
本题解析:试题答案收入法是用出售最终商品和劳务获得的收人来测算GD、P的方法。由于厂商出售产品获得的收入是生产中所使用的各种生产要素的收益,因而收入法测算的GD、P是所有生产要素的货币收人的总和。
84、问答题 简述短期总供给曲线的特征及其经济含义。
点击查看答案
本题答案:在短期内,总供给曲线最初随着价格总水平提高而平缓上升,
本题解析:试题答案在短期内,总供给曲线最初随着价格总水平提高而平缓上升,当价格总水平上升到一定程度之后,总供给曲线在潜在产出水平附近接近于是一条垂直的直线。短期总供给曲线呈现此种形状的原因是短期生产要素价格不变造成的。由于在短期内工资等要素价格保持不变,价格总水平提高引起厂商供给量的增加,从而使得经济中商品和劳务的总额增加。当经济存在大量超额生产能力时,价格提高使得产量以较大幅度增加,但当经济接近于生产能力时,受生产能力的限制,价格提高,产量增加幅度很小。因而随着价格总水平的提高,总供给曲线呈现先缓慢上升,后逐渐陡峭而至垂直的特点。
85、单项选择题 假定你的永久性收入是过去5年收入的平均,你总是消费掉你永久性收入的90%。假如你过去5年的第1年收入为20000元,以后每年增加1000元。你当前的消费是()。
A.LM曲线陡峭而IS曲线平缓
B.LM曲线和IS曲线都陡峭
C.LM曲线平缓而IS曲线垂直
D.LM曲线和IS曲线都平缓
点击查看答案
本题答案:C
本题解析:暂无解析
86、单项选择题 中央银行影响商业银行从中央银行贷款数量的传统货币政策手段是()。
A.公开市场业务
B.再贴现率
C.道义劝告
D.法定存款准备金
点击查看答案
本题答案:B
本题解析:暂无解析
87、问答题 简述影响货币政策效果的因素。
点击查看答案
本题答案:货币政策是政府宏观干预的重要手段之一,它通过影响货币供
本题解析:试题答案货币政策是政府宏观干预的重要手段之一,它通过影响货币供给量影响LM曲线而对利息率产生影响,并影响投资,最终影响收入。但是,在实际应用中,货币政策对收入的影响会受到下列因素的制约。
(l)流动偏好陷阱。依照凯恩斯理论,当利息率降低到一定程度时,流动偏好引起的货币需求趋向于无穷,即人们处于流动偏好陷井。此时,无论货币供给量增加多少,其降低利息率的作用都非常小。这表明,当经济处于流动偏好陷阱状态时,货币政策通过降低利率来刺激投资的作用是有限的。
(2)政策时滞的影响。与财政政策一样,货币政策的效果也受到政策时滞的影响。从中央银行对经济形势做出判断、分析、制定政策到实施,都会产生滞后。这些滞后制约着货币政策准确有效地发挥作用。
(3)货币政策手段本身的局限性。变更再贴现率是中央银行间接控制商业银行准备金的重要手段,但这种手段的效果受到商业银行行为的制约。例如,当中央银行降低再贴现率时,商业银行未必增加贴现,至少不一定按照中央银行的意图增加再贴现数量。
以上原因使得货币政策在实践中的作用受到某些限制。普遍认为,货币政策是调节宏观经济运行的间接手段,它对通货膨胀的影响程度要大于对收入的影响。
88、判断题 宏观经济学研究国民收入的决定和变动。
点击查看答案
本题答案:对
本题解析:暂无解析
89、名词解释 IS曲线
点击查看答案
本题答案:反映产品市场上均衡收入和利率相互关系的曲线叫做IS曲线
本题解析:试题答案反映产品市场上均衡收入和利率相互关系的曲线叫做IS曲线。
90、判断题 凯恩斯学派倾向于怀疑自由市场经济“看不见的手”的作用,更提倡政府在促进宏观经济中的作用。
点击查看答案
本题答案:对
本题解析:暂无解析
91、单项选择题 持有存货的机会成本是()。
A.将导致非计划的库存投资,从而收入下降
B.收入必须上升以使条件I=S成立
C.节俭悖论预示着人们越节俭将会导致储蓄曲线越向下移动
D.为了使经济达到均衡,投资将会上升至240亿元
点击查看答案
本题答案:A
本题解析:暂无解析
92、多项选择题 新古典宏观经济学的假说主要有()。
A.理性预期假说
B.市场出清假说
C.自然率或总供给假说
D.政策的时间不一致性假说
点击查看答案
本题答案:A, B, C
本题解析:暂无解析
93、填空题 交易余额和预防余额主要取决于(),投机余额主要取决于()。
点击查看答案
本题答案:国民收入、利息率
本题解析:试题答案国民收入、利息率
94、单项选择题 抑制通货膨胀的收入政策是指()
A、收入初次分配;
B、收入再分配;
C、收入、价格管制;
D、其他。
点击查看答案
本题答案:C
本题解析:暂无解析
95、单项选择题 传统的菲利普斯曲线显示,如果采取扩张性财政政策来刺激总产出和就业,则()。
A.消费和储蓄将上升
B.消费和储蓄将下降
C.消费将下降,但储蓄将上升
D.消费将上升,但储蓄将下降
点击查看答案
本题答案:B
本题解析:暂无解析
96、问答题 什么是自然失业率?哪些因素影响自然失业率的高低?
点击查看答案
本题答案:对于什么是自然失业率,经济学家有着不同的看法,一般地讲
本题解析:试题答案对于什么是自然失业率,经济学家有着不同的看法,一般地讲,自然失业率是指经济中只存在摩擦性失业和结构件失业的失业率,当实际失业率等于自然失业率时,就看作实现了充分就业。因此,自然失业率又称充分就业的失业率。
失业持续的时间和失业频率是影响自然失业率的两个主要因素。失业持续的时间取决于经济周期及劳动力市场结构,从劳动力市场结构看,劳动力市场组织(职业介绍所、就业服务机构等)、失业人口构成(性别、年龄、文化程度等)、失业者就业意愿和能力以及失业救济合制度等,都影响着失业持续的时间。失业频率是劳动力在一定时期内变为失业者的平均次数。一般来说,企业对劳动力需求变化越大,失业频率越高;新劳动力增长速度越快,失业频率也越高。总之,失业持续的时间越长,失业频率越高,自然失业率就越高。
97、名词解释 交易动机
点击查看答案
本题答案:交易动机是指人们为了应付日常交易而在手边留有货币的动机
本题解析:试题答案交易动机是指人们为了应付日常交易而在手边留有货币的动机,人们之所以具有交易动机,原因在于交易发生的时间和取得收入的时间不同步。
98、单项选择题 实际GDP等于()
A、价格水平除以名义GDP;
B、名义GDP除以价格水平;
C、名义GDP乘以价格水平;
D、价格水平乘以潜在GDP。
点击查看答案
本题答案:B
本题解析:暂无解析
99、问答题 简述影响IS曲线移动的因素。
点击查看答案
本题答案:答:IS曲线是由市场均衡条件I(r)=S(Y)得到的,
本题解析:试题答案答:IS曲线是由市场均衡条件I(r)=S(Y)得到的,当决定投资和储蓄的因素发生变动时,IS曲线的位置也会相应地发生改变。首先,投资变动,若投资增加,同一利息对应的均衡国民收入增加,从而IS曲线向右上方移动。反之,若投资减少,则IS曲线将向左下方移动。其次,若储蓄变动,储蓄增加导致均衡国民收入下降,因而相同的利息率对应的均衡国民收入量减少,即IS曲线向左下方移动;反之,当储蓄减少时,IS曲线将向右上方移动。
