手机用户可
保存上方二维码到手机中,在
微信扫一扫中右上角选择“从
相册选取二维码”即可。
1、单项选择题 六氟化硫介质,具有优越的()性能。
A.绝缘;
B.灭弧;
C.绝缘和灭弧;
D.冷却。
点击查看答案
本题答案:C
本题解析:暂无解析
2、问答题 并联电容器的补偿方式有几种?
点击查看答案
本题答案:有个别补偿;(分组补偿)(合)组补偿和集中补偿三种方式
本题解析:试题答案有个别补偿;(分组补偿)(合)组补偿和集中补偿三种方式。
3、单项选择题 在计算复杂电路的各种方法中,最基本的方法是()法。
A.支路电流;
B.回路电流;
C.叠加原理;
D.戴维南原理。
点击查看答案
本题答案:A
本题解析:暂无解析
4、问答题
如图所示的电路,利用戴维南定理求支路电流I3。已知E1=140V,E2=90V,R1=20Ω,R2=5Ω,R3=6Ω。

点击查看答案
本题答案:(1)利用戴维南定理求图D-11的开路电压U0,把负载
本题解析:试题答案(1)利用戴维南定理求图D-11的开路电压U0,把负载电阻R3看作开路,如图A.所示。
5、单项选择题 三相异步电动机接通电源后启动困难,转子左右摆动,有强烈的“嗡嗡”声这是由于()。
A.电源一相断开;
B.电源电压过低;
C.定子绕组有短路;
D.原因不定。
点击查看答案
本题答案:A
本题解析:暂无解析
6、判断题 变压器不对称运行,对变压器本身危害极大。()
点击查看答案
本题答案:对
本题解析:暂无解析
7、单项选择题
如图所示三极管电路,试指出其电路的连接方式为()。

A.共基极电路;
B.共射极电路;
C.共集电极电路;
D.其他形式。
点击查看答案
本题答案:C
本题解析:暂无解析
8、名词解释 回路
点击查看答案
本题答案:电路中由若干条支路构成的闭合路径。
本题解析:试题答案电路中由若干条支路构成的闭合路径。
9、判断题 为防止厂用工作母线失去电源,备用电源应在工作电源的断路器事故跳闸前自动投入。()
点击查看答案
本题答案:错
本题解析:暂无解析
10、单项选择题 启动多台异步电动机时,可以()。
A.一起启动;
B.由小容量到大容量;逐台启动;
C.由大容量到小容量逐个启动;
D.一齐启动。
点击查看答案
本题答案:C
本题解析:暂无解析
来源:91考试网
11、单项选择题 共射极放大电路中,输入信号加在三极管的()。
A.基极与发射极之间;
B.基极与集电极之间;
C.发射极与集电极之间;
D.其他连接方式。
点击查看答案
本题答案:A
本题解析:暂无解析
12、单项选择题 对称三相电路的有功功率P为()。
A. ULILcosθph;
B. ULILcosθL;
C. UphIphsinQL;
D. UphIphsinθph。
点击查看答案
本题答案:A
本题解析:暂无解析
13、单项选择题 电压互感器的二次绕组严禁()。
A.开路运行;
B.短路运行;
C.负载是容性;
D.负载是感性。
点击查看答案
本题答案:B
本题解析:暂无解析
14、问答题 制图题:一个螺管线圈,其电流由左端流进,右端流出。按电流方向画出螺管线圈的磁力线方向。
点击查看答案
本题答案:
试题答案
15、判断题 一个线圈的电感与外加电压无关。()
点击查看答案
本题答案:对
本题解析:暂无解析
16、判断题 要使两电源间同期并列,若同期表指针均匀 转动一周的时间为5s,断路器合闸时间为0.4s,则同期表指针应提前24.5°角合闸。()
点击查看答案
本题答案:错
本题解析:暂无解析
17、判断题 当系统振荡或发生两相短路时,会有零序电压和零序电流出现。()
点击查看答案
本题答案:错
本题解析:暂无解析
18、问答题 简述少油断路器的作用原理是什么?
点击查看答案
本题答案:少油断路器合闸后,导电杆与(静触头)接触,整个油箱带电
本题解析:试题答案少油断路器合闸后,导电杆与(静触头)接触,整个油箱带电。绝缘油仅作为(灭弧介质)用,分闸后,导电杆与静触头分断,导电杆借助(瓷套管)与油箱绝缘。
19、问答题 有额定值分别为220V100W,和100V、60W的白炽灯各一盏,并联后接到48V电源上,问哪灯泡亮些?
点击查看答案
本题答案:解:
试题答案解:
各电阻所消耗功率
∵U相同,则R1>R2∴P1<P2
即60瓦的灯泡亮些。
60W的灯泡亮些。
20、单项选择题 变压器二次电压相量的标志方法和电动势相量的标志方法()。
A.相反;
B.相同;
C.相似;
D.无关系。
点击查看答案
本题答案:A
本题解析:暂无解析
21、单项选择题 通过人体电流的大小主要决定于施加于人体的电压和人体电阻。一般情况下成年人体的电阻是:()。
A.100~200Ω;
B.1000~2000Ω;
C.10000~20000Ω;
D.20000以上。
点击查看答案
本题答案:B
本题解析:暂无解析
22、问答题 氢冷发电机为什么可用二氧化碳作为置换的中间介质,而不能在充二氧化碳的情况下长期运行?
点击查看答案
本题答案:因为氢气和空气混合易引起爆炸,而二氧化碳与氢气或空气混
本题解析:试题答案因为氢气和空气混合易引起爆炸,而二氧化碳与氢气或空气混合时都不会发生爆炸,所以二氧化碳作为置换的中间介质。
二氧化碳传热系数是空气的1.132倍,在置换过程中,冷却效能并不比空气差。
此外,二氧化碳作为中间介质还有利于防火。
不能用二氧化碳作为冷却介质、长期运行的原因是,二氧化碳能与机壳内可能含水蒸气等化合,生成一种绿垢,附着在发电机绝缘物和构件上,这样,使冷却效果剧烈恶化,并使机件脏污。
23、问答题 制图题:一个载流直导体,按截面电流的方向(流出纸面),画出周围磁力方向。
点击查看答案
本题答案:
试题答案
24、判断题 发电机转子回路发生一点接地故障时,其励磁绕组的电压降低。()
点击查看答案
本题答案:错
本题解析:暂无解析
25、问答题
如图所示发电机的内阻是0.1Ω,每个输电线的电阻rL=0.1Ω,负载电阻R=22Ω,电路中电流强度是I=10A。求负载两端电压UR是多少?发电机的电动势E是多少?端电压U是多少?整个外电路上消耗的功率P外是多少?负载获得的功率PR是多少?输电线损失功率PL是多少?发电机内P发热损失功率P内是多少?发电机发出的有功功率P是多少?

