手机用户可
保存上方二维码到手机中,在
微信扫一扫中右上角选择“从
相册选取二维码”即可。
1、判断题 太沙基承载力公式适用于地基土是整体或局部剪切破坏的情况。
点击查看答案
本题答案:对
本题解析:暂无解析
2、判断题 对均匀地基来说,增加浅基础的底面宽度,可以提高地基的临塑荷载和极限承载力。
点击查看答案
本题答案:错
本题解析:不能提高临塑荷载。
3、判断题 地基破坏模式主要有整体剪切破坏和冲切剪切破坏两种情况。
点击查看答案
本题答案:错
本题解析:有三种,再加上局部剪切破坏。
4、判断题 地基临塑荷载可以作为极限承载力使用。
点击查看答案
本题答案:错
本题解析:临塑荷载和极限承载力是两个不同的概念。
5、填空题 ()是指地基稳定具有足够安全度的承载力,它相当于地基极限承载力除以一个安全系数k,且要验算地基变形不超过允许变形值。
点击查看答案
本题答案:地基容许承载力
本题解析:试题答案地基容许承载力
6、判断题 局部剪切破坏的特征是,随着荷载的增加,基础下的塑性区仅仅发生到某一范围。
点击查看答案
本题答案:对
本题解析:暂无解析
7、判断题 地基的临塑荷载Pcr作为地基承载力特征值,对于大多数地基来说,将是十分危险的。
点击查看答案
本题答案:错
本题解析:不仅不危险,反而偏于保守。
8、单项选择题 设基础底面宽度为b,则临塑荷载Pcr是指基底下塑性变形区的深度zmax=()的基底压力。
A.b/3
B.b/3
C.b/4
D.0,但塑性区即将出现
点击查看答案
本题答案:D
本题解析:暂无解析
9、单项选择题 浅基础的地基极限承载力是指()。
A.地基中将要出现但尚未出现塑性区时的荷载
B.地基中的塑性区发展到一定范围时的荷载
C.使地基土体达到整体剪切破坏时的荷载
D.使地基土中局部土体处于极限平衡状态时的荷载
点击查看答案
本题答案:C
本题解析:暂无解析
10、问答题
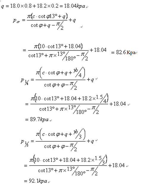
一条形基础,款1.5m,埋深1.0m。地基土层分布为:第一层素填土,厚0.8m,密度1.80g/cm3,含水量35%;第二层黏性土,厚6m,密度1.82g/cm3,含水量38%,土粒相对密度2.72,土的黏聚力10kpa,内摩擦角13°。求该基础的临塑荷载pα,临界荷载p1/4和p1/3。若地下水上升到基础底面,假定土的抗剪强度指标不变,其pα,p1/4,p1/3相应为多少?
点击查看答案
本题答案:
试题答案


11、判断题 地基的临塑荷载大小与条形基础的埋深有关,而与基础宽度无关,因此只改变基础宽度不能改变地基的临塑荷载。
点击查看答案
本题答案:对
本题解析:暂无解析
12、单项选择题 黏性土地基上,有两个宽度不同埋深相同的条形基础,问哪个基础的临塑荷载大?()
A.宽度大的临塑荷载大
B.宽度小的临塑荷载大
C.两个基础的临塑荷载一样大
点击查看答案
本题答案:C
本题解析:暂无解析
13、单项选择题 下面有关Pcr与P1/4的说法中,正确的是()。
A.Pcr与基础宽度b无关,P1/4与基础宽度b有关
B.Pcr与基础宽度b有关,P1/4与基础宽度b无关
C.Pcr与P1/4都与基础宽度b有关
D.Pcr与P1/4都与基础宽度b无关
点击查看答案
本题答案:A
本题解析:暂无解析
14、单项选择题 在黏性土地基上有一条形刚性基础,基础宽度为b,在上部荷载作用下,基底持力层内最先出现塑性区的位置在()。
A.条形基础中心线下
B.离中心线b/3处
C.离中心线b/4处
D.条形基础边缘处
点击查看答案
本题答案:D
本题解析:暂无解析
15、判断题 地基承载力特 征值在数值上与地基极限承载力相差不大。
点击查看答案
本题答案:错
本题解析:地基承载力特征值fu与地基承载力pu的关系是fu=pu/K,K为安全系数,其值大于1。
16、单项选择题 地基临界荷载()。
A.与基础埋深无关
B.与基础宽度无关
C.与地下水位无关
D.与地基水排水条件有关
点击查看答案
本题答案:D