总之,投资增加或者储蓄减少,IS曲线向右上方移动:投资减少或者储蓄增加,IS曲线向左下方移动。
100、问答题 简述4种不同的然而相互补充的效率工资理论。
点击查看答案
本题答案:现代效率工资理论一般都与选择或激励问题有关。效率工资理
本题解析:试题答案现代效率工资理论一般都与选择或激励问题有关。效率工资理论可分为、逆向选择模型、劳动力流失模型、偷懒模型和公平模型四种。
(1)逆向选择模型
劳动市场存在不对称信息。被雇佣工人对自身能力、忠诚和承诺的信息比雇主多,而且被雇佣工人试图把那些传递关于其自身素质的信息的各种标志(如教育程度,以前的工作记录和目前要求的工资等)提供给潜在的雇主。由于招聘和辞退的成本不可忽视,厂商不愿意在雇到工人之后才发现他们得辞退那些生产率低的人。在弄明白工人无法满足生产要求以前,厂商可能需要投入大量资源培训新工人。避免这一问题的一种方法是,企业以高工资的形式向劳动市场发送一个信号。厂商提供的工资同时影响工作申请者的数量和质量。如果工人的能力与其要求的工资紧密相关,那么高工资将吸引生产率最高的工作申请者,而任何低于效率工资还愿工作的人将被看作一个潜在的“劣等品”。即使在现行工资下存在劳动力的过度供给,厂商也不愿降低工资,因为这很可能导致生产率最高的工人自愿辞职。结果就出现一个就业不足均衡。
(2)劳动力流失模型
企业可能提供高于市场出清工资水平的效率工资的第二个原因,是为了减少劳动力流失的成本。职员流失对于厂商来说代价是很大的。如果厂商提供的工资高于现行工资,工人辞职的愿望将显著降低。由于辞职率是真实工资率的减函数,所以厂商就有激励支付效率工资以减少劳动力的流失。如果所有企业都提高工资率以防止工人辞职,那么,劳动市场必然存在非自愿失业。
(3)偷懒模型
在厂商与工人之间的委托-代理关系中,由于信息不对称,收集单个工人生产率的信息和连续监督工人对厂商来说成本很大。高于均衡工资的效率工资的支付可能提供一种防止工人偷懒的激励。在市场出清工资下,工人能够迅速找到一个新工作,故解雇对工人来说就不是一个有效的威胁。如果所有企业都支付高于市场出清的工资,经济中就会存在失业,从而工人就会有不偷懒的激励,因为此时被解雇有一真实成本(失业),使得偷懒对每个工人都变得风险更大。
(4)公平模型
公平模型认为,人都有一种内在的心理需要,那就是希望自己得到公平的待遇,否则,其士气就会受到不利影响。工人的努力程度是其士气的增函数,而影响士气的一个主要因素就是工人从一个被看作正常状况的给定的工作标准上得到的报酬是否公平。由于对公平没有绝对的衡量标准,人们通过与处境相似的其他工人(企业内部和外部)的比较来衡量公平程度。如果企业付给工人的工资高于市场工资,工人的反应将是提高其群体工作的标准,从而向企业提供一个高生产率礼物,以与高工资相交换。相反,感觉受到不公平对待的工人就会相应降低其努力程度。由于公平工资超过市场出清工资,必然产生非自愿失业。这种解释真实工资刚性的独创性理论的精髓是,如果工人认为受到不公平待遇,企业人力资本的士气很易于受到伤害。那些看重自己名声的企业或希望获得其劳动力的更高士气和更多忠心的企业将付出被认为是公平的效率工资。
101、单项选择题 投资支出急剧减少的情况下,为保证经济维持在充分就业状态政府应()。
A.使税收和政府支出相等
B.使税收超过政府支出
C.使政府支出超过税收
D.提高税率
点击查看答案
本题答案:C
本题解析:暂无解析
102、多项选择题 “适应性预期”的特征主要有()。
A.人们力求做出正确的预期
B.人们只能利用过去的信息进行预期
C.人们只能缓慢地调整预期误差
D.预期误差具有系统性
点击查看答案
本题答案:B, C, D
本题解析:暂无解析
103、单项选择题 AD曲线上任意一点均代表了()。
A.企业购买产品
B.政府购买产品
C.出口产品
D.进口产品
点击查看答案
本题答案:D
本题解析:暂无解析
104、问答题
简述IS—LM模型
点击查看答案
本题答案:使得产品和货币市场同时处于均衡的收入Y和利息率r必须同
本题解析:试题答案使得产品和货币市场同时处于均衡的收入Y和利息率r必须同时满足产品和货币市场的均衡条件。由产品市场的分析知道,当投资等于储蓄时产品市场处于均衡。因此,产品市场的均衡可以由I(r)=S(Y)加以表示。由货币市场的分析知道,当货币需求等于货币供给时,货币市场处于均衡,因此,货币市场的均衡可以由m=L1(Y)+L2(r)加以表示。这样,使得产品和货币市场同时处于均衡的收人Y和r的组合一定满足下面的两个条件:
上式被称为IS-LM模型。
105、判断题 收入政策以控制工资增长率为中心,其目的在于制止成本推动的通货膨胀。
点击查看答案
本题答案:对
本题解析:暂无解析
106、单项选择题 假定其它条件不变,如果汇率上升,总需求()。
A.增加
B.不变
C.减少
D.难以确定
点击查看答案
本题答案:C
本题解析:暂无解析
107、判断题 宏观经济的主要目标之间具有冲突性。
点击查看答案
本题答案:对
本题解析:暂无解析
108、问答题 简述供给学派的基本观点,或简述供给主义学派的理论与主张。
点击查看答案
本题答案:供给主义学派是于二十世纪70年代初形成于美国的一个经济
本题解析:试题答案供给主义学派是于二十世纪70年代初形成于美国的一个经济学派。它的显著特点是强调经济的供给方面,与凯恩斯主义和货币主义都不同。供给主义学派否定凯恩斯主义,赞同萨伊学说,认为凯恩斯需求管理政策直接导致了滞胀的恶果。对于经济增长,供给主义学派认为产量增长取决于要素投入和生产率提高。因此,主张否定凯恩斯以需求刺激经济的主张,恢复供给创造需求的萨伊定律。
供给主义学派特别重视供给方面,提出降低税率以刺激供给。降低税率不是笼统地降低,而是降低边际税率。其主要原因有三:一是降低边际税率可以刺激人们劳动的积极性。人们的税后可支配收入随工资的上升而快速上长。诺贝尔经济学奖获得者经济学家莫利斯证明了最高边际税率应该为零;二是降低边际税率可刺激投资的积极性。通过刺激投资,增加资本存量,促进经济增长;三是边际税率与税收收入多少不一定同向变动。有时高的边际税率会减少税收收入。
109、问答题 简述货币政策传导过程
点击查看答案
本题答案:货币政策传导过程包括三个层次:
(1)调节存
本题解析:试题答案货币政策传导过程包括三个层次:
(1)调节存款准备金和对商业银行贷款数量,影响商业银行的行为;
(2)商业银行做出反应,相应调整对企业和居民的贷款规模;
(3)经过货币创造乘数作用,影响货币供给量的变动,改变市场利率水平。
110、单项选择题 ()不是经济中的内在稳定器。
A.工资、利息和租金
B.净出口
C.业转移支付及企业间接税
D.资本折旧
点击查看答案
本题答案:B
本题解析:暂无解析
111、问答题 什么因素导致货币和财政政策对总需求影响的时滞?这些时滞对积极和消极的政策的争论的含义是什么?