点击查看答案
本题答案:解:
试题答案解:
发电机负载两端电压UR为220V,发电机的电动势E为222V,端电压U为223V,外电路上消耗的功率P外为2220W,负载获得的功率PR为2200W,输电线路损失功率PL为20W,发电机内部发热损耗功率P内为10W,发电机发出的有功功率P为2230W。
26、单项选择题
三极管放大器电路如图所示,Ui-输入电压,Uc-输出电压,Rb-基极电阻,Rc-集电极电阻,RL-负载电阻,Ec-电源电动势,C1、C2-电容。当接上负载电阻RL后,放大器的电压放大倍数()。

A.大;
B.减少;
C.不变;
D.无法定。
点击查看答案
本题答案:B
本题解析:暂无解析
27、单项选择题 选择一台异步电动机连续工作时的保险丝的额定电流按()。
A.该台电机的额定电流
B.启动电流
C.是额定电流的2.3~3.2倍
点击查看答案
本题答案:C
本题解析:暂无解析
28、问答题
三相电动机两定子绕组为星形连接,(相电压Uph为220V),功率因数是0.8,输入功率为3kW,求线路上的电流IL是多少?
点击查看答案
本题答案:解:根据公式
试题答案解:根据公式

线路电流等于相电流
=5.68A.
线路上的电流IL是5.68A。
29、问答题 什么是电击伤?
点击查看答案
本题答案:是指电流(通过)人体,引起人体(内部)组织损伤、破坏的
本题解析:试题答案是指电流(通过)人体,引起人体(内部)组织损伤、破坏的一种伤害。
30、问答题
在图所示电路中,已知电阻R1=R4=30Ω,R2=15Ω,R3=10Ω,R5=60Ω,通过电阻R4支路的电流I4=0.2A,试根据以上条件求电路中的总电压U和总电流I的值各是多少?

点击查看答案
本题答案:解:
试题答案解:
电路中的总电压UAB为36V,电路中的总电流I为0.9A。
31、单项选择题 对称三相交流电路,中性点电压等于()。
A.0;
B.1;
C.
;
D.
。
点击查看答案
本题答案:A
本题解析:暂无解析
32、单项选择题
如图所示三极管,用试验方法测得三极各端电压分别为1端对地-6.2V,2端对地-6V,3端对地-9V,则发射极为()。

A.1端;
B.2端;
C.3端;
D.不能定。
点击查看答案
本题答案:B
本题解析:暂无解析
33、判断题 可以用三相三柱式电压互感器测量相对地电压。()
点击查看答案
本题答案:错
本题解析:暂无解析
34、问答题 从事电业工作中造成触电的原因主要有哪些?
点击查看答案
本题答案:(1)缺乏电力安全作业知识,作业时,不认真执行《电业安
本题解析:试题答案(1)缺乏电力安全作业知识,作业时,不认真执行《电业安全工作规程》和有关安全操作的规章制度。(2)对电气接线及电气设备的构造不熟悉。(3)对电气设备安装不符合规程要求。(4)电气设备的保养维修质量差或不及时造成绝缘不良而漏电。
35、单项选择题 两个电阻并联,R1=2Ω,通过的电流为5A,R2=4Ω,通过的电流应是()。
A.8A;
B.3.5A;
C.10A;
D.2.5A。
点击查看答案
本题答案:D
本题解析:暂无解析
36、填空题 一般油脂的加工方法有:()、熬炼法、()、机械分离法。
点击查看答案
本题答案:压榨法、浸出法
本题解析:试题答案压榨法、浸出法
37、判断题 电容器充电时的电流,由小逐渐增大。()
点击查看答案
本题答案:错
本题解析:暂无解析
38、单项选择题 蓄电池充电结束后,连续通风()小时以上,室内方可进行明火工作。
A.2;
B.1;
C.半;
D.1.5。
点击查看答案
本题答案:A
本题解析:暂无解析
39、判断题 变压器的三相连接方式,最常用的就是星形和三角形连接。()
点击查看答案
本题答案:对
本题解析:暂无解析
40、判断题 叠加原理,可用于所有电路。()
点击查看答案
本题答案:错
本题解析:暂无解析
41、单项选择题 三极管集电极的作用是()。
A.发射载流子;
B.输送和控制载流子;
C.收集载流子;
D.不一定。
点击查看答案
本题答案:C
本题解析:暂无解析
42、单项选择题 电流互感器的二次绕组严禁()。
A.开路运行;
B.短路运行;
C.负载是容性;
D.负载是感性。
点击查看答案
本题答案:A
本题解析:暂无解析
43、判断题 异步电动机相间突然短路,当发生在定子绕组端部附近时,故障最严重。()
点击查看答案
本题答案:对
本题解析:暂无解析
44、问答题
如图所示利用节点电压方法求电动势分别为E1、E2的电源1、电源2各发出功率,以及负载R上消耗功率PR。
电源2各发出功率,以及负载R上消耗功率PR。