本题解析:暂无解析
17、填空题 地基极限承载力的公式很多,一般讲有()和()公式等。(给出任意两 个)
点击查看答案
本题答案:太沙基、汉森、魏西克、斯凯普顿(答对任意两个都行,英文人名也
本题解析:试题答案太沙基、汉森、魏西克、斯凯普顿(答对任意两个都行,英文人名也对)
18、填空题 确定地基承载力的方法一般有()、()、()、()等。
点击查看答案
本题答案:原位试验法、理论公式法、规范表格法、当地经验法
本题解析:试题答案原位试验法、理论公式法、规范表格法、当地经验法
19、判断题 一般压缩性小的地基土,若发生失稳,多为整体剪切破坏模式。
点击查看答案
本题答案:对
本题解析:暂无解析
20、单项选择题 对于(),较易发生整体剪切破坏。
A.高压缩性土
B.中压缩性土
C.低压缩性土
D.软土
点击查看答案
本题答案:C
本题解析:暂无解析
21、单项选择题 在φ=0的黏土地基上,有两个埋深相同、宽度不同的条形基础,问哪个基础的极限荷载大?()
A.宽度达的极限荷载大
B.宽度小的临塑荷载大
C.两个基础的临塑荷载一样大
点击查看答案
本题答案:C
本题解析:暂无解析
22、问答题 某条形基础宽1.5m,埋深1.2m,地基为黏性土,密度18.4g/cm3,饱和密度1.88g/cm3,土的黏聚力8kPa,内摩擦角15°。试按太沙基理论计算:(1)整体剪切破坏时地基极限承载力为多少?取安全系数为2.5,地基容许承载力为多少?(2)分别加大基础埋深至1.6、2.0m,承载力有何变化?(3)若分别加大基础宽度至1.8、2.1m,承载力有何变化?(4)若地基土的内摩擦角为20°,黏聚力为12Kpa,承载力有何变化?(5)比较以上计算成果,可得出那些规律?
点击查看答案
本题答案:
试题答案
23、问答题 何为地基极限承载力(或称地基极限荷载)?
点击查看答案
本题答案:地基极限承载力是指地基剪切破坏发展即将失稳时所能承受的
本题解析:试题答案地基极限承载力是指地基剪切破坏发展即将失稳时所能承受的极限荷载,亦称地基极限荷载。它相当于地基土中应力状态从剪切破坏阶 段过渡到隆起阶段时的界限荷载。或者说是指地基中将要出现但尚未出现完全破坏时,地基所能承受的极限基底压力(或地基从弹塑性变形阶段转变为塑性破坏阶段的临界压力),以pu表示。
24、问答题 地基破坏模式有几种?发生整体剪切破坏时p-s曲线的特征如何?
点击查看答案
本题答案:在荷载作用下地基因承载力不足引起的破坏,一般都由地基土
本题解析:试题答案在荷载作用下地基因承载力不足引起的破坏,一般都由地基土的剪切破坏引起。试验表明,浅基础的地基破坏模式有三种:整体剪切破坏、局部剪 切破坏和冲切剪切破坏。
地基整体剪切破坏的主要特征是能够形成延伸至地面的连续滑动面来源:91 考试网。在形成连续滑动面的过程中,随着荷载(或基底压力)的增加将出现三个变形阶段:即弹性变形阶段、弹塑性变形阶段以及破坏(或塑性流动)阶段。即地基在荷载作用下产生近似线弹性(p-s曲线首段呈线性)变形;当荷载达到一定数值时,剪切破坏区(或称塑性变形区)逐渐扩大,p-s曲线由线性开始弯曲;当剪切破坏区连成一片形成连续滑动面时,地基基础失去了继续承载能力,这时p-s曲线具有明显的转折点。
25、单项选择题 地基临塑荷载()。
A.与基础埋深无关
B.与基础宽度无关
C.与地下水位无关
D.与地基土软硬无关
点击查看答案
本题答案:B
本题解析:暂无解析
26、问答题 试述地基极限承载力一般公式的含义。
点击查看答案
本题答案:对于平面问题,若不考虑基础形状和荷载的作用方式,则地基