点击查看答案
本题答案:因为好多家庭和公司提前做好了消费和支出计划,所以需要一
本题解析:试题答案因为好多家庭和公司提前做好了消费和支出计划,所以需要一定时间,人们总需求才会对利率调整做出反应。其结果,增加了实行积极和消极的货币财政政策的困难。因为经济并不是对政策立刻做出响应。
112、问答题 说明影响均衡收入和均衡利息率变动的因素。
点击查看答案
本题答案:IS曲线和LM曲线的交点决定了均衡的国民收人和均衡的利
本题解析:试题答案IS曲线和LM曲线的交点决定了均衡的国民收人和均衡的利息率,所有引起IS曲线和LM曲线变动的因素都会引起均衡收入和均衡利息率的变动。
影响IS曲线移动的因素有:投资、政府购买、储蓄(消费)、税收。如果投资增加、政府购买增加、储蓄减少(从而消费增加)、税收减少,则IS曲线向右上方移动,若LM曲线位置不变,均衡国民收入量增加,均衡利息率提高。相反,如果投资减少、政府购买减少、储蓄增加(从而消费减少)、税收增加,则IS曲线向左下方移动,若LM曲线位置不变,均衡国民收入量减少,均衡利息率升高。
影响LM曲线移动的因素有:货币需求、货币供给。如果货币需求减少、货币供给增加,则LM曲线向右下方移动,假定IS曲线的位置保持不变,均衡国民收入增加,均衡利息率下降。反之,如果货币需求增加、货币供给减少,则LM曲线向左上方移动,在IS曲线位置不变条件下,均衡国民收入减少,均衡利息率升高。
此外,IS曲线和LM曲线同时变动也会使得均衡国民收入和均衡利息率发动变动。均衡国民收入和均衡利息率变动的结果要取决于IS曲线和LM曲线变动的方向和幅度。
113、判断题 投资预期比较悲观的情况下,财政政策的效果将削弱。
点击查看答案
本题答案:对
本题解析:暂无解析
114、问答题 定义净出口与资本净流出。解释它们如何相关以及为什么相关。
点击查看答案
本题答案:净出口就是国内生产国外销售的物品和劳务的价值,减去国外
本题解析:试题答案净出口就是国内生产国外销售的物品和劳务的价值,减去国外生产国内销售的物品和劳务的价值。资本净流出是国内居民获得的国外资产减去国外居民获得的国内资产。资本净流出等于净出口。
115、单项选择题 LM曲线通常情况下是()。
A.面包厂购买的面粉
B.家庭主妇购买的面粉
C.家庭主妇购买的股票
D.以上各项都不计入
点击查看答案
本题答案:B
本题解析:暂无解析
116、问答题 为什么存货被算作资本,存货变动会被算作投资?
点击查看答案
本题答案:存货对厂商来说,像设备一样,能提供某种服务,例如,当市
本题解析:试题答案存货对厂商来说,像设备一样,能提供某种服务,例如,当市场发生意料之外的需求增加时,存货可应付这种临时增加的需要,同时,生产过程要连续不断地维持下去,仓库也必须有足够的原料储备。至于商店,更需要库存必须的商品,才能满足顾客的需要。可见,库存对厂商的正常经营来说是必不可少的,它构成资本存量的一部分。GNP是某经济社会在每一时期所生产的产品价值。如果把存货排除在GNP之外,所计得的就只是销售额,而不是生产额。例如,某国某年生产了9000亿美元产值,但只卖掉8500亿美元,还有500亿美元要作为存货投资计入GNP,即看作企业自己购买存货的支出计入GNP。
117、单项选择题 自发投资支出增加10亿美元,会使IS()。
A.右移10亿美元
B.左移10亿美元
C.右移支出乘数乘以10亿美元
D.左移支出乘数乘以10亿美元
点击查看答案
本题答案:C
本题解析:暂无解析
118、单项选择题 边际储蓄倾向若为0.25,则边际消费倾向为()
A、0.25
B、0.75
C、1.0
D、1.25
点击查看答案
本题答案:B
本题解析:暂无解析
119、单项选择题 经济初始的资本存量低于黄金律水平的资本存量,在向新的稳定状态过渡的过程中,提高储蓄率会导致投资()。
A.居民改变消费倾向;
B.私人投资减少;
C.公共投资减少;
D.居民储蓄减少。
点击查看答案
本题答案:B
本题解析:暂无解析
120、单项选择题 假设已经实现充分就业,且总供给曲线为一条垂线,则减税会导致()。
A.实际利率很低;
B.名义利率很低;
C.实际利率很高;
D.名义利率很高。
点击查看答案
本题答案:A
本题解析:暂无解析
121、判断题 在资源没有充分利用时,增加储蓄会使国民收入减少,减少储蓄会使国民收入增加。
点击查看答案
本题答案:对
本题解析:暂无解析
122、判断题 累进税下,税收收入在经济扩张时期会自动减少,而在经济衰退时期会自动增加。
点击查看答案
本题答案:错
本题解析:在经济扩张时期,收入水平提高,累进税下的税收自动增加;经济衰退时自动减少。
123、单项选择题 货币政策指中央银行为实现既定的经济目标,运用各种工具调节()的一种金融政策和措施。
A.货币供给和利率
B.货币需求与利率
C.货币需求与供给
D.货币流通速度
点击查看答案
本题答案:A
本题解析:暂无解析
124、问答题 能源是我国国民经济的薄弱环节,其原因之一就是价格偏低,如果国家决定大幅度地提高能源价格,试分析在总需求曲线不变的情况下,对国民经济价格水平和产出水平的影响。
点击查看答案
本题答案:能源价格的大幅度提高,必然会对社会经济的诸多行业产生影
本题解析:试题答案能源价格的大幅度提高,必然会对社会经济的诸多行业产生影响。引起大量企业生产成本的提高,成本的提高阻碍厂商提高产量,社会的总供给水平下降,推动总供给曲线向左移动。假定经济中的需求方不变,其结果必然会使得经济社会中新的总供求均衡点向左上移动,导致一个更高的均衡价格水平和更低的均衡产出水平,经济可能出现滞胀状态。
125、判断题 对于“滞涨”问题,传统凯恩斯主义无能为力。
点击查看答案
本题答案:对
本题解析:暂无解析
126、单项选择题 萨伊定律在货币经济中表现为()。
A.投资恒等于储蓄
B.投资等于储蓄
C.货币供给恒等于货币需求
D.货币供给等于货币需求
点击查看答案
本题答案:B
本题解析:暂无解析
127、单项选择题 根据生命周期假说,长期平均消费倾向并不随着收入的增加而下降的原因是()。
A.增加财政支出
B.增加财政税收
C.增加货币供给
D.提高法定准备金率
点击查看答案
本题答案:A
本题解析:暂无解析
128、单项选择题 中央银行在公开市场上政府债券将引起()
A、商业银行准备金增加,从而基础货币增加
B、商业银行准备金减少,从而基础货币减少
C、商业银行准备金增加,从而基础货币减少
D、商业银行准备金减少,从而基础货币增加
点击查看答案
本题答案:D
本题解析:暂无解析
129、单项选择题 对于长期总供给曲线,下面说法正确的是()。
A.GDP=8.7亿元
B.GDP=8.7亿元
C.GDP=5亿元
D.无法确定GDP
点击查看答案
本题答案:B
本题解析:暂无解析