点击查看答案
本题答案:解:将图简化成电流源如图
本题解析:试题答案解:将图简化成电流源如图

45、单项选择题 在一个电阻上加电压10V时,电阻中流过2A的电流,若在此电阻上加电压20V时,电阻中流过的电流是()。
A.1A;
B.1.5A;
C.3A;
D.4A。
点击查看答案
本题答案:D
本题解析:暂无解析
46、问答题 一个负载为星形接线,每相电阻R为5Ω,感抗XL为4Ω,接到线电压UL为380V的对称三相电源上,求负载电流。
点击查看答案
本题答案:解:据公式
阻抗
试题答案解:据公式
阻抗
=7(Ω)
因为负载为星形接线,则
UL=Uph(相电压)
IL=Iph
相电压
≈220(V)
经负载的电流为相电流,则
≈33A.
负载电流为33A。
47、问答题
有一△形接线的对称负载,接到380V对称三相电源上,每相负载电阻R=16Ω,感抗XL=12(Ω),试求负载的相电流Iph和线电流IL各是多少?
点击查看答案
本题答案:解:对称负载为三角形接线,因此相电压Uph与线电压UL
本题解析:试题答案解:对称负载为三角形接线,因此相电压Uph与线电压UL相等,即
Uph=UL=380V
阻抗
流过每相负载电流
??则线电流为
.
负载的相电流为19A,负载的线电流为32.9A。
48、问答题
已知电路中电压
,电流i=ImsinwtA,电路频率为50Hz。试求电压与电流的相位差,并说明两者相位是超前还是滞后的关系?两者时间差是多少?
点击查看答案
本题答案:
试题答案
49、单项选择题 在电阻串联电路中,每个电阻上的电压大小()
A.与电阻大小成正比;
B.相同;
C.与电阻大小成反比;
D.无法确定。
点击查看答案
本题答案:A
本题解析:暂无解析
50、单项选择题 电力系统在(运行)中,受到大的干扰时,同步发电机仍能维持稳定运行,称为()。
A.动态稳定;
B.静态稳定;
C.系统抗干扰能力;
D.暂稳态。
点击查看答案
本题答案:A
本题解析:暂无解析
51、判断题 采用(V-V型)接线的电压互感器,只能测量相电压。()
点击查看答案
本题答案:错
本题解析:暂无解析
52、判断题 在由零序电压滤过器组成的距离保护的电压断线闭锁装置中,有一个零序电流继电器是起反闭锁作用的。
点击查看答案
本题答案:对
本题解析:暂无解析
53、问答题 制图题:画出变压器过电流保护(单相)原理接线图。
点击查看答案
本题答案:
试题答案
54、问答题 变压器运行中应作哪些检查?
点击查看答案
本题答案:(1)变压器声音是否正常;(2)瓷套管是否清洁,有无破
本题解析:试题答案(1)变压器声音是否正常;(2)瓷套管是否清洁,有无破损、裂纹及放电痕迹;(3)油位、油色是否正常,有无渗油现象;(4)变压器温度是否正常;(5)变压器接地应完好;(6)电压值、电流值是否正常;(7)各部位螺丝有无松动;(8)一次、二次引线接头(有无松动)和(过热现象)。
55、判断题 电力系统电压过高会使并列运行的发电机定子铁芯温度升高。()
点击查看答案
本题答案:对
本题解析:暂无解析
56、问答题 制图题:画出(全阻抗)继电器特性图(Z′=Z″)。
点击查看答案
本题答案:
试题答案
57、单项选择题 要求酿造大麦水分含量在()以下,否则来源:91考试网 91EXAm.org难以贮存。
A、25%
B、20%
C、15%
D、13%
点击查看答案
本题答案:D
本题解析:暂无解析
58、判断题 距离保护是反应故障点到保护安装处的电气距离,并根据此距离的大小确定动作时间的一种保护。
点击查看答案
本题答案:对
本题解析:暂无解析
59、单项选择题 电压表应()在被测电路中。
A.串联;
B.并联;
C.串、并均可;
D.混联。
点击查看答案
本题答案:B
本题解析:暂无解析
60、单项选择题 对称三相交流电路总功率等于相功率的()倍。
A.
;
B.3;
C.
;
D.
点击查看答案
本题答案:B
本题解析:暂无解析
61、判断题 把电容器串联在供电线路上叫串联补偿。()
点击查看答案
本题答案:对
本题解析:暂无解析
62、判断题 电路中两个或两个以上元件的连接点叫做节点。()
点击查看答案
本题答案:错
本题解析:两条或两条以上支路的交点称为节点
63、判断题 把电容器与负载或用电设备并联叫并联补偿。()
点击查看答案
本题答案:对
本题解析:暂无解析
64、判断题 (电磁式)测量仪表,既能测量交流量,又能测量直流量。()
点击查看答案
本题答案:对
本题解析:暂无解析
65、问答题 晶体管有哪些主要参数?
点击查看答案
本题答案:主要参数有:(1)放大倍数(β),是衡量晶体
本题解析:试题答案主要参数有:(1)放大倍数(β),是衡量晶体管放大能力的;(2)反向饱和电流(Icbo),说明晶体管集电结质量;(3)穿透电流(Iceo),
66、问答题 两台变压器并联的条件是什么?
点击查看答案
本题答案:(1)变比基本相等;(2)短路电压基本相等;(3)接线
本题解析:试题答案(1)变比基本相等;(2)短路电压基本相等;(3)接线组别相同;(4)容量比不超过(3:1)。
67、单项选择题 变压器温度计所反映的温度是变压器的()
A.上部温度;
B.中部温度;
C.下部温度;
D.匝间温度。
点击查看答案
本题答案:A
本题解析:暂无解析
68、单项选择题 蓄电池是一种储能设备,它能把电能转变为()能。
A.热;
B.化学;
C.机械;
D.光。
点击查看答案
本题答案:B
本题解析:暂无解析
69、单项选择题 电功率的计算公式P=UI,式中的U表示用电器两端的电压,I为通过用电器的电流,此公式适用于()。
A.计算电风扇的电功率;
B.计算电灯泡的电功率;
C.计算蓄电池充电的电功率;
D.计算电风扇、电灯泡、蓄电池的充电的电功率。
点击查看答案
本题答案:D
本题解析:暂无解析
70、单项选择题 发电机正常运行时既发有功,也发无功,我们称为功率迟相(又称滞后)。此时发电机送出的是()无功功率。
A.感性的;
B.容性的;
C.感性和容性的。
D.都不是
点击查看答案
本题答案:A
本题解析:暂无解析
71、问答题 有一平板电容器,极板的有效面积S为10cm2,用云母作为介质,其厚度d为0.3mm,云母的相对介电系数ε1为7,求此电容器电容量是多少?
点击查看答案
本题答案:解:根据公式
本题解析:试题答案解:根据公式