本题解析: 试题答案对于平面问题,若不考虑基础形状和荷载的作用方式,则地基极限承载力的一般计算公式为:pu=qNq+cNc+γbNγ。可见,地基极限承载力由三部分土体抗力组成:(1)滑裂土体自重所产生的摩擦抗力;(2)基础两侧均布荷载q所产生的抗力;(3)滑裂面上粘聚力c所产生的抗力。上述三部分抗力中,第一种抗力的大小,除了决定于土的重度γ和内摩擦角φ以外,还决定于滑裂土体的体积。故而极限承载力随基础宽度B的增加而线性增加。第二、第三种抗力的大小,首先决定于超载q和土的粘聚力c,其次决定于滑裂面的形状和长度。由于滑裂面的尺度大体上与基础宽度按相同的比例增加,因此,由粘聚力c所引起的极限承载力,不受基础宽度的影响。另外还需要指出:(1)Nγ、Nq和Nc随φ值的增加变化较大,特别是Nγ值。当φ=0时,Nγ=0,这时可不计土体自重对承载力的贡献。随着φ值的增加,Nγ值增加较快,这时土体自重对承载力的贡献增加。(2)对于无粘性土(c=0),基础的埋深对承载力起着重要作用。这时,基础埋深太浅,地基承载力会显著下降。
27、判断题 塑性区是指地基中已发生剪切破坏的区域。随着荷载的增加,塑性区会逐渐发展扩大。
点击查看答案
本题答案:对
本题解析:暂无解析
28、单项选择题 地基的承载力公式是根据下列何种假设推导得到的?()
A.根据塑性区发展的大小得到的
B.根据建筑物的变形要求推导得到的
C.根据地基中滑动面的形状推导得到的
点击查看答案
本题答案:C
本题解析:暂无解析
29、问答题 地基破坏模式有几种?发生整体剪切破坏时p-s曲线的特征如何?
点击查看答案
本题答案:在荷载作用下地基因承载力不足引起的破坏,一般都由地基土
本题解析:试题答案在荷载作用下地基因承载力不足引起的破坏,一般都由地基土的剪切破坏引起。试验表明,浅基础的地基破坏模式有三种:整体剪切破坏、局部剪切破坏和冲切剪切破坏。
地基整体剪切破坏的主要特征是能够形成延伸至地面的连续滑动面。在形成连续滑动面的过程中,随着荷载(或基底压力)的增加将出现三个变形阶段:即弹性变形阶段、弹塑性变形阶段以及破坏(或塑性流动)阶段。即地基在荷载作用下产生近似线弹性(p-s曲线首段呈线性)变形;当荷载达到一定数值时,剪切破坏区(或称塑性变形区)逐渐扩大,p-s曲线由线性开始弯曲;当剪切破坏区连成一片形成连续滑动面时,地基基础失去了继续承载能力,这时p-s曲线具有明显的转折点。
30、判断题 地基土的强度破坏是剪切破坏,而不是受压破坏。
点击查看答案
本题答案:对
本题解析:暂无解析
31、判断题 由于土体几乎没有抗拉强度,故地基土的破坏模式除剪切破坏外,还有受拉破坏。
点击查看答案
本题答案:错
本题解析:土体的破坏通常都是剪切破坏。
32、单项选择题 对于(),较易发生冲切剪切破坏。
A.低压缩性土
B.中压缩性土
C.密实砂土
D.软土
点击查看答案
本题答案:D
本题解析:暂无解析
33、判断题 太沙基极限承载力公式适用于均匀地基上基底光滑的浅基础。
点击查看答案
本题答案:错
本题解析:改“光滑”为“粗糙”。
34、问答题 地基破坏型(形)式有哪几种?各有何特点。
点击查看答案
本题答案:根据地基剪切破坏的特征,可将地基破坏分为整体剪切破坏,
本题解析:试题答案根据地基剪切破坏的特征,可将地基破坏分为整体剪切破坏,局部剪切破坏和冲剪破坏三种模式。
(1)整体剪切破坏:基底压力p超过临塑荷载后,随荷载的增加,剪切破坏区不断扩大,最后在地基中形成连续的滑动面,基础急剧下沉并可能向一侧倾斜,基础四周的地面明显降起。密实的砂土和硬粘土较可能发生这种破坏形式。
(2)局部剪切破坏:随着荷载的增加,塑性区只发展到地基内某一范围,滑动面不延伸到地面而是终止在地基内某一深度处,基础周围地面稍有隆起,地基会发生较大变形,但房屋一般不会倒坍,中等密实砂土,松砂和软粘土都可能发生这种破坏形式。
(3)冲剪破坏:基础下软弱土发生垂直剪切破坏,使基础连续下沉。破坏时地基中无明显滑动面,基础四周地面无隆起而是下陷,基础无明显倾斜,但发生较大沉降,对于压缩性较大的松砂和软土地基可能发生这种破坏形式。
35、填空题 一般来讲,浅基础的地基破坏模式有三种:()、()和()。
点击查看答案
本题答案:整体剪切破坏、局部剪切破坏、冲切剪切破坏
本题解析:试题答案整体剪切破坏、局部剪切破坏、冲切剪切破坏
来源:91考试网 91ExAm.org 36、问答题 何为临塑荷载、临界荷载p1/4?