130、单项选择题 在国民生产总值和国民生产净值统计数字里,一个负的总投资数字()。
A.决不会出现:
B.只有在厂房和设备的折旧总额足够大时才会出现:
C.在那年内没有生产任何厂房和设备时会自然出现:
D.会由于那年内的存货缩减量足够大而产生。
点击查看答案
本题答案:A
本题解析:暂无解析
131、单项选择题 在开放经济条件中,下列()项不是政府宏观政策的最终目标。
A、国际收支平衡;
B、不存在贸易顺差或逆差;
C、经济均衡增长;
D、消除通货膨胀。
点击查看答案
本题答案:B
本题解析:暂无解析
132、判断题 新古典模型认为,资本-劳动比率的改变是通过价格的调节进行的。
点击查看答案
本题答案:对
本题解析:暂无解析
133、问答题 试评凯恩斯宏观经济理论的贡献。
点击查看答案
本题答案:凯恩斯在《通论》中提出的重要思想和主要结论影响了经济学
本题解析:试题答案凯恩斯在《通论》中提出的重要思想和主要结论影响了经济学的发展,其创立的宏观经济理论的主要贡献表现在:
(1)突破了传统的就业均衡理论,建立了一种以存在失业为特点的经济均衡理论。传统的新古典经济学以萨伊定律为核心提出了充分就业的假设。认为可以通过价格调节实现资源的充分利用,从而把研究资源利用的宏观经济问题排除在经济学研究的范围之外。《通论》批判萨伊定律,承认资本主义社会中非自愿失业的存在,正式把资源利用的宏观经济问题提到日程上来。
(2)把国民收人作为宏观经济学研究的中心问题。凯恩斯《通论》的中心是研究总就业量的决定,进而研究失业存在的原因。认为总就业量和总产量关系密切,而这些正是现代宏观经济学的特点。
(3)用总供给与总需求的均衡来分析国民收人的决定。凯恩斯《通论》中认为有效需求决定总产量和总就业量,又用总供给与总需求函数来说明有效需求的决定。在此基础上,他说明了如何将整个经济的均衡状态用一组方程式表达出来,如何能通过检验方程组参数的变动对解方程组的影响来说明比较静态的结果。即他借助总需求和总供给的均衡关系来说明国民收人的决定和其他宏观经济问题。
(4)建立了以总需求为核心的宏观经济学体系。凯恩斯采用了短期分析,即假设生产设备、资金、技术等是不变的,从而总供给是不变的。在此基础上来分析总需求如何决定国民收人。把存在失业的原因归结为总需求的不足。
(5)对实物经济和货币进行分析。传统的经济学家把经济分为实物经济和货币经济两部分,其中,经济理论分析实际变量的决定,而货币理论分析价格的决定,两者之间并没有多大的关系。凯恩斯通过总量分析的方法把经济理论和货币理论结合起来,建立了一套生产货币理论。用这种方法分析了货币、利率的关系及其对整个宏观经济的影响,从而把两个理论结合在一起,形成了一套完整的经济理论。
(6)反对放任自流的经济政策,明确提出国家直接干预经济的主张。古典经济学家和新古典经济学家都赞同放任自流的经济政策,而凯恩斯却反对这些,提倡国家直接干预经济。他论证了国家直接干预经济的必要性,提出了比较具体的目标;他的这种以财政政策和货币政策为核心的思想后来成整个宏观经济学的核心,甚至可以说后来的宏观经济学都是建立在凯恩斯的《通论》的基础之上的。
134、问答题 什么是再贴现率?
点击查看答案
本题答案:再贴现是指商业银行将已同客户办理过贴现、未到期的商业票
本题解析:试题答案再贴现是指商业银行将已同客户办理过贴现、未到期的商业票据向中央银行要求付给现款的一种行为,是中央银行对商业银行放款的形式之一。再贴现的利率称为再贴现率,由中央银行公布,是中央银行执行货币政策的重要手段之一。再贴现率着眼于短期政策效应。中央银行根据市场资金供求状况调整再贴现率,以影响商业银行借人资金成本,进而影响商业银行对社会的信用量,从而调整货币供给总量。提高再贴现率的结果是信用量收缩,货币供给量减少;反之则增加。
135、问答题 为什么凯恩斯扩张总需求的政策要以工资刚性为前提。
点击查看答案
本题答案:可以分两种情况来说明:
(1)假设在价格水平
本题解析:试题答案可以分两种情况来说明:
(1)假设在价格水平既定情况下出现了失业。如果不是工资刚性、而是工资弹性,那么名义工资就会下降。接下来,劳动需求增加、就业增加、产出增加,最后直至充分就业。这样,根本就不需要凯恩斯扩张总需求的政策。
(2)假设政府在失业的情况下采取扩张总需求的政策。在一般情况下,这会引起价格提高。如果不是工资刚性、而是工资弹性,那么名义工资就会提高。如果名义工资和价格水平同比例提高,企业就会失去增加供给的刺激,这样政府扩张总需求的政策就实效了。
136、问答题 最终产品和中间产品能否根据产品的物质属性加以区别?
点击查看答案
本题答案:不能。在国民收入核算中,一件产品究竟是中间产品还是最终
本题解析:试题答案不能。在国民收入核算中,一件产品究竟是中间产品还是最终产品,不能根据产品的物质属性加以区别,而只能根据产品是否进入最终使用者手中这一点加以区别。例如,我们不能根据产品的属性来判断面粉和面包是最终产品还是中间产品。看起来,面粉一定是中间产品,面包一定是最终产品。其实不然。如果面粉为面包厂购买,这包面粉是中间产品,如果这包面粉为家庭主妇购买,则是最终产品。同样,如果面包是面包商店卖给消费者,此面包是最终产品,但面包在生产厂出售给面包上电视,他还是中间商品。
137、单项选择题 国内生产总值的最大构成部分是()。
A.消费支出;
B.投资支出;
C.政府支出;
D.净出口。
点击查看答案
本题答案:B
本题解析:暂无解析
138、单项选择题 下列哪一项记入GNP()
A、购买一辆用过的旧自行车
B、购买普通股票
C、汽车制造厂买进10吨钢板
D、银行杨某企业收取一笔利息
点击查看答案
本题答案:D
本题解析:暂无解析
139、单项选择题 在正常情况下,货币供给量的增加将导致双重市场上()
A、均衡利率上升,均衡GDP上升
B、均衡利率下降,均衡GDP下降
C、均衡利率上升,均衡GDP下降
D、均衡利率下降,均衡GDP上升
点击查看答案
本题答案:D
本题解析:暂无解析
140、名词解释 最终产品
点击查看答案
本题答案:是指被购买后用于最终消费而不再转卖和进一步加工的产品和
本题解析:试题答案是指被购买后用于最终消费而不再转卖和进一步加工的产品和劳务。包括生活消费品、耐用消费品和资本品
141、多项选择题 总需求的决定因素包括()。
A.物价水平
B.技术进步
C.财政、货币政策
D.预期
点击查看答案
本题答案:A, C, D
本题解析:暂无解析
142、名词解释 国际收支平衡
点击查看答案
本题答案:国际收支平衡是指一国净出口与净资本流出相等而形成的平衡
本题解析:试题答案国际收支平衡是指一国净出口与净资本流出相等而形成的平衡。一国的国际收支状况不仅反映了这个国家的对外经济交往情况,还反映出该国经济的稳定程度。
143、问答题 怎样理解货币的交易性需求是收入的增函数?