≈0.206×10-9=206×10-2
=206(pF)?
此电容器电容量是206pF。
72、问答题 一单相电动机由220V的电源供电,电路中的电流为11A,cosφ=0.83。试求电动机的视在功率S,有功功率P、无功功率Q。
点击查看答案
本题答案:解:因S=UI
P=Scosφ则
本题解析:试题答案解:因S=UI
P=Scosφ则
S=UI=220×11=2420(VA)
P=Scosφ=2420×0.83=2008.6(W)
=1349.8(var)
电动机的视在功率为2420VA。电动机的有功功率为2008.6W。电动机的无功功率为1349.8var。
73、判断题 一切物体的负电荷的总量,永远多于正电荷的总量,否则就不会有多余的电子流动以形成电流。()
点击查看答案
本题答案:错
本题解析:暂无解析
74、判断题 金属导体的电阻与外加电压无关。()
点击查看答案
本题答案:对
本题解析:暂无解析
75、判断题 改善异步电动机的启动特性,主要指降低启动时的功率因数(降低启动电压),增加启动转矩。()
点击查看答案
本题答案:错
本题解析:暂无解析
76、判断题 在串联电路中,总电阻等于各电阻的倒数之和。
点击查看答案
本题答案:错
本题解析:暂无解析
77、问答题 功率放大器有哪几类工作状态?
点击查看答案
本题答案:有甲类、甲乙类和乙类三种。(1)甲类:为
本题解析:试题答案有甲类、甲乙类和乙类三种。(1)甲类:为了使单管放大器得到充分利用,其静态工作点的位置通常都接近集电极最大允许耗散功率Pcm曲线,即交流负载曲线的中点,这种工作状态称为甲类工作状态。(2)甲乙类:为了降低管耗,将静态工作点沿交流负载曲线下移,使静态电流Ic降低,但不等于零。此时信号波形的一部分进入晶体管的截止区而出现波形失真现象,这种工作状态称甲乙类工作状态。(3)乙类:若将静态工作点沿交流负载曲线下移到使静态电流Ic等于零,管耗将更小,但信号波形的一半被晶体管截止区削掉,这种工作状态称乙类工作状态。
78、问答题 线电压UL为220V的三相交流电源与星形连接的三相平衡负载相接,线电流为10A,负载消耗的有功功率为3kW,试求负载等效星形电路各相的电阻和电抗各是多少?
点击查看答案
本题答案:解:根据公式,
试题答案解:根据公式,

