手机用户可
保存上方二维码到手机中,在
微信扫一扫中右上角选择“从
相册选取二维码”即可。
1、填空题 “0”游程和“1”游程可以分别进行哈夫曼编码,两个码表中的码字可以重复,但()必须不同。
点击查看答案
本题答案:C码
本题解析:试题答案C码
2、填空题 已知某线性分组码的最小汉明距离为3,那么这组码最多能检测出()个码元错误,最多能纠正()个码元错误。
点击查看答案
本题答案:2;1
本题解析:试题答案2;1
3、名词解释 平均失真度
点击查看答案
本题答案:定义平均失真度为失真函数的数学期望,及d(xi,yi)
本题解析:试题答案定义平均失真度为失真函数的数学期望,及d(xi,yi)在X和Y得联合概率空间P(XY)中的统计平均值:D=E[D(xi,yi)],起是在平均的意义上,从总体上对整个系统失真情况的描述。
4、问答题 请给出信源编码器的主要任务以及对信源编码的基本要求。
点击查看答案
本题答案:解:信源编码器的主要任务是完成输入消息集合与输出代码集
本题解析:试题答案解:信源编码器的主要任务是完成输入消息集合与输出代码集合之间的映射。
对信源编码有如下基本要求:
(1)选择合适的信道基本符号,以使映射后的代码适应信道。例如,ASCII码选用了16进制数。
(2)寻求一种方法,把信源发出的消息变换成相应的代码组。这种方法就是编码,变换成的代码就是码字。
(3)编码应使消息集合与代码组集合中的元素一一对应。
5、填空题 对于香农编码、费诺编码和哈夫曼编码,编码方法惟一的是()。
点击查看答案
本题答案:香农编码
本题解析:试题答案香农编码
6、单项选择题 下列组合中不属于即时码的是()。
A.{0,01,011}
B.{0,10,110}
C.{00,10,11}
D.{1,01,00}
点击查看答案
本题答案:A
本题解析:暂无解析
7、填空题 当消息经过多级处理后,随着处理器数目的增多,输入消息与输出消息之间的平均互信息量()。
点击查看答案
本题答案:趋于变小
本题解析:试题答案趋于变小
8、填空题 一个随机事件发生某一结果后所带来的信息量称为自信息量,定义为()。
点击查看答案
本题答案:其发生概率对数的负值
本题解析:试题答案其发生概率对数的负值
9、填空题 克劳夫特不等式是唯一可译码()的充要条件。
点击查看答案
本题答案:存在
本题解析:试题答案存在
10、填空题 信道的输出仅与信道当前输入有关,而与过去输入无关的信道称为()信道。
点击查看答案
本题答案:无记忆
本题解析:试题答案无记忆
11、判断题 离散平稳有记忆信源符号序列的平均符号熵随着序列长度L的增大而增大。
点击查看答案
本题答案:错
本题解析:暂无解析
来源:91考试 网
12、名词解释 无记忆信道
点击查看答案
本题答案:在某一时刻信道的输出消息仅与当时的信道输入消息有关,而
本题解析:试题答案在某一时刻信道的输出消息仅与当时的信道输入消息有关,而与前面时刻的信道输入或输出消息无关。
13、判断题 香农信源编码方法在进行编码时不需要预先计算每个码字的长度。
点击查看答案
本题答案:错
本题解析:暂无解析
14、问答题 什么是香农容量公式?为保证足够大的信道容量,可采用哪两种方法?
点击查看答案
本题答案:
试题答案
15、名词解释 信源冗余度
点击查看答案
本题答案:信源熵的相对率为信源实际的信息熵与同样符号数的最大熵的
本题解析:试题答案信源熵的相对率为信源实际的信息熵与同样符号数的最大熵的比值:η=H无穷/H0,定义信源的冗余度为1减去信源熵的相对率η,即ξ=1-η。
16、填空题 ()是香农信息论最基本最重要的概念
点击查看答案
本题答案:熵
本题解析:试题答案熵
17、填空题 必然事件的自信息是()。
点击查看答案
本题答案:0
本题解析:试题答案0
18、填空题 ()称为香农第二极限定理。
点击查看答案
本题答案:有扰离散信道编码定理
本题解析:试题答案有扰离散信道编码定理
19、判断题 非奇异的定长码一定是唯一可译码。
点击查看答案
本题答案:错
本题解析:暂无解析
20、填空题 按照不同的编码目的,编码可以分为三类:分别是()、()和()。
点击查看答案
本题答案:信源编码;信道编码;安全编码
本题解析:试题答案信源编码;信道编码;安全编码
21、判断题 一般情况下,哈夫曼编码的效率大于香农编码和费诺编码。
点击查看答案
本题答案:对
本题解析:暂无解析
22、名词解释 码距
点击查看答案
本题答案:两个等长码字之间对应码元不相同的数目,称为码距
本题解析:试题答案两个等长码字之间对应码元不相同的数目,称为码距
23、单项选择题 同时扔两个正常的骰子,即各面呈现的概率都是1/6,若点数之和为12,则得到的自信息为()。
A.-log36bit
B.log36bit
C.-log(11/36)bit
D.log(11/36)bit
点击查看答案
本题答案:B
本题解析:暂无解析
24、填空题 保密系统的密钥量越小,密钥熵H(K)就越(),其密文中含有的关于明文的信息量I(M;C)就越()。
点击查看答案
本题答案:小;大
本题解析:试题答案小;大
25、单项选择题 一个随即变量x的概率密度函数P(x)=x/2,,则信源的相对熵为()。
A.0.5bit
B.0.72bit
C.1bit
D.1.44bit
点击查看答案
本题答案:C
本题解析:暂无解析
26、问答题 信源编码的和信道编码的目的是什么?