点击查看答案
本题答案:人们处于交易动机而对货币的需求量是随收入增减而增减的。
本题解析:试题答案人们处于交易动机而对货币的需求量是随收入增减而增减的。例如,一个人每月收入1800美元,并在一个月内均匀的支出全部金额即每天支出30美元,那么他每天相应保留的货币额,在月初的第一天、第二天、第三天依次为1800美元、1770美元、1740美元,而月末的最后第一天、第二天、第三天依次为0美元、30美元、60美元。可见,他的月平均货币余额即交易货币需求为900美元,即第一天和最后一天、第二天和最后第二天、第三天和最后第三天等等的货币持有额的平均数。如果他收入和支出增加为原来的2倍,则所需货币额也增加2倍。如果他的收入改为周薪制,即每月支付4次,每周支付450美元,则他平均持有的货币金额为225美元。可见,货币的交易需求量随收入的增加而增加,随收入次数增加而减少。于是,交易需求量,收入和收入的流通速度之间存在一定函数关系。可用公式表示为L1=Y/V,其中L1代表交易需求量,Y代表货币收入,V代表收入流通速度。其中V凯恩斯认为在短期内几乎稳定不变,因此L1只随收入Y变化而正比例的变化,或者说是收入的增函数。
144、填空题 ()是指资本主义市场经济生产和再生产过程中出现的周期性出现的经济扩张与经济衰退交替更迭循环往复的一种现象。
点击查看答案
本题答案:经济周期
本题解析:试题答案经济周期
145、名词解释 短期菲利浦斯曲线和长期菲利浦斯曲线
点击查看答案
本题答案:(1)短期菲利浦斯曲线是下倾的,即在失业率和通货膨胀率
本题解析:试题答案(1)短期菲利浦斯曲线是下倾的,即在失业率和通货膨胀率之间存在的一种替换关系。反映了失业率上升是治理通货膨胀的代价,而通货膨胀上升则是降低失业率的代价。
(2)长期菲利普斯曲线是垂直的。在长期工人预期的通货膨胀和实际通货膨胀是一致的。垂直于自然失业率水平的长期菲利普斯曲线表明,在长期不存在失业与通货膨胀之间的替换关系。扩张性的政策只会导致通货膨胀,而不能降低失业率。
146、问答题 LM曲线的位置主要取决于哪些因素?
点击查看答案
本题答案:LM曲线的位置取决于货币投机需求、交易性货币需求和货币
本题解析:试题答案LM曲线的位置取决于货币投机需求、交易性货币需求和货币供给量的变化。如果这些因素发生变化,那么,LM曲线的位置就会移动。
在其他因素不变的情况下,投机性货币需求的变动会引起LM曲线向相反方向移动,即投机性货币需求增加,投机性货币需求曲线向右移动,会引起LM曲线向左移动;反之,投机性货币需求减少,货币投机需求向左移动,会引起LM曲线向右移动。
在其他因素不变的情况下,交易性货币需求的变动会引起LM曲线同方向移动,即交易性货币需求增加,交易性货币需求曲线向左移动,会引起LM曲线向左移动;反之,交易性货币需求减少,货币交易性需求曲线向右移动,会引起LM曲线向右移动。
在其他因素不变的情况下,货币供给量的变动会引起LM曲线同方向移动,即货币供给量增加,货币供给曲线向右移动,会引起LM曲线向右移动;反之,货币供给量减少,货币供给曲线向左移动,会引起LM曲线向左移动。
147、名词解释 货币中性
点击查看答案
本题答案:货币供给的增长只会导致价格水平的相同比例增长,对于实际
本题解析:试题答案货币供给的增长只会导致价格水平的相同比例增长,对于实际产出水平没有产生影响。
148、单项选择题 下列哪种情况不会引起收入水平上升()
A、增加自主性支出
B、减少自主性税收
C、增加自主性转移支付
D、增加净税收
点击查看答案
本题答案:D
本题解析:暂无解析
149、单项选择题 在四部门经济中,GDP是指()的总和。
A.消费、净投资、政府购买和净出口
B.消费、总投资、政府购买和净出口
C.消费、总投资、政府购买和总出口
D.消费、净投资、政府购买和总出口
点击查看答案
本题答案:B
本题解析:暂无解析
150、单项选择题 经济繁荣刺激投资支出增加的原因是().
A.建筑费用加上设备减去存货变化的总值
B.建筑费用加上设备减去存货变化的净值
C.建筑费用加上设备再加上存货变化的总值
D.建筑费用加上设备再加上存货变化再减去资本重置的总值
点击查看答案
本题答案:D
本题解析:暂无解析
151、单项选择题 货币“超中性”的含义是指货币数量的变动()。
A.只能在短期影响实际变量值
B.无论短期与长期,都能影响实际变量值
C.只能在长期影响实际变量值
D.无论短期与长期,都不能影响实际变量值
点击查看答案
本题答案:D
本题解析:暂无解析
152、问答题 税收、政府购买、转移支付这三者对总支出的影响方式有何区别?
点击查看答案
本题答案:总支出由消费支出、投资支出、政府购买支出、净出口四部分
本题解析:试题答案总支出由消费支出、投资支出、政府购买支出、净出口四部分组成。
税收并不直接影响总支出,它是通过改变人们的可支配收入,从而影响消费支出,再影响总支出。税收的变化与总支出的变化是反方向的。当税收增加(税率上升或税收基数增加)时导致人们可支配收入减少,从而消费减少,总支出也减少。总支出的减少量数倍于税收增加量,反之亦然。
政府购买支出直接影响总支出,两者变化是同方向的。总支出的变化量也数倍于政府购买的变化量,这个倍数就是政府购买乘数。
政府转移支付对总支出的影响方式类似于税收,是间接影响总支出,也是通过改变人们的可支配收入,从而影响消费支出和总支出。但与税收不同的是政府转移支付的变化是与总支出同方向变化的,但倍数小于政府购买乘数。
上述三个变量(税收、政府购买、转移支付)都是政府可以控制的变量,控制这些变量的政策称为财政政策。政府可以通过财政政策来调控经济运行。
例如,增加1美元的政府支出,一上来就使总需求增加1美元,因为政府购买直接就是对最终产品的需求。可是增加1美元的转移支付和减少1美元的税收时,只是使人们的可支配收入增加(减少)1美元,若边际消费倾向是0.8,则消费支出只增加(减少)0.8美元,这0.8美元才是增加1美元转移支付和减税1美元对最终产品需求的第一轮增加(减少),这一区别使政府转移支付乘数、税收乘数大小相等,方向相反,同时使政府购买乘数大于政府转移支付乘数和税收乘数。
153、单项选择题 消费者储蓄增多而消费支出减少,则()
A、GNP将下降,但储蓄S将不变
B、GNP将下降,但储蓄S将上升
C、GNP和储蓄S都下降
D、GNP不变,但储蓄S下降
点击查看答案
本题答案:C
本题解析:暂无解析
154、单项选择题 根据生命周期假说,消费者的消费对积累财富的比率变化情况是()
A.在退休前,这个比率是上升的,退休后这个比率为下降;
B.在退休前,这个比率是下降的,退休后则为上升;
C.在退休前后,这个比率都保持不变;
D.在退休前后,这个比率都下降。
www.91exAm.org点击查看答案
本题答案:B
本题解析:暂无解析
155、名词解释 重置投资
点击查看答案
本题答案:是维持资本完好性,即弥补资本损耗的支出,又称为折旧。重
本题解析:试题答案是维持资本完好性,即弥补资本损耗的支出,又称为折旧。重置投资=总投资-净投资
156、判断题 在正统凯恩斯主义理论中,货币工资的变动具有顺周期性。
点击查看答案
本题答案:错
本题解析:暂无解析