则(相负载阻抗)
根据公式
则负载的功率因数

=arccos0.79=38°
由于功率因数角等于阻抗角,
Z=
(12.7是相负载阻抗的有效值),则相电阻
(Rph=12.7×cos38°)=10(Ω)
相电抗为:
(Xph=12.7×sin38°)≈7.8(Ω)?
相的电阻Rph为10Ω,相电抗Xph为7.8Ω。
79、判断题 异步电动机定子电流为空载电流与负载电流的和。()
点击查看答案
本题答案:对
本题解析:暂无解析
80、单项选择题 单位时间内,电流所做的功称为()。
A.电功率;
B.无功率;
C.视在功率;
D.有功率加无功率。
点击查看答案
本题答案:A
本题解析:暂无解析
81、判断题 发电机转子回路两点接地保护投入后,应将横差保护退出运行。()
点击查看答案
本题答案:错
本题解析:暂无解析
82、判断题 异步电动机的三相绕组,其中有一相绕组反接时,从电路来看,三相负载仍是对称(还对个屁称)的。()
点击查看答案
本题答案:错
本题解析:暂无解析
83、问答题 电力电容器的型号都代表什么?
点击查看答案
本题答案:型号由字母和数字两部分组成。
(1)字母部分
本题解析:试题答案型号由字母和数字两部分组成。
(1)字母部分:
第一个字母表示用途如:Y为移相用;C为串联用。
第二个字母表示浸渍物,如Y为油浸;L为氯化联苯浸渍。
第三个字母表示介质材料或使用场所,如:W为户外。
最后字母为使用环境,如TH(?)为温热带用。
(2)数字部分:
第一位数字为额定电压;
第二位数字为额定容量;
第三位数字为相数。
84、问答题 自动电源自投入装置(BZT)是由哪几部分组成的?各部分的作用是什么?
点击查看答案
本题答案:自动电源自投入装置由低电压起动部分和自动重合闸部分组成
本题解析:试题答案自动电源自投入装置由低电压起动部分和自动重合闸部分组成。
低压起动部分的作用是:当电压降到(低压保护动作值)时跳闸,备用电源投入;自动重合闸部分的作用是:在工作电源路断开之后,BZT装置自动投入备用电源的断路器。
85、问答题 变压器温度计所指温度是哪一部位的温度?
点击查看答案
本题答案:变压器温度计所指的温度是(变压器上层油温)。
本题解析:试题答案变压器温度计所指的温度是(变压器上层油温)。
86、判断题 发生接地故障时,特有的电气量是零序电压和零序电流。()
点击查看答案
本题答案:对
本题解析:暂无解析
87、判断题 电势和电压的方向一样,都是由高电位指向低电位。()
点击查看答案
本题答案:错
本题解析:暂无解析
88、判断题 复杂电路与简单电路的根本区别,在于电路中元件数量的多少。()
点击查看答案
本题答案:错
本题解析:暂无解析
89、单项选择题 整流式电流表能测出()是它的特长
A.畸变交流电流;
B.交流毫安级至安培级电流;
C.直流微安级电流;
D.直流大电流。
点击查看答案
本题答案:B
本题解析:暂无解析
90、问答题 制图题:画出升压变压器低阻抗保护原理图。
点击查看答案
本题答案:
试题答案
91、名词解释 网孔
点击查看答案
本题答案:在平面电路中,内部不存在支路的回路。
本题解析:试题答案在平面电路中,内部不存在支路的回路。
92、判断题 同步发电机失磁时,无功功率表指示在零位。()
点击查看答案
本题答案:错
本题解析:暂无解析
93、名词解释 支路
点击查看答案
本题答案:电路中流有同一电流的每一个分支。
本题解析:试题答案电路中流有同一电流的每一个分支。
94、判断题 叠加原理也适用于电路功率计算。()
点击查看答案
本题答案:错
本题解析:暂无解析
95、单项选择题 发电机带部分有功负荷运行,转子磁极轴线与定子磁极轴线的相互位置是()。
A.限制负载电流;
B.限制激磁电流;
C.限制调压环流;
D.不限电流。
点击查看答案
本题答案:C
本题解析:暂无解析
96、单项选择题 在有关电机绕组的图纸上,标出电流流出导线的符号是()。
A.
;
B.○;
C.⊙;
D.。
点击查看答案
本题答案:C
本题解析:暂无解析
97、单项选择题 对称三相电源星形连接时,线电流等于()。
A.相电流;
B.相电流的倍
;
C.额定容量除以额定电压;
D.2倍相电流。
点击查看答案
本题答案:A
本题解析:暂无解析
98、单项选择题 多台电动机的公用保险丝的额定电流,是按()。
A.其中最大额定电流的3倍;
B.各台额定电流之和;
C.功率最大的一台电动机额定电流的1.5~2.5倍,加上其他同时工作的电动机额定电流之和来确定;
D.最大电流的1.5~2.5倍。
点击查看答案
本题答案:C
本题解析:暂无解析
99、单项选择题 自耦变压器公共线圈中的电流,等于一次电流和二次电流的()。
A.代数和;
B.相量和;
C.相量差;
D.无关。
点击查看答案
本题答案:C
本题解析:暂无解析
100、判断题 电容量的大小,反映了电容器储存电荷的能力。()
点击查看答案
本题答案:对
本题解析:暂无解析
101、判断题 在同样的绝缘水平下,变压器采用星形接线比三角形接线可获取较高的电压。()
点击查看答案
本题答案:对
本题解析:暂无解析
102、单项选择题 发电机并列过程中,当发电机电压与系统电压相位不一致时,将产生冲击电流,此冲击电流最大值发生在两个电压相差为()时。
A.0°;
B.90°;
C.180°;
D.100°。
点击查看答案
本题答案:C
本题解析:暂无解析
103、问答题
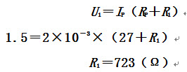
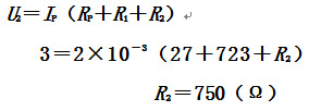
图为三量程电压表的电路图,电流计P的动圈电阻为27Ω,最大允许电流为2mA,求相对于量程U1为1.5V,U2为3V,U3为15V的三挡的电阻R1、R2、R3的数值。
点击查看答案
本题答案:解:(1)第一种解法
用1.5V挡量程时,<
本题解析:试题答案解:(1)第一种解法
用1.5V挡量程时,

则R1=723(Ω)
用3V挡时,
用15V挡时,
则R3=6000(Ω)
(2)第二种解法
电流计两端电压:

104、单项选择题 一般交流电压表和电流表的表盘刻度都是前密后疏,这是由于使指针偏转的力矩与所测量的电压或电流的()成比例的缘故。
A.平均值;
B.有效值;
C.平方值;
D.瞬时值。
点击查看答案
本题答案:C
本题解析:暂无解析
105、判断题 电网电压过低会使并列运行中的发电机定子绕组温度升高。()
点击查看答案
本题答案:对
本题解析:暂无解析
106、判断题 整流型距离保护的负序电流元件,是测量元件的闭锁元件。
点击查看答案
本题答案:对
本题解析:暂无解析
107、问答题 电容器的放电电阻应符合哪些要求?
点击查看答案
本题答案:(1)应保证电容器组在放电1min后,电容器电压UC<
本题解析:试题答案(1)应保证电容器组在放电1min后,电容器电压UC<65V。
(2)在正常运行时的(电力损失)每千乏(kvar)电容量(?)的有功损耗不超过1W。
(3)应装在电容器开关的负荷侧,并和电容器永久接在一起。
108、问答题 发电机运行时,内部有哪些损耗?
点击查看答案
本题答案:有铜损,铁损,机械损耗,附加损耗等。
本题解析:试题答案有铜损,铁损,机械损耗,附加损耗等。
109、判断题 输电线路本身的零序阻抗大于正序阻抗。()
点击查看答案
本题答案:对
本题解析:暂无解析
110、问答题 制图题:画出电阻、电感并联单相交流电路图及电流相量图。
点击查看答案
本题答案:
试题答案
111、问答题 变压器在什么情况下要进行特殊检查?
点击查看答案
本题答案:在过负荷时;雷雨后;大风后;大雾后;雪后;地震后;事故
本题解析:试题答案在过负荷时;雷雨后;大风后;大雾后;雪后;地震后;事故后。
112、填空题 变压器正常过负荷的必要条件是,不损害()。
点击查看答案
本题答案:变压器的正常使用期限
本题解析:试题答案变压器的正常使用期限
113、判断题 变压器的寿命是由线圈绝缘材料的老化程度决定的。()
点击查看答案
本题答案:对
本题解析:暂无解析
114、单项选择题
三极管反向饱和电流Icbo与发射极穿透电流Iceo之间的关系为(),β为电流放大倍数。
A.Iceo=Icbo;
B.Iceo=(β+1)Icbo;
C.Iceo=βIcbo;
D.Iceo=(β-1)Icbo。
点击查看答案
本题答案:B
本题解析:暂无解析
115、判断题 雷电流由零值上升到最大值所用的时间叫波头。()
点击查看答案
本题答案:对
本题解析:暂无解析
116、单项选择题 在电阻、电感、电容组成电路中,不消耗电能的元件是()。
A.电感、电容;
B.电阻与电感;
C.电容与电阻;
D.电阻。
点击查看答案
本题答案:A
本题解析:暂无解析
117、判断题 导线越长,电阻越大,它的电导也就越大。
点击查看答案
本题答案:错
本题解析:电导本质上就是电阻的倒数
118、单项选择题 变压器的油枕容积应保证变压器在环境温度()停用时,油枕中要经常有油存在。
A.-10℃;
B.-20℃;
C.-30℃;
D.0℃。
点击查看答案
本题答案:C
本题解析:暂无解析
119、单项选择题 对称三相电源星形连接,线电压等于()。
A.相电压;
B.
倍的相电压;
C.3倍相电压;
D.2倍的相电压。
点击查看答案
本题答案:B
本题解析:暂无解析
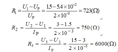
120、问答题
图所示电路,已知E1=100∠26°V,E2=60∠0°,Z1=j1Ω,Z2=-j5Ω,Z3=20Ω。求试用弥尔曼定理求各支路电流I2、I3、各是多少?

点击查看答案
本题答案:解:用弥尔曼定理计算节点电压
本题解析:试题答案解:用弥尔曼定理计算节点电压
各支路电流
支路电流 I1为21.7∠97.04°A,I2 为21.48∠-61.18°A,I3 为8.13∠18.53°A。
121、判断题 距离保护在多电源的复杂网络中,有很高的工作可靠性。()
点击查看答案
本题答案:错
本题解析:暂无解析
122、 单项选择题 对称三相电源三角形连接,线电流是()。
A.相电流;
B.3倍的相电流;
C.2倍的相电流;
D.
倍的相电流。
点击查看答案
本题答案:D
本题解析:暂无解析
123、问答题 制图题:画出电流相位()比较式继电器接线图。
点击查看答案
本题答案:
试题答案
124、单项选择题 交流电动机静子、转子间空气间隙的最大值或最小值与平均值之间误差;规定不大于()。
A.5%;
B.10%;
C.15%;
D.20%。
点击查看答案
本题答案:B
本题解析:暂无解析
125、单项选择题 在没有专用验电器的特殊情况下,允许使用绝缘棒(绝缘拉杆),对()的电气设备进行验电。
A.10kV以下;
B.35kV及以上;
C.35kV及以下;
D.66kV。
点击查看答案
本题答案:B
本题解析:暂无解析
126、问答题 制图题:画出电阻、电感串联后再与电容并联的交流电路及相量图。
点击查看答案
本题答案:
试题答案
127、单项选择题 黄色试温腊片,在常温下()时开始熔化。
A.40℃;
B.50℃;
C.60℃;
D.70℃。
点击查看答案
本题答案:C
本题解析:暂无解析
128、问答题 变压器投入运行前应做哪些检查?
点击查看答案
本题答案:(1)变压器台或基础是否稳定坚实。(2)分接头位置是否
本题解析:试题答案(1)变压器台或基础是否稳定坚实。(2)分接头位置是否符合要求。(3)测试绝缘电阻和各相是否通路,防止内部断线。(4)油位是否达到标准。(5)温度计应完好,指示正确。(6)变压器各部位是否渗油。(7)各接线端子紧固良好。(8)套管有无破损,是否清洁。(9)接地装置应完好,接地电阻值合格。(10)油枕门应打开,油枕与油箱间阀门应开启。(11)油箱顶盖上不应有杂物。
129、单项选择题 电阻的单位是()。
A.焦耳;
B.欧姆;
C.西门子;
D.电抗。
点击查看答案
本题答案:B
本题解析:暂无解析
130、问答题
制电路如图所示,其各相电阻分别为Ra=Rb=20Ω,Rc=10Ω。已知的线电压UL=380V,求(相电流)、线电流和中性线电流各是多少?