点击查看答案
本题答案:地基中即将出现塑性区但还未出现塑性区时所对应的基底压力
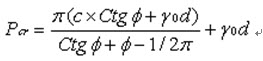
本题解析:试题答案地基中即将出现塑性区但还未出现塑性区时所对应的基底压力,即相应于塑性区的最大开展深度Zmax=0时所对应的基底压力为临塑荷载,用Pcr表示。

式中:d-----基础的埋置深度,m;
Υ0-----地基以上土的加权平均重度,KN/m3;
C———地基土的粘聚力,KPa;
φ——地基土的内摩擦角,在三角函数符号后用度表示,单独出现时以弧度表示。对于轴心荷载作用下的地基,可取塑性区最大开展深度Zmax等于基础宽度的四分之一,即Zmax=¼b,相应的基底压力用P¼表示,称为地基的临界荷载。

式中:γ——地基土的重度,地下水以下用有效重度,KN/m3其他各符号同Pcr表达式。
37、问答题 试推导:对于中心荷载作用下无埋深的条形基础,当土的内摩擦角为0°时,其地基极限承载力pu=(2+π)cu。
点击查看答案
本题答案:
试题答案
38、问答题 一条形基础,宽度b=10m,埋置深度d=2m,建于均质粘土地基上,粘土的Υ=16.5KN/m3,φ=15,c=15KPa,试求:(1)临塑荷载Pcr和P1/4(2)按太沙基公式计算Pu(3)若地下水位在基础底面处(γ'=8.7KN/m3),Pcr和P1/4又各是多少?
点击查看答案
本题答案:
试题答案

39、问答题 某方形基础边长为2.25m,埋深为1.5m。地基土为砂土,φ=38°,c=0。试按太沙基公式求下列两种情况下的地基极限承载力。假定砂土的重度为18kN/m3(地下水位以下)。(1)地下水位与基底平齐;(2)地下水位与地面平齐。
点击查看答案
本题答案:
试题答案
40、问答题 何为地基塑性变形区?
点击查看答案
本题答案:地基土中应力状态在剪切阶段,又称塑性变性阶段。在这一阶
本题解析:试题答案地基土中应力状态在剪切阶段,又称塑性变性阶段。在这一阶段,从基础两侧底边缘开始,局部区域土中剪应力等于该处土的抗剪强度,土体处于塑性极限平衡状态,宏观上p-s曲线呈现非线性的变化,这个区域就称为塑性变形区。随着荷载增大,基础下土的塑性变形区扩大,但塑性变形区并未在基础中连成一片。
题库试看结束后
微信扫下方二维码即可打包下载完整版《
★土木建筑工程》题库
手机用户可保存上方二维码到手机中,在微信扫一扫中右上角选择“从相册选取二维码”即可。
题库试看结束后
微信扫下方二维码即可打包下载完整版《
土木建筑工程:地基承载力》题库,
分栏、分答案解析排版、小字体方便打印背记!经广大会员朋友实战检验,此方法考试通过率大大提高!绝对是您考试过关的不二利器!
手机用户可
保存上方二维码到手机中,在
微信扫一扫中右上角选择“从
相册选取二维码”即可。