157、问答题 简要说明使用衰退手段逆转通货膨胀的理论依据。
点击查看答案
本题答案:价格调整曲线或菲利普曲线说明了通货膨胀率与失业率之间存
本题解析:试题答案价格调整曲线或菲利普曲线说明了通货膨胀率与失业率之间存在交替关系,即失业率上升,则通货膨胀率下降,失业率下降,则通货膨胀率上升。因此,在出现较为严重的通货膨胀时,可以人为地制造一次衰退,以一定的失业率为代价换取较低的通货膨胀率,这种方法主要针对需求拉动的通货膨胀,相应地,人为制造衰退也往往借助于财政或货币政策手段来减少总需求。
通过制造衰退来逆转通货膨胀的方案通常有两种,一种是通过大规模制造衰退来较快实现低通货膨胀率的“冷火鸡”方案;另一种是通过小幅度制造衰退来逐渐逆转通货膨胀的渐近主义做法。
158、问答题 简述新古典宏观经济学的货币经济周期理论及其政策含义。
点击查看答案
本题答案:新古典宏观经济学的货币经济周期理论认为,影响整个经济的
本题解析:试题答案新古典宏观经济学的货币经济周期理论认为,影响整个经济的未预期到的总需求冲击(主要由没有预期到的货币供给的变化引起)引起价格预期误差(理性地形成),进而导致产量和就业偏离其长期均衡(自然)水平。产生这些误差的原因是由于劳动者和厂商拥有的信息不完全(获取信息需要成本,因此,经济主体不可能获得完全信息),他们错误地把一般价格变化当成相对价格变化,从而分别变动劳动和产出供给。设起初的产量和就业位于自然率水平。央行未加宣布突然增加货币供给,引起总需求增加和一般价水平上升。私人部门没有预期到一般价格水平的上升,分散生产的厂商们把他们商品价格的上升当成他们产品的相对价格的上升,从而增加劳动需求量与产量,同时导致货币工资的上升。劳动者则错误地把察觉到的货币工资的上升(相对于它们的预期值)当作真实工资的上升,从而增加劳动供给。与弗里德曼模型中劳动者单方面被愚弄相比,卢卡斯模型中,劳动者和厂商在信息的不完全方面没有任何的不对称:厂商和劳动者都会有预期误差,对没有预期到的普遍的价格上升做出反应,分别提高产品和劳动的供给。结果总产量和就业都将暂时高于它们的自然水平,最终使经济趋于繁荣。一旦私人部门意识到相对价格与实际工资没有变化,劳动者和厂商就会相应减少劳动供给和产品供给,产出和就业就会回到其长期的均衡(自然)水平。在一般价格水平处于较高水平的经济繁荣时期,如果中央银行未加宣布突然减少货币供给,则会产生相反的情况,使经济最终趋于萧条。在货币经济周期学派看来,产量和就业偏离其自然水平是货币供给变化产生的“随机冲击”所造成的人们对价格预期的误差的结果。当然这些预期误差本质上也是随机的。货币经济周期理论的政策含义涉及宏观经济政策的无效命题。如果货币供给是由当局按照一些“已知”的规则决定的,那么即使在短期,当局也不可能通过系统性的货币政策影响产量和就业,因为这会被当事人预见到,并做出相应的反应。同样,相机抉择的货币政策引起的货币增长率的变化也会被当事人预见到,使相机抉择的货币政策失效。只有未预期到的货币意外才对真实产量有短期的影响,这种影响主要表现为增大产量和就业围绕它们自然水平的偏离,急剧经济波动。因此,宏观经济政策对产量与就业来说是无效的。
159、判断题 若边际消费倾向提高,则IS曲线横截距增加。
点击查看答案
本题答案:对
本题解析:暂无解析
160、问答题 试述通货膨胀形成的原因。
点击查看答案
本题答案:(1)需求拉上的通货膨胀。这是从总需求的角度来分析通货
本题解析:试题答案(1)需求拉上的通货膨胀。这是从总需求的角度来分析通货膨胀的原因,它是指在商品市场上现有的价格水平下,如果经济的总需求超过总供给水平,就会导致一般物价水平的上升。
(2)成本推动的通货膨胀。这是从总供给的角度来分析通货膨胀的原因,它是指由于生产成本的提高而引起的一般物价水平的上升。成本的增加意味着只有在高于原有价格水平时,才能达到原有的产出水平。
(3)供求混合推进的通货膨胀。这是将总需求和总供给结合起来分析通货膨胀的原因。许多经济学家认为,通货膨胀的根源不是单一的总需求或总供给,而是两者共同作用的结果。
(4)结构性的通货膨胀。是由于各经济部门劳动生产率的差异、劳动力市场的结构特征和各经济部门之间收入水平的攀比等而引起的通货膨胀。
161、单项选择题 垂直的长期总供给曲线表明,如果价格水平可以充分调整,那么()。
A.收入总额必须正好等于消费者从收入中来的计划的支出加上计划的储蓄
B.GDP总额必须等于计划储蓄总额与计划投资总额之和
C.消费者支出总额必须正好等于收入的收支均衡水平
D.所得收入总额必须等于全体消费者从收入中来的计划支出加上计划投资
点击查看答案
本题答案:D
本题解析:暂无解析
162、问答题 解释信任度如何影响治理通货膨胀的代价。
点击查看答案
本题答案:信任度影响短期菲利普斯曲线的移动速度。如果美联储推出的
本题解析:试题答案信任度影响短期菲利普斯曲线的移动速度。如果美联储推出的治理通货膨胀计划很可信,那么短期菲利普斯曲线快速下移,治理通货膨胀成本小。反之,则治理成本高。
163、单项选择题 政府在预算平衡条件下增加支出会使总产出()。
A、增加;
B、减少;
C、不变;
D、不确定。
点击查看答案
本题答案:A
本题解析:暂无解析
164、单项选择题 当厂商支付高于市场工资的效率工资时()。
A.经济实现了充分就业
B.总需求大于总供给
C.政府支出等于政府税收
D.经济中存在闲置资源
点击查看答案
本题答案:D
本题解析:暂无解析
165、问答题 政府支出30亿美元用于购买警车。解释为什么总需求的增加会大于或小于30亿美元。
点击查看答案
本题答案:乘数效应,可能使总需求增加大于30亿。挤出效应,是指政
本题解析:试题答案乘数效应,可能使总需求增加大于30亿。挤出效应,是指政府支出,导致利率提高,抑制需求的效应。可能使总需求增加小于30亿。
166、单项选择题 经济学家通常评价经济模型的标准是()。
A.假设是否合理,是否现实;
B.对实际问题的研究是否可以理解并可操作,及可以实证:
C.其应用结果与实际数据相比较是否一致;
D.以上都是。
点击查看答案
本题答案:D
本题解析:暂无解析
167、单项选择题 当一国经济存在大量的闲置资源时()。
A.建造新的工厂
B.解雇工人,并减少生产
C.雇佣更多的工人,并增加生产
D.需要更多的政府购买
点击查看答案
本题答案:B
本题解析:暂无解析
168、填空题 宏观财政政策包括()政策和()政策。
点击查看答案
本题答案:财政支出、财政收入
本题解析:试题答案财政支出、财政收入
169、单项选择题 根据卢卡斯批判,当经济学家评估可选的政策时,他们必须考虑()。
A.利率上升,收入下降
B.利率上升,收入增加
C.利率上升,收入不变
D.以上三种情况都可能发生
点击查看答案
本题答案:B
本题解析:暂无解析
170、单项选择题 长期总供给曲线是()
A、向右上方倾斜的
B、向右下方倾斜的
C、一条垂直线
D、一条水平线
点击查看答案
本题答案:C
本题解析:暂无解析
171、判断题 货币主义者认为,浮动汇率制比固定汇率制更有利于保持经济运行的稳定性。
点击查看答案
本题答案:对
本题解析:暂无解析
172、问答题 LM曲线向右上倾斜的假定条件是什么?