点击查看答案
本题答案:解:因为三相四线制,所以每相负载两端的电压为电源的相电
本题解析:试题答案解:因为三相四线制,所以每相负载两端的电压为电源的相电压,即
设
则各相相电流为

因为负载是星形接线,所以线电流等于相电流

中性线电流IN

故IN=11A.
A相的相电流、线电流为11A;B相的相电流、线电流为11A,C相的相电流、线电流为22A,中性线电流为11A。
131、单项选择题 在电阻、电感、电容和电抗组成的电路中,消耗电能的元件是()。
A.电阻;
B.电感;
C.电抗;
D.电容。
点击查看答案
本题答案:A
本题解析:暂无解析
132、单项选择题 电阻的单位是欧姆用()字母表示。
A.Ω;
B.U;
C.ρ;
D.Q。
点击查看答案
本题答案:A
本题解析:暂无解析
133、单项选择题 红色试温腊片,在常温下()时开始熔化。
A.80℃;
B.90℃;
C.100℃;
D.105℃。
点击查看答案
本题答案:A
本题解析:暂无解析
134、判断题 稳压管的作用是在电源电压上,可起到稳压和均压作用。()
点击查看答案
本题答案:对
本题解析:暂无解析
135、问答题
如图所示电路。求各支路电流I1、I2、I3是多少?

点击查看答案
本题答案:利用支路电流法解。
先假定支路及回路电流方向
本题解析:试题答案利用支路电流法解。
先假定支路及回路电流方向如图所示。
136、问答题 制图题:画出两个条形磁铁,同性磁极(同N极)相互接近时磁力线方向。
点击查看答案
本题答案:
试题答案
137、单项选择题 对称三相电源三角形连接时,线电压是()。
A.相电压;
B.2倍的相电压;
C.3倍的相电压;
D.
倍的相电压。
点击查看答案
本题答案:A
本题解析:暂无解析
138、判断题 当发生单相接地故障时,零序功率的方向可以看做以变压器中性点为电源向短路点扩散。()
点击查看答案
本题答案:错
本题解析:暂无解析
139、单项选择题 绿色试温腊片,在常温下()时开始熔化。
A.60℃;
B.70℃;
C.80℃;
D.90℃。
点击查看答案
本题答案:B
本题解析:暂无解析
140、单项选择题 用一直流电压表和一直流电流表测量一分流器的电阻时,常用两种接线方式:甲分流器与电流表串联后再与电压表并联;乙分流器与电压表并联后再与电流表串联,比较两种接线的测量误差,()。(这就是高中物理里电路中电流表的内接和外接)
A.甲比乙小;
B.乙比甲小;
C.甲乙一样;
D.无规律性。
点击查看答案
本题答案:B
本题解析:暂无解析
141、问答题 制图题:画出油泵电机()三相交流回路图。
点击查看答案
本题答案:
试题答案
142、判断题 在相同工作电压下的电阻元件,电阻值越大的功率越大(小)。()
点击查看答案
本题答案:错
本题解析:暂无解析
143、判断题 电路中的任一闭合路径叫做回路。()
点击查看答案
本题答案:对
本题解析:暂无解析
144、问答题 变压器的温度与温升有什么区别?
点击查看答案
本题答案:变压器的温度是指(变压器本体各部位)的温度,温升是指变
本题解析:试题答案变压器的温度是指(变压器本体各部位)的温度,温升是指变压器(本体温度)与(周围环境温度)的(差值)。
145、单项选择题
在星形连接的对称电路中,线电压UL等于()倍相电压Uph。
A.
;
B.3;
C.
;
D.
。
点击查看答案
本题答案:A
本题解析:暂无解析
146、问答题 制图题:画出电阻、电容串联单相交流电路图及电压相量图。
点击查看答案
本题答案:
试题答案
147、问答题 制图题:画出发电机动态稳定曲线。
点击查看答案
本题答案:
试题答案
148、问答题 制图题:画出电阻、电感串联(单相)交流电路图及电压相量图。
点击查看答案
本题答案:
试题答案
149、单项选择题 电动机在运行时,其操作盘上的()指示灯亮。
A.绿色;
B.黄色;
C.白色;
D.红色。
点击查看答案
本题答案:D
本题解析:暂无解析
150、判断题 变压器空载合闸时,由于励磁涌流存在的时间很短,所以一般对变压器无危害。()
点击查看答案
本题答案:对
本题解析:暂无解析
151、单项选择题 一台降压变压器,如果一、二次绕组使用同一种材料和相同截面积的导线制成,在投入运行时,将产生()的现象
A.两个绕组发热量一样;
B.二次绕组发热量较大;
C.一次绕组发热量较大;
D.无规律变化。
点击查看答案
本题答案:B
本题解析:暂无解析
152、判断题 流过电阻的电流与电阻成正比,与电压成反比。()
点击查看答案
本题答案:错
本题解析:暂无解析
153、问答题 制图题:画出中性点非直接接地电力网绝缘监察装置接线图。
点击查看答案
本题答案:
试题答案
154、判断题 在复杂的电网中,方向电流保护往往不能有选择地切除故障。()
点击查看答案
本题答案:对
本题解析:暂无解析
155、判断题 晶体三极管最基本的作用是“放大”。()
点击查看答案
本题答案:错
本题解析:暂无解析
156、单项选择题 如图所示电路用电流表和电压表测量电阻阻值的两种电路,当电阻R的阻值较小时,较准确的测量电阻的阻值,应 选择()电路。
A.
B.
C.
D.
点击查看答案
本题答案:B
本题解析:暂无解析
157、问答题 测量某电动机的电压为380V,电流是20A。试求电压、电流的最大值,已知电压超前电流60°,试写出电压电流的瞬时值表达式。
点击查看答案
本题答案:解:因(测量值为有效值),φ=60°则
本题解析:试题答案解:因(测量值为有效值),φ=60°则电压的最大值Um=
U=
×380=537(V)
电流的最大值Im=
I=
×20=28A.
以电流为参考相量,则电压瞬时表达式
u=Umsin(ωt+)=537sin(ωt+60°)
电流瞬时表达式
i=Imsinωt=28sinωt
158、问答题
电路如图所示,图中E=12V,Rab=4Ω,Rac=8Ω,Rab=4Ω,Rbd=2Ω,Rbc=4Ω参数用三角、星形变换求支路电流I1是多少?