点击查看答案
本题答案:信源编码的作用:
(1)符号变换:使信源的输
本题解析:试题答案信源编码的作用:
(1)符号变换:使信源的输出符号与信道的输入符号相匹配;
(2)冗余度压缩:是编码之后的新信源概率均匀化,信息含量效率等于或接近于100%。
信道编码的作用:降低平均差错率。
27、填空题 多用户信道的信道容量用()来表示。
点击查看答案
本题答案:多维空间的一个区域的界限
本题解析:试题答案多维空间的一个区域的界限
28、填空题 在无失真的信源中,信源输出由()来度量;在有失真的信源中,信源输出由()来度量。
点击查看答案
本题答案:H(X); R(D)
本题解析:试题答案H(X); R(D)
29、名词解释 输出对称矩阵
点击查看答案
本题答案:转移概率矩阵的每一列都是第一列的置换(包含同样元素),
本题解析:试题答案转移概率矩阵的每一列都是第一列的置换(包含同样元素),则该矩阵称为输出对称矩阵。
30、问答题 试问四进制、八进制脉冲所含信息量是二进制脉冲的多少倍?
点击查看答案
本题答案:
试题答案
31、判断题 在已知收码R的条件下找出可能性最大的发码作为译码估计值,这种译码方法叫做最佳译码。
点击查看答案
本题答案:对
本题解析:暂无解析
32、填空题 根据码字所含的码元的个数,编码可分为()编码和()编码。
点击查看答案
本题答案:定长;变长
本题解析:试题答案定长;变长
33、判断题 平均互信息量I(X;Y)对于信源概率分布p(xi)和条件概率分布p(yj/xi)都具有凸函数性。
点击查看答案
本题答案:对
本题解析:暂无解析
34、填空题 信源的消息通过信道传输后的误差或失真越大,信宿收到消息后对信源存在的不确定性就(),获得的信息量就越小。
点击查看答案
本题答案:越大
本题解析:试题答案越大
35、判断题 连续信源和离散信源的熵都具有非负性。
点击查看答案
本题答案:错
本题解析:暂无解析
36、填空题 一般情况下,信源编码可以分为()、()和()。
点击查看答案
本题答案:离散信源编码;连续信源编码;相关信源编码
本题解析:试题答案离散信源编码;连续信源编码;相关信源编码
37、问答题 简述广义的信道编码的分类及各类编码的作用。
点击查看答案
本题答案:1、按照信道特性进行划分,信道编码可以分为:以纠独立随
本题解析:试题答案1、按照信道特性进行划分,信道编码可以分为:以纠独立随机差错为主的信道编码、以纠突发差错为主的信道编码、和纠混合差错的信道编码。
2、从功能上看,信道编码可以分为纠错码与检错码两类,纠错码一定能检错,检错吗不一定能纠错,平常所说的纠错码是两者的统称。
38、判断题 高斯加性信道的信道容量只与信道的信噪有关。
点击查看答案
本题答案:对
本题解析:暂无解析
39、判断题 连续信源和离散信源的平均互信息都具有非负性。
点击查看答案
本题答案:对
本题解析:暂无解析
40、填空题 设X的取值受限于有限区间[a,b],则X服从()分布时,其熵达到最大;如X的均值为,方差受限为,则X服从高斯分布时,其熵达到最大。
点击查看答案
本题答案:均匀;
本题解析:试题答案均匀;
41、填空题 平均互信息量I(X;Y)与信源熵和条件熵之间的关系是()。
点击查看答案
本题答案:(X;Y)=H(X)-H(X/Y)
本题解析:试题答案(X;Y)=H(X)-H(X/Y)
42、填空题 等重码可以检验()。
点击查看答案
本题答案:全部的奇数位错和部分的偶数位错
本题解析:试题答案全部的奇数位错和部分的偶数位错
43、名词解释 有记忆信道
点击查看答案
本题答案:在任意时刻信道的输出消息不仅与当时信道的输入消息有关,
本题解析:试题答案在任意时刻信道的输出消息不仅与当时信道的输入消息有关,而且还与以前时刻的信道输入消息和(或)输出消息有关。
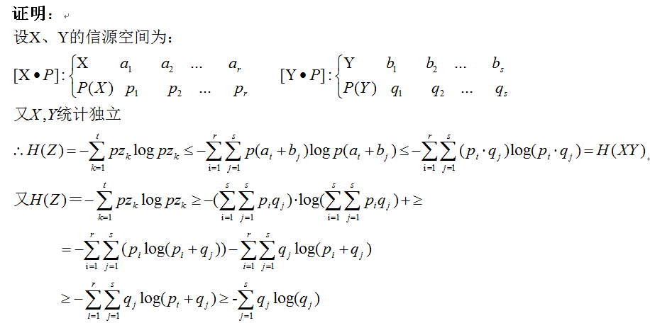
44、问答题
有两个二元随机变量X和Y,它们的联合概率为P[X=0,Y=0]=1/8,P[X=0,Y=1]=3/8,P[X=1,Y=1]=1/8,P[X=1,Y=0]=3/8。定义另一随机变量Z=XY,试计算:
(1)H(X),H(Y),H(Z),H(XZ),H(YZ),H(XYZ);
(2)H(X/Y),H(Y/X),H(X/Z),H(Z/X),H(Y/Z),H(Z/Y),H(X/YZ),H(Y/XZ),H(Z/XY);
(3)I(X;Y),I(X;Z),I(Y;Z),I(X;Y/Z),I(Y;Z/X),I(X;Z/Y)。
点击查看答案
本题答案:
试题答案
45、判断题 信息率失真函数R(D)是在平均失真不超过给定失真限度D的条件下,信息率容许压缩的最小值。
点击查看答案
本题答案:对
本题解析:暂无解析
46、问答题 每帧电视图像可以认为是由3×105个像素组成,所以像素均是独立变化,且每像素又取128个不同的亮度电平,并设亮度电平是等概出现。问每帧图像含有多少信息量?若现在有一个广播员,在约10000个汉字中选1000个字来口述这一电视图像,试问若要恰当地描述此图像,广播员在口述中至少需要多少汉字?
点击查看答案
本题答案:
试题答案
47、填空题 多用户信道可以分成几种最基本的类型:()、()和相关信源信道。
点击查看答案
本题答案:多址接入信道;广播信道
本题解析:试题答案多址接入信道;广播信道
48、填空题 某离散无记忆信源X,其符号个数为n,则当信源符号呈()分布情况下,信源熵取最大值()。
点击查看答案
本题答案:等概;log(n)
本题解析:试题答案等概;log(n)
49、问答题 解释无失真变长信源编码定理。
点击查看答案
本题答案:
试题答案
50、填空题 按照信源发出的消息在时间和幅度上的分布情况,可将信源分成()信源和()信源两大类。
点击查看答案
本题答案:离散;连续
本题解析:试题答案离散;连续
51、填空题 按树图法构成的码一定满足()的定义。
点击查看答案
本题答案:即时码
本题解析:试题答案即时码
52、判断题 可以用克劳夫特不等式作为唯一可译码存在的判据。
点击查看答案
本题答案:对
本题解析:暂无解析
53、名词解释 前向纠错(FEC)
点击查看答案
本题答案:是指差错控制过程中是单向的,无须差错信息的反馈。
本题解析:
试题答案是指差错控制过程中是单向的,无须差错信息的反馈。
54、填空题 互信息I(X;Y)与信息熵H(Y)的关系为:I(X;Y)()(大于、小于或者等于)H(Y)。
点击查看答案
本题答案:小于
本题解析:试题答案小于
55、判断题 某一信源,不管它是否输出符号,只要这些符号具有某些概率特性,就有信息量。
点击查看答案
本题答案:错
本题解析:暂无解析
56、问答题 居住某地区的女孩子有25%是大学生,在女大学生中有75%是身高160厘米以上的,而女孩子中身高160厘米以上的占总数的一半。假如我们得知“身高160厘米以上的某女孩是大学生”的消息,问获得多少信息量?
点击查看答案
本题答案:
试题答案
57、问答题 智能控制具有哪些特点?
点击查看答案
本题答案:(1)同时具有以知识表示的非数学广义模型和以数学模型(
本题解析:试题答案(1)同时具有以知识表示的非数学广义模型和以数学模型(含计算智能模型与算法)表示的混合控制过程,也往往是那些含有复杂性、不完全性、模糊性或不确定性以及不存在已知算法的过程,并以知识进行推理,以启发式策略和智能算法来引导求解过程。
(2)智能控制的核心在高层控制,即组织级。高层控制的任务在于对实际环境或过程进行组织,即决策和规划,实现广义问题求解。
(3)智能控制是一门边缘交叉学科。实际上,智能控制涉及更多的相关学科。智能控制的发展需要各相关学科的配合与支援,同时也要求智能控制工程师是个知识工程师。
(4)智能控制是一个新兴的研究领域。无论在理论上或实践上它都还很不成熟、很不完善,需要进一步探索与开发。
58、问答题 简述多用户信道的分类。
点击查看答案
本题答案:多址接入信道、广播信道和相关信源的多用户信道
本题解析:试题答案多址接入信道、广播信道和相关信源的多用户信道
59、问答题 简述香农第一编码定理的物理意义?
点击查看答案
本题答案:无失真信源编码,编码后尽可能等概率分布,使每个码元平均
本题解析:试题答案无失真信源编码,编码后尽可能等概率分布,使每个码元平均信息量最大。从而使信道信息传输率R达到信道容量C,实现信源与信道理想的统计匹配。
60、判断题 对于BSC信道,信道编码应当是一对一的编码,因此,消息m的长度等于码字c的长度。
点击查看答案
本题答案:错
本题解析:暂无解析
61、填空题 信息的()是建立信息论的基础。
点击查看答案
本题答案:可度量性
本题解析:试题答案可度量性
62、填空题 游程序列的熵()原二元序列的熵。
点击查看答案
本题答案:等于
本题解析:试题答案等于
63、判断题 率失真函数的最小值是0。
点击查看答案
本题答案:对
本题解析:暂无解析
64、判断题 率失真函数没有最大值。
点击查看答案
本题答案:错
本题解析:暂无解析
65、问答题 简述费诺编码的编码步骤。
点击查看答案
本题答案:费诺编码的步骤:
1)信源符号以概率递减的次
本题解析:试题答案费诺编码的步骤:
1)信源符号以概率递减的次序排列起来;
2)将排列好的信源符号按概率值划分成两大组,使每组的概率之和接近于相等,并对每组各赋予一个二元码符号“0”和“1”;
3)将每一大组的信源符号再分成两组,使划分后的两个组的概率之和接近于相等,再分别赋予一个二元码符号;
4)依次下去,直至每个小组只剩一个信源符号为止
5)信源符号所对应的码字即为费诺码。
66、问答题 在图片传输中,每帧约有2.25×106个像素,为了能很好的重现图像,需分16个量度电平,并假设量度电平等概率分布,试计算每分钟传输一帧图片所需信道的带宽(信噪功率比为30dB).
点击查看答案
本题答案:
试题答案
67、填空题 线性分组码是同时具有()的纠错码。
点击查看答案
本题答案:分组特性和线性特性
本题解析:试题答案分组特性和线性特性
68、填空题 差错控制的基本方式大致可以分为()、()和()。
点击查看答案
本题答案:前向纠错;反馈重发;混合纠错
本题解析:试题答案前向纠错;反馈重发;混合纠错
69、判断题 信源的消息通过信道传输后的误差或失真越大,信宿收到消息后对信源存在的不确定性就越小,获得的信息量就越小。
点击查看答案
本题答案:错
本题解析:暂无解析
70、判断题 卷积码是一种特殊的线性分组码。
点击查看答案
本题答案:错
本题解析:暂无解析
71、判断题 当随即变量X和Y相互独立时,条件熵等于信源熵。
点击查看答案
本题答案:对
本题解析:暂无解析
72、判断题 必然事件和不可能事件的自信息量都是0。
点击查看答案
本题答案:错
本题解析:暂无解析
73、单项选择题 根据树图法构成规则,()
A.在树根上安排码字
B.在树枝上安排码字
C.在中间节点上安排码字
D.在终端节点上安排码字
点击查看答案
本题答案:D
本题解析:暂无解析
74、问答题 简述最大离散熵定理。对于一个有m个符号的离散信源,其最大熵是多少?
点击查看答案
本题答案:
试题答案
75、填空题 平均错误概率不仅与信道本身的()特性有关,还与()规则和()方法有关
点击查看答案
本题答案:统计;译码;编码
本题解析:试题答案统计;译码;编码
76、判断题 最大信息传输速率,即:选择某一信源的概率分布(p(xi)),使信道所能传送的信息率的最大值。
点击查看答案
本题答案:错
本题解析:暂无解析
77、填空题 信息论是应用近代数理统计方法研究信息的传输、存储与处理的科学,故称为();1948年香农在贝尔杂志上发表了两篇有关的“通信的数学理论”文章,该文用熵对信源的()的度量,同时也是衡量()大小的一个尺度;表现在通 信领域里,发送端发送什么有一个不确定量,通过信道传输,接收端收到信息后,对发送端发送什么仍然存在一个不确定量,把这两个不确定量差值用()来表示,它表现了通信信道流通的(),若把它取最大值,就是通信线路的(),若把它取最小值,就是()。
点击查看答案
本题答案:3;4;5;6;7;8;9
本题解析:试题答案3;4;5;6;7;8;9
78、问答题
为了使电视图象获得良好的清晰度和规定的对比度,需要用5×105个像素和10个不同的亮度电平,并设每秒要传送30帧图象,所有的像素是独立的,且所有亮度电平等概出现。求传输此图象所需要的信息率(bit/s)。
点击查看答案
本题答案:
试题答案
79、判断题 信道容量是信道中能够传输的最小信息量。
点击查看答案
本题答案:错
本题解析:暂无解析
80、判断题 多用户信道的信道容量不能用一个数来代表,但信道的信息率可以用一个数来表示。
点击查看答案
本题答案:错
本题解析:暂无解析
81、填空题 在实际的游程编码过程中,对长码一般采取()处理的方法。
点击查看答案
本题答案:截断
本题解析:试题答案截断
82、判断题 率失真函数对允许的平均失真度具有上凸性。
点击查看答案
本题答案:对
本题解析:暂无解析
83、判断题 对于具有归并性能的无燥信道,当信源等概率分布时(p(xi)=1/n),达到信道容量。
点击查看答案
本题答案:错
本题解析:暂无解析
84、填空题 在现代通信系统中,信源编码主要用于解决信息传输中的()性,信道编码主要用于解决信息传输中的()性,加密编码主要用于解决信息传输中的()性。
点击查看答案
本题答案:有效;可靠;安全
本题解析:试题答案有效;可靠;安全
85、填空题 当信道的噪声对输入的干扰作用表现为噪声和输入的线性叠加时,此信道称为()。
点击查看答案
本题答案:加性连续信道
本题解析:试题答案加性连续信道
86、问答题 简述信息的特征。
点击查看答案
本题答案:信息的基本概念在于它的不确定性,任何已确定的事物都不含
本题解析:试题答案信息的基本概念在于它的不确定性,任何已确定的事物都不含信息。
接收者在收到信息之前,对它的内容是不知道的,所以信息是新知识、新内容。
信息是能使认识主体对某一事物的未知性或不确定性减少的有用知识。
信息可以产生,也可以消失,同时信息可以被携带、贮存及处理。
信息是可以量度的,信息量有多少的差别。
87、填空题 一个随机事件的()定义为其出现概率对数的负值。
点击查看答案
本题答案:自信息量
本题解析:试题答案自信息量
88、判断题 限平均功率最大熵定理指出对于相关矩阵一定的随机矢量X,当它是正态分布时具有最大熵。
点击查看答案
本题答案:对
本题解析:暂无解析
89、判断题 N维统计独立均匀分布连续信源的熵是N维区域体积的对数。
点击查看答案
本题答案:对
本题解析:暂无解析
90、填空题 信源的冗余度来自两个方面,一是信源符号之间的(),二是信源符号分布的()。
点击查看答案
本题答案:相关性;不均匀性
本题解析:试题答案相关性;不均匀性
91、名词解释 奇异码
点击查看答案
本题答案:包含相同的码字的码称为奇异码
本题解析:试题答案包含相同的码字的码称为奇异码
92、填空题 信源编码的目的是提高通信的(),信道编码的目的是提高通信的(),加密编码的目的是保证通信的()。
点击查看答案
本题答案:有效性;可靠性;安全性
本题解析:试题答案有效性;可靠性;安全性
93、判断题 在游程编码过程中,“0”游程和“1”游程应分别编码,因此,它们的码字不能重复。
点击查看答案
本题答案:错
本题解析:暂无解析
94、问答题 请给出连续信源分别为均匀分布、高斯分布和指数分布时信源的相对熵。
点击查看答案
本题答案:
试题答案
95、填空题 无失真信源编码的中心任务是编码后的信息率压缩接近到()限失真压缩中心任务是在给定的失真度条件下,信息率压缩接近到()。
点击查看答案
本题答案:1;2
本题解析:试题答案1;2
96、填空题 自信息量的单位一般有()。
点击查看答案
本题答案:比特、奈特和哈特
本题解析:试题答案比特、奈特和哈特
97、填空题
若分组码H阵列列线性无关数为n,则纠错码的最小距离dmin为()。
点击查看答案
本题答案:10
本题解析:试题答案10
98、填空题 对于离散无记忆信道和信源的N次扩展,其信道容量CN=()。
点击查看答案
本题答案:NC
本题解析:试题答案NC
99、填空题 设信道输入端的熵为H(X),输出端的熵为H(Y),该信道为无噪有损信道,则该信道的容量为()
点击查看答案
本题答案:Max H(Y)
本题解析:试题答案Max H(Y)
100、判断题 离散无噪信道的信道容量等于log2n,其中n是信源X的消息个数。
点击查看答案
本题答案:错
本题解析:暂无解析
101、判断题 等重码和奇(偶)校验码都可以检出全部的奇数位错
点击查看答案
本题答案:对
本题解析:暂无解析
102、填空题 按照信息的地位,可以把信息分成()和()。
点击查看答案
本题答案:客观信息;主观信息
本题解析:试题答案客观信息;主观信息
103、填空题 信息率失真理论是量化、数模转换、频带压缩和()的理论基础。
点击查看答案
本题答案:数据压缩
本题解析:试题答案数据压缩
104、判断题 汉明码是一种线性分组码。
点击查看答案
本题答案:对
本题解析:暂无解析
105、问答题 试说明循环码对突发错误的检测能力。
点击查看答案
本题答案:
试题答案
106、填空题 设有一个离散无记忆平稳信道,其信道容量为C,只要待传送的信息传输率R()C(大于、小于或者等于),则存在一种编码,当输入序列长度n足够大,使译码错误概率任意小。
点击查看答案
本题答案:小于
本题解析:试题答案小于
107、名词解释 保真度准则
点击查看答案
本题答案:从平均意义上讲,信道每传送一个符号所引起的平均失真不能
本题解析:试题答案从平均意义上讲,信道每传送一个符号所引起的平均失真不能超过某一给定的限定值D,即要求D≤D,称这种对于失真的限制条件为保真度准则保真度准则。
108、填空题 对具有8个消息的单符号离散无记忆信源进行4进制哈夫曼编码时,为使平均码长最短,应增加()个概率为0的消息。
点击查看答案
本题答案:2
本题解析:试题答案2
109、问答题 信息的主要特征有哪些?
点击查看答案
本题答案:信息具有以下特征:
(1)信息是可以识别的<
本题解析:试题答案信息具有以下特征:
(1)信息是可以识别的
(2)信息的载体是可以转换的
(3)信息是可以存贮的
(4)信息是可以传递的
(5)信息是可以加工的
(6)信息是可以共享的
110、填空题 要使通信系统做到传输信息有效、可靠和保密,必须首先()编码,然后()编码,再()编码,最后送入信道。
点击查看答案
本题答案:信源;加密;信道
本题解析:试题答案信源;加密;信道
111、判断题 信源X的概率分布为P(X)={1/2,1/3,1/6},对其进行哈夫曼编码得到的码是唯一的。
点击查看答案
本题答案:错
本题解析:暂无解析
112、问答题 请给出平均码长界定定理及其物理意义。
点击查看答案
本题答案:
试题答案
113、判断题 线性码一定包含全零码。
点击查看答案
本题答案:对
本题解析:暂无解析
114、填空题 对于均值为0,平均功率受限的连续信源,信源的冗余度决定于平均功率的限定值P和信源的熵功率()。
点击查看答案
本题答案:之比
本题解析:试题答案之比
115、填空题 在认识论层次上研究信息的时候,必须同时考虑到()、()和()三个方面的因素。
点击查看答案
本题答案:形式;含义;效用
本题解析:试题答案形式;含义;效用
116、单项选择题 纠错编码中,下列哪种措施不能减小差错概率()。
A.增大信道容量
B.增大码长
C.减小码率
D.减小带宽
点击查看答案
本题答案:D
本题解析:暂无解析
117、判断题 离散信源或数字信号的信源编码的理论基础是限失真信源编码定理。
点击查看答案
本题答案:错
本题解析:暂无解析
118、填空题 信道一般指传输信息的物理媒介,分为()信道和()信道。
点击查看答案
本题答案:有线;无线
本题解析:试题答案有线;无线
119、填空题 人们研究信息论的目的是为了()、()、()地交换和利用各种各样的信息。
点击查看答案
本题答案:高效;可靠;安全
本题解析:试题答案高效;可靠;安全
120、填空题 离散对称信道输入等概率时,输出为()分布。
点击查看答案
本题答案:等概
本题解析:试题答案等概
121、填空题 信道编码定理是一个理想编码的存在性定理,即:信道无失真传递信息的条件是()。
点击查看答案
本题答案:信息率小于信道容量
本题解析:试题答案信息率小于信道容量
122、问答题 试证明n维随机变量的共熵,不大于它们各自的熵之和。
点击查看答案
本题答案:
试题答案
123、判断题 单符号离散信源的自信息和信源熵都是一个确定值。
点击查看答案
本题答案:错
本题解析:暂无解析
124、判断题 多用户信道的信道容量不能用一个数来代表。
点击查看答案
本题答案:对
本题解析:暂无解析
125、填空题 纠错码的检、纠错能力是指()。
点击查看答案
本题答案:检测、纠正错误码元的数目
本题解析:试题答案检测、纠正错误码元的数目
126、判断题 率失真函数的值与信源的输入概率无关。
点击查看答案
本题答案:错
本题解析:暂无解析
127、单项选择题 条件熵和无条件熵的关系是:()
A.H(Y/X)<H(Y)
B.H(Y/X)>H(Y)
C.H(Y/X)≤H(Y)
D.H(Y/X)≥H(Y)
点击查看答案
本题答案:C
本题解析:暂无解析
128、填空题 离散无记忆N次扩展信源通过离散无记忆N次扩展信道的平均失真度是单符号信源通过单符号信道的平均失真度的()倍。
点击查看答案
本题答案:N
本题解析:试题答案N
129、问答题 写出香农公式,并说明其物理意义。当信道带宽为5000Hz,信噪比为30dB时求信道容量。
点击查看答案
本题答案:
试题答案
130、判断题 互信息量I(X;Y)表示收到Y后仍对信源X的不确定度。
点击查看答案
本题答案:对
本题解析:暂无解析
131、问答题 简述信源的符号之间的依赖与信源冗余度的关系。
点击查看答案
本题答案:当信源的符号之间有依赖时,信源输出消息的不确定性减弱。
本题解析:试题答案当信源的符号之间有依赖时,信源输出消息的不确定性减弱。而信源冗余度正是反映信源符号依赖关系的强弱,冗余度越大,依赖关系就越大。
132、问答题 解释信息传输率、信道容量、最佳输入分布的概念,说明平均互信息与信源的概率分布、信道的传递概率间分别是什么关系?
点击查看答案
本题答案:信息传输率R指信道中平均每个符号所能传送的信息量。信道
本题解析:试题答案信息传输率R指信道中平均每个符号所能传送的信息量。信道容量是一个信道所能达到的最大信息传输率。信息传输率达到信道容量时所对应的输入概率分布称为最佳输入概率分布。
平均互信息是信源概率分布的∩型凸函数,是信道传递概率的U型凸函数。
133、填空题 单符号离散信源一般用随机变量描述,而多符号离散信源一般用()描述。
点击查看答案
本题答案:随机矢量
本题解析:试题答案随机矢量
134、问答题 两个离散随机变量X和Y,其和为Z=X+Y,若X和Y统计独立,求证: (1)H(X)≤H(Z),H(Y)≤H(Z) (2)H(XY)≥H(Z)
点击查看答案
本题答案:
试题答案
135、填空题 按照信息的性质,可以把信息分成()、()和()。
点击查看答案
本题答案:语法信息;语义信息;语用信息
本题解析:试题答案语法信息;语义信息;语用信息
136、单项选择题 固定总价合同一般适用于()工程。
A.设计图纸完整齐备
B.工程规模小,工期短
C.技术复杂
D.工程量大
点击查看答案
本题答案:B
本题解析:暂无解析
137、问答题 简述二元哈夫曼编码的编码步骤。
点击查看答案
本题答案:1)将q个信源符号按概率递减的方式排列起来;
本题解析:试题答案1)将q个信源符号按概率递减的方式排列起来;
2)用“0”、“1”码符号分别表示概率最小的两个信源符号,并将这两个概率最小的信源符号合并成一个新的符号,从而得到只包含q-1个符号的新信源,称之为S信源的S1缩减信源;
3)将缩减信源中的符号仍按概率大小以递减次序排列,再将其最后两个概率最小的符号合并成一个符号,并分别用“0”、“1”码符号表示,这样又形成了由q-2个符号构成的缩减信源S2;
4)依次继续下去,直到缩减信源只剩下两个符号为止,将这最后两个符号分别用“0”、“1”码符号表示;5)从最后一级缩减信源开始,向前返回,沿信源缩减方向的反方向取出所编的码元,得出各信源符号所对应的码符号序列,即为对应信源符号的码字。
138、名词解释 完备码
点击查看答案
本题答案:如果所有禁用码字都包含在某码球内,可以按最大似然译码原
本题解析:试题答案如果所有禁用码字都包含在某码球内,可以按最大似然译码原则向球心单向译码,这样的码叫如果所有禁用码字都包含在某码球内,可以按最大似然译码原则向球心单向译码,这样的码叫完备码。
139、判断题 信源熵具有严格的下凸性。
点击查看答案
本题答案:错
本题解析:暂无解析
140、填空题 对于限峰值功率的N维连续信源,当概率密度()时连续信源熵具有最大值。
点击查看答案
本题答案:均匀分布
本题解析:试题答案均匀分布
141、填空题 信息的基本概念在于它的()。
点击查看答案
本题答案:不确定性
本题解析:试题答案不确定性
142、填空题 信源的消息通过信道传输后的误差或失真越大道传输消息所需的信息率()。
点击查看答案
本题答案:也越小
本题解析:试题答案也越小
143、问答题 从大量统计资料知道,男性中红绿色盲的发病率为7%,女性发病率为0.5%.如果你问一位男士:“你是否是红绿色盲?”他的回答可能是:“是”,也可能“不是”。问这两个回答中各含有多少信息量?平均每个回答中各含有多少信息量?如果你问一位女士,则她的答案中含有多少平均信息量?
点击查看答案
本题答案:
试题答案
144、问答题 信息的重要性质有哪些?
点击查看答案
本题答案:可靠性、保密性、有效性、认证性
本题解析:试题答案可靠性、保密性、有效性、认证性
145、问答题 简单介绍哈夫曼编码的步骤。
点击查看答案
本题答案:①将信源消息符号按其出现的概率大小依次排列
本题解析:试题答案①将信源消息符号按其出现的概率大小依次排列
p(x1)≥p(x2)≥…≥p(xn)
②取两个概率最小的符号分别配以0和1,并将这两个概率相加作为一个新符号的概率,与未分配码元的符号重新排队。
③对重排后的两个概率最小符号重复步骤2的过程。
④继续上述过程,直到最后两个符号配以0和1为止。
⑤从最后一级开始,向前返回得到各个信源符号所对应的码元序列,即相应的码字。
146、填空题 L-D编码适合于冗余位()的情况。
点击查看答案
本题答案:较多或较少
本题解析:试题答案较多或较少
147、单项选择题 下列离散信源,熵最大的是()。
A.H(1/3,1/3,1/3);
B.H(1/2,1/2);
C.H(0.9,0.1);
D.H(1/2,1/4,1/8,1/8)
点击查看答案
本题答案:D
本题解析:暂无解析
148、问答题 请给出失真函数、平均失真度、保真度准则、信息率失真函数的定义。
点击查看答案
本题答案:
试题答案
149、填空题 如果所有码字都配置在二进制码树的叶节点,则该码字为()码。
点击查看答案
本题答案:唯一可译
本题解析:试题答案唯一可译
150、名词解释 香农信息
点击查看答案
本题答案:信息是事物运动状态或存在方式的不确定性的描述。
本题解析:试题答案信息是事物运动状态或存在方式的不确定性的描述。
151、填空题 对于二元序列0011100000011111001111000001111111,其相应的游程序列是()。
点击查看答案
本题答案:23652457
本题解析:试题答案23652457
152、填空题 信源编码的目的是:()
点击查看答案
本题答案:提高通信的有效性
本题解析:试题答案提高通信的有效性
153、判断题 一维高斯分布的连续信源,其信源熵只与其均值和方差有关。
点击查看答案
本题答案:错
本题解析:暂无解析
154、判断题 定长编码的效率一般小于不定长编码的效率。
点击查看答案
本题答案:对
本题解析:暂无解析
155、问答题 信道的分类方法有哪些?
点击查看答案
本题答案:根据载荷消息的媒体不同(邮递信道、电信道、光信道、声信
本题解析:试题答案根据载荷消息的媒体不同(邮递信道、电信道、光信道、声信道)。根据信息传输的方式(输入和输出信号的形式。信道的统计特性、信道的用户多少)。根据信道的用户多少:两端(单用户)信道、多端(多用户)信道。根据信道输入端和输出端的关联(无反馈信道、反馈信道)根据信道的参数与时间的关系(固定参数信道、时变参数信道。根据输入和输出信号的特点(离散信道、连续信道、半离散或半连续信道波形信道)
156、填空题 如果信源和失真度一定,则平均失真度是()的函数。
点击查看答案
本题答案:信道统计特性
本题解析:试题答案信道统计特性
157、名词解释 信息率失真函数
点击查看答案
本题答案:在保真度准则下,再现信源消息所必须获得的最少平均信息量
本题解析:试题答案在保真度准则下,再现信源消息所必须获得的最少平均信息量;在保真度准则下,再现信源消息所必须获得的最少平均信息量;满足保真度准则下,信源可压缩的最小值。
158、填空题 信息率失真函数,简称为率失真函数,即:试验信道中的平均互信息量的()。
点击查看答案
本题答案:最小值
本题解析:试题答案最小值
159、问答题 请给出最佳自由距离卷积码的定义并简要说明如何获得具有最佳自由距离的卷积码。
点击查看答案
本题答案:
试题答案
160、问答题 什么是平均自信息量与平均互信息,比较一下这两个概念的异同?
点击查看答案
本题答案:
试题答案
161、填空题 求解率失真函数的问题,即:在给定失真度的情况下,求信息率的()。
点击查看答案
本题答案:极小值
本题解析:试题答案极小值
162、名词解释 自信息量
点击查看答案
本题答案:一个随机事件发生某一结果后所带来的信息量成为自信息量,
本题解析:试题答案一个随机事件发生某一结果后所带来的信息量成为自信息量,定义为其发生概率对数的负值。
163、判断题 离散无记忆序列信源中平均每个符号的符号熵等于单个符号信源的符号熵。
点击查看答案
本题答案:对
本题解析:暂无解析
164、问答题 简述几种信息分类的准则和方法。
点击查看答案
本题答案:狭义信息论、一般信息论、广义信息论
本题解析:试题答案狭义信息论、一般信息论、广义信息论
165、名词解释 信道散布度
点击查看答案
本题答案:表示在已知X后,对于输出Y尚存的平均不确定性;
本题解析:试题答案表示在已知X后,对于输出Y尚存的平均不确定性;
166、填空题 “冗余变换”即:将一个冗余序列转换成一个二元序列和一个()。
点击查看答案
本题答案:缩短了的多元序列
本题解析:试题答案缩短了的多元序列
167、判断题 连续信源和离散信源都具有可加性。
点击查看答案
本题答案:对
本题解析:暂无解析
168、判断题 短期授信指半年以内(含半年)的授信,中长期授信指半年以上的授信。
点击查看答案
本题答案:错
本题解析:暂无解