点击查看答案
本题答案:LM曲线向右上倾斜的假定条件是货币需求随利率的上升而减
本题解析:试题答案LM曲线向右上倾斜的假定条件是货币需求随利率的上升而减少,随收入上升而增加。如果这些条件成立,则当货币供给既定时,若利率上升,货币投机需求量减少(即人们认为债券价格下降时,购买债券从投机角度看风险变小,因而愿买进债券而减少需要持币)。为保持货币市场上供求平衡,货币交易需求量必须相应增加,而货币交易需求又只能在收入增加时才会增加。于是较高的利率必须和较高的收入相结合,才能使货币市场均衡。如果这些条件不成立,则LM曲线不可能向右上倾斜。例如,古典学派认为,人们需要货币,只是为了交易,并不存在投机需求,即货币投机需求为零,在这种情况下,LM曲线就是一条垂直线。反之,凯恩斯认为,当利率下降到足够低的水平时,人们的货币投机需求将是无限大(即认为这时债券价格太高,只会下降,不会再升,从而买债券风险太大,因而人们手头不管有多少货币,都不愿再去买债券),从而进入流动性陷阱,使LM曲线成水平状。由于西方经济学家一般认为人们对货币的投机需求一般既不可能是零,也不可能是无限大,是介于零和无限大之间,因此,LM曲线一般是向右上倾斜的。
173、问答题 货币主义的短期菲利普斯曲线与新古典宏观经济学幻觉的菲利普斯曲线有何区别?
点击查看答案
本题答案:货币主义的短期菲利普斯曲线与新古典宏观经济学的幻觉的菲
本题解析:试题答案货币主义的短期菲利普斯曲线与新古典宏观经济学的幻觉的菲利普斯曲线的区别主要有以下三点:
第一,它们产生的根源不同。货币主义的短期菲利普斯曲线根源于拥有适应性预期的工人在货币扩张(即使公开宣布)条件下所产生的货币幻觉;幻觉的菲利普斯曲线根源于厂商和劳动者双方在央行实施未公开宣布的货币政策时,对相对价格和真实相对工资产生的幻觉或预期误差。
第二,它们存在的时间长短不同。货币主义的短期菲利普斯曲线存在的时间总是长于新古典宏观经济学的幻觉的菲利普斯曲线。因为理性预期误差的调整是一步到位的,而适应性预期误差的调整是缓慢的渐进的。
第三,政策含义不同。货币主义认为,既然短期菲利普斯曲线向右下方倾斜,那么,货币政策在短期能够同时影响价格水平和实际产量,即货币数量在短期是“非中性”的;新古典宏观经济学认为,向右下方倾斜的幻觉的菲利普斯曲线存在的时间相当短暂,因为理性的人们会及时修正自己的预期,使菲利普斯曲线迅速垂直。因此,货币政策即使在短期也是“中性”的,不可能对产量产生影响。
174、判断题 当公众从中央银行手中购买政府证券时,货币供给增加。
点击查看答案
本题答案:错
本题解析:暂无解析
175、问答题 失业的社会经济损失有哪些?
点击查看答案
本题答案:失业会给个人和社会带来损失,这就是个人和 91exam .org社会为失业而付
本题解析:试题答案失业会给个人和社会带来损失,这就是个人和社会为失业而付出的代价。对个人来说,如果是自愿失业,则会给他带来闲电暇的享受。但如果是非自愿失业,则会使他的收入减少,从而生活水平下降。对社会来说,失业增加了社会福利支出,造成财政困难。同时,失业率过高会影响社会的稳定,带来其他社会问题。从整个经济看,失业最大的经济损失就是实际国民收入的减少。
176、单项选择题 凯恩斯认为在极端情形下,当利率低到一定程度时,()
A.法定准备率;
B.现金存款比率;
C.超额准备率;
D.以上都是。
点击查看答案
本题答案:D
本题解析:暂无解析
177、问答题 总需求主要包括哪些内容?政府公开市场买进债券会怎样影响总需求?
点击查看答案
本题答案:总需求包括消费需求、投资需求、政府需求和国外需求。政府
本题解析:试题答案总需求包括消费需求、投资需求、政府需求和国外需求。政府在公开市场上买进债券并不能直接影响总需求,但会间接导致总需求增加。政府在公开市场上买进债券,实际上是扩大货币供应量,在货币需求不变的情况下,货币供应量的增加会降低利率水平。投资是利率的减函数,利率的降低刺激了投资需求,投资需求增加就会使得总需求增加。
178、问答题 简述真实经济周期理论及其政策含义。
点击查看答案
本题答案:真实经济周期理论家区分了经济周期的刺激与传播机制。刺激
本题解析:试题答案真实经济周期理论家区分了经济周期的刺激与传播机制。刺激机制是最初的冲击,它使得一变量偏离其稳态值。传播机制包含那些使冲击效应随时间向后传递并使得对稳态的偏离持续化的因素。在真实经济周期理论中,刺激机制是技术冲击引起的要素生产率的变动,传播机制是劳动供给对真实工资率变动做出的较大的反应。真实经济周期理论认为,较大的技术变化率的随机变动引起要素生产率的随机波动,进而引起要素价格和要素供给的变动,最终引起总产量的变动,即引起经济周期。假设一次有利的技术冲击提高了劳动的边际产量,导致真实工资低于劳动的边际产量,引起厂商增加对劳动的需求,导致实际工资提高,使得劳动供给相应增加。因此,有利的技术冲击最终增加了就业,提高了产量。经济周期的“特征事实”表明,真实工资较小的顺周期变动是与就业的较大的顺周期变动相联系的。就业扩大的程度取决于当时真实工资水平下的劳动供给弹性。因此,劳动供给价格弹性必须足够大,才能使较小的真实工资变动产生较大的就业变动,引起经济波动。真实经济周期理论家用劳动的“跨时替代”和真实利率效应来说明劳动供给价格弹性通常比较大的原因。首先,如果技术冲击是短暂的,使得当期真实工资只是暂时地高于标准工资,那么劳动者将“晒草要趁太阳好”,以工作替代目前的闲暇,而在预期真实工资较低的未来减少工作。因此,工资率的微小变动能引起劳动供给较大的变动。其次,真实工资增加引起的需求增加,会增加投资,进而导致真实利率上升。真实利率的上升促使家庭在目前供给更多的劳动。因为在真实利率上升的条件下,通过目前劳动赚取的收入的价值相对于未来赚取的收入的价值而言是上升的。这种真实利率增加劳动供给的效应可以表现为劳动供给曲线向右下方的移动。真实经济周期理论的主要政策含义是稳定经济波动的政策不仅是无效的,而且对社会还是有害的。因为经济波动是理性经济当事人对主要由技术变迁引起的对生产函数的冲击产生的帕累托有效率的反应的结果。所观察的经济波动不应当被视作对产量的理想趋势轨迹的降低福利的偏离,而是一种持续变动的充分就业均衡。因此,用货币因素来解释这种不稳定就不再是恰当的了。同时货币政策也不可能有任何真实效应,货币是超中性的。由于工人能够决定他们想工作多长的时间,因此观察到的失业总是自愿的。政府为实现充分就业而实施的一系列政策,不仅无效(因为经济已经到了那里),而且几乎肯定会降低福利。对于真实经济周期理论家而言,凯恩斯主义和货币主义经济学家对于稳定问题的重视是一个代价高昂的错误。在动态世界里,不稳定是人们所期望的,正如它是不可避免的一样。
179、单项选择题 在下述()情况下挤出效应显著。
A.货币需求对利率敏感.投资支出对利率也敏感
B.货币需求对利率不敏感.投资支出对利率也不敏感
C.货币需求对利率敏感.投资支出对利率不敏感
D.货币需求对利率不敏感.投资支出对利率敏感
点击查看答案
本题答案:D
本题解析:暂无解析
180、问答题 计算分析题:在不考虑资本流动和汇率变动的情况下,已知某经济社会的宏观模型为Y=C+I+X-M,C=40+0.8Y,I=50,X=100,M=0.2Y+30,Yf=500Yf为充分就业时的产出水平。求:(1)外贸乘数;(2)产品市场均衡的产出水平及贸易收支;(3)使贸易收支均衡的产出水平;(4)实现充分就业时的贸易收支。
点击查看答案
本题答案:(1)K=1/(1-c+m)c=o.8m=0.2K=2
本题解析:试题答案(1)K=1/(1-c+m)c=o.8m=0.2K=2.5
(2)Y=C+I+X-MY=400X-M=-10(贸易赤字)
(3)X-M=0Y=350
(4)Y=YfX-M=-30。
181、名词解释 GDP折算指数
点击查看答案
本题答案:名义的GDP和实际的GDP的比率。
本题解析:试题答案名义的GDP和实际的GDP的比率。
182、单项选择题 对于经济学家,下列哪一种说法是错误的?()
A.经济学家们有时对经济的适当模型意见不一致;
B.经济学家们有时对经济的适当模型意见一致,但对与模型相关联的特定数量不一致;
C.经济学家们有时对实证经济学和规范经济学的区别意见不一致;
D.经济学家们有时对公平与效率的相对重要性意见不一致。
点击查看答案
本题答案:C
本题解析:暂无解析
183、单项选择题 假定货币供给量和价格水平不变。货币需求为收入和利率的函数,则收入增加时()
A.货币需求增加,利率上升;
B.货币需求增加,利率下降;
C.货币需求减少,利率上升;
D.货币需求减少,利率下降。
点击查看答案
本题答案:A
本题解析:暂无解析
184、单项选择题 假如在产品市场上,投资完全不受利率影响,则()。
A.增加政府财政支出
B.紧缩财政支出
C.减少财政赤字
D.增加税收
点击查看答案
本题答案:A
本题解析:暂无解析
185、问答题 简述长期总供给曲线的特征。
点击查看答案
本题答案:长期总供给曲线是一条垂直的直线。这是因为,在长期中,随
本题解析:试题答案长期总供给曲线是一条垂直的直线。这是因为,在长期中,随着价格总水平的变动,工资以及其他生产要素的价格必然会相应地进行调整。如果价格总水平与工资按相同的比率发生变动,那么厂商出售产品的价格和生产产品的成本相对没有发生变动,从而厂商就不会改变其生产数量,生产过程中投入的劳动数量也就不会发生变动。因此,长期供给曲线是一条垂直的直线。长期总供给曲线说明,在长期中,经济稳定在潜在的产出水平上,此时,价格变动对总供给量不会产生影响。
186、问答题 所得税降低对产出和利率有何影响?