点击查看答案
本题答案:
试题答案



159、判断题 超高压系统产生的电晕是一种无功功率损耗。()
点击查看答案
本题答案:错
本题解析:暂无解析
160、问答题 什么是电灼伤?
点击查看答案
本题答案:是指电流不通过人体,引起人体(外部)组织受到(局部损害
本题解析:试题答案是指电流不通过人体,引起人体(外部)组织受到(局部损害)的一种伤害,如弧光烧伤等。
161、判断题 蓄电池的自放电是一种现象,而不会引起损耗。()
点击查看答案
本题答案:错
本题解析:暂无解析
162、判断题 在一个串联电阻的电路中,它的总电流也就是流过某一个电阻的电流。()
点击查看答案
本题答案:对
本题解析:暂无解析
163、判断题 变压器输出无功功率,也会引起有功损耗。()
点击查看答案
本题答案:对
本题解析:暂无解析
164、问答题 某正弦电流的初相角为30°,在t=T/2时,瞬时值为-0.4A,求这个正弦电流的有效值。
点击查看答案
本题答案:解:设正弦电流的瞬时值表达式
本题解析:试题答案解:设正弦电流的瞬时值表达式

将已知条件代入
则I=0.4=0.566A.
电流的有效值为0.566A。
165、填空题 电阻的英文是()。
点击查看答案
本题答案:resistor
本题解析:试题答案resistor
166、判断题 按正弦规律变化的交流电的三个要素是有效值(幅值)、频率和电位差(相位)。()
点击查看答案
本题答案:错
本题解析:暂无解析
167、问答题 如图所示,已知E1=18V,r1=1Ω,r2=1Ω,E4=10V各电阻R1=4Ω,R2=2Ω,R3=6Ω,电压表的读数U1是28V,试求电源电压E2是多少A、B、C、D各点的电位。
点击查看答案
本题答案:解:设环路中的电流为I则
本题解析:试题答案解:设环路中的电流为I则
?
则A点的电位是10V,
B点的电位UB=UA-IR1=10-2×4=2(V)?
C点的电位UC=UB-E1-IV1=2-18-2=-18(V)?
D点的电位UD=UC-IR2=-18-2×2=-22(V)?
故E2=U1+R2I+Ir2+IR3
=28+2×2+2+2×6
=46(V)?
电源E2为46V;A点电位为10V;B点电位为2V;C点电位为-18V;D点电位为-22V。
168、问答题 一台三相的变压器的低压侧线电压为6000V电流为10A,功率因数cosφ=0.866,求有功功率P,视在来源:91 考试网功率S,无功功率Q。
点击查看答案
本题答案:解:
试题答案解:
视在功率
无功功率
有功功率P为90kW,视在功率S为103.9kVA,无功功率Q为51.9kvar。
169、问答题 触电时电流通过人体的路径有哪几种?
点击查看答案
本题答案:有从手到手,从左手到脚,从右手到脚,从脚到脚构成路径。
本题解析:试题答案有从手到手,从左手到脚,从右手到脚,从脚到脚构成路径。
170、单项选择题 电气设备对地电压在()及以上为高压。
A.220V;
B.250V;
C.380V;
D.450V
点击查看答案
本题答案:D
本题解析:暂无解析
171、多项选择题 导体对电流的阻力是()。
A.电纳;
B.电阻;
C.导纳;
D.阻抗。
点击查看答案
本题答案:B, D
本题解析:暂无解析
172、单项选择题 男孩,4岁。因发热、呕吐2天,抽搐1次来院急诊。体检:神萎,颈抵抗,心、肺检查无异常,腹软,肝、脾无肿大,布氏征阳性,双侧巴氏征阳性,背部发现一疖肿,周围发红。脑脊液外观混浊,白细胞数2500×10/L,中性粒细胞0.90,糖1.68mmol/L,蛋白1.2g/L,氯化物118mmol/L。诊断首先考虑()
A.病毒性脑膜炎
B.化脓性脑膜炎
C.结核性脑膜炎
D.隐球菌脑膜炎
E.淋巴细胞脉络丛脑膜炎
点击查看答案
本题答案:B
本题解析:暂无解析
173、判断题 在电阻并联的电路中,总电流、总电压都分别等于各分电阻上电流、分电压之和。()
点击查看答案
本题答案:错
本题解析:暂无解析
174、问答题 制图题:画出一个条形磁铁的磁力线方向。
点击查看答案
本题答案:
试题答案
题库试看结束后
微信扫下方二维码即可打包下载完整版《
★电气值班员考试》题库
手机用户可保存上方二维码到手机中,在微信扫一扫中右上角选择“从相册选取二维码”即可。
题库试看结束后
微信扫下方二维码即可打包下载完整版《
电气值班员考试:电气值班员中级考试》题库,
分栏、分答案解析排版、小字体方便打印背记!经广大会员朋友实战检验,此方法考试通过率大大提高!绝对是您考试过关的不二利器!
手机用户可
保存上方二维码到手机中,在
微信扫一扫中右上角选择“从
相册选取二维码”即可。