点击查看答案
本题答案:所得税降低使乘数增加,从而使IS曲线向左上方移动。在L
本题解析:试题答案所得税降低使乘数增加,从而使IS曲线向左上方移动。在LM曲线不变的情况下,均衡产出增加,均衡利息率提高。
187、单项选择题 当什么时候总需求曲线更加平缓()。
A.平均消费倾向
B.税率
C.投资对利率的敏感乘数
D.边际消费倾向
点击查看答案
本题答案:A
本题解析:暂无解析
188、单项选择题 假定净出口函数为,净出口余额为零,则增加投资支出将()。
A.一定是不对的
B.一定是对的
C.可能是对的,也可能是不对的
D.以上三种说法全对
点击查看答案
本题答案:C
本题解析:暂无解析
189、单项选择题 流动性偏好表明()。
A.领先指标和计算机模型;
B.直接原因和间接原因;
C.视觉估计和全球定位;
D.货币工具和财政工具。
点击查看答案
本题答案:A
本题解析:暂无解析
190、单项选择题 根据哈罗德模型,储蓄率提高,则合意经济增长率()
A、提高;
B、下降;
C、不变;
D、不确定。
点击查看答案
本题答案:A
本题解析:暂无解析
191、判断题 假定货币需求函数为L=kY-hr,货币供给增加10亿美元,而其他条件不变,则会使LM曲线右移k乘以10亿美元
点击查看答案
本题答案:错
本题解析:暂无解析
192、单项选择题 短期总供给曲线和菲利普斯的关系是()。
A.预算赤字
B.消费
C.收入
D.实际余额
点击查看答案
本题答案:C
本题解析:暂无解析
193、多项选择题 可以列入货币政策目标的有()。
A.人均收入提高
B.稳定币值和物价
C.充分就业
D.经济增长
点击查看答案
本题答案:B, C, D
本题解析:暂无解析
194、判断题 中央银行购买有价证券将引起货币供给量的减少。
点击查看答案
本题答案:错
本题解析:暂无解析
195、单项选择题 资本与劳动在生产上是可以相互替代的,这是()
A、哈罗德模型的假设条件;
B、新古典模型的假设条件;
C、哈罗德模型和新古典模型共同的假设条件;
D、新剑桥模型的假设条件。
点击查看答案
本题答案:B
本题解析:暂无解析
196、单项选择题 根据效率工资理论,企业可以通过支付高于均衡工资的水平获利,是因为高工资工人的()提高。
A.货币的需求减少或者货币供给的减少
B.货币需求的增加或者货币供给的减少
C.货币的需求减少或者货币供给增加
D.货币需求增加或货币的供给增加
点击查看答案
本题答案:C
本题解析:暂无解析
197、单项选择题 要消除通货膨胀缺口,政府应当()。
A、增加公共工程支出
B、增加福利支出
C、增加税收
点击查看答案
本题答案:C
本题解析:暂无解析
198、问答题 解产出等于收入以及产出等于支出?
点击查看答案
本题答案:产出指GNP的生产,以及新创造的价值,而不是各经济部门
本题解析:试题答案产出指GNP的生产,以及新创造的价值,而不是各经济部门的产品总和,例如长期以来我们所讲的工农业总产值。假定某纺纱厂1年产出成品(纱)值20万元,其中包括消耗棉花价值为15万元(我们用棉花代表生产纱的耗费的全部中间产品的价值),则创造的价值只有5万元,而不是20万元。为什么产出等于收入呢?如果我们暂不考虑折旧和间接税,那么,新创造的这5万元价值就被认为是生产纱所投入的生产要素(劳动、土地、资本、企业家管理才能)共同创造的,因而要化为这些要素的报酬,即工资、地租、利息、利润。其中利润是产品卖价20万元扣除原材料价格、工资、利息、地租后的余额。假定工资是2万元,利息是1.5万元,地租是5千元,则利润就是1万元。正由于在国民收入核算把利润看成是产品卖价扣除成本后的余额,因此,总产出总等于总收入。总产出总等于总支出是指就全社会来看,总产出总等于购买最终产品的总支出。例如,假定一件上衣卖500元,就意味着消费者购买时支出500元,而这500元又是许多与之有关的生产经营者(如棉农、纱厂、织布厂、制衣厂、售衣商等)创造的价值即产出。上衣是如此,千千万万最终产品也是如此,因而就全社会来看,总产出就等于购买最终产品的总支出。
199、单项选择题 当宏观经济均衡时()。
A.经济的产量达到其物质限制
B.总需求曲线与短期总供给曲线垂直的部分相交
C.经济实现了充分就业
D.实际国内生产总值需求量等于实际国内生产总值供给量
点击查看答案
本题答案:D
本题解析:暂无解析
200、单项选择题 IS-LM模型通常()。
A.企业销售该商品的利润
B.在一个商品的生产上所投入的劳动的价值
C.企业的产出的价值减去商品所费成本的价值
D.企业的产出的价值减去企业所购买的中间产品的价值
点击查看答案
本题答案:D
本题解析:暂无解析
题库试看结束后
微信扫下方二维码即可打包下载完整版《
★经济学》题库
手机用户可保存上方二维码到手机中,在微信扫一扫中右上角选择“从相册选取二维码”即可。
题库试看结束后
微信扫下方二维码即可打包下载完整版《
经济学:宏观经济学》题库,
分栏、分答案解析排版、小字体方便打印背记!经广大会员朋友实战检验,此方法考试通过率大大提高!绝对是您考试过关的不二利器!
手机用户可
保存上方二维码到手机中,在
微信扫一扫中右上角选择“从
相册选取二维码”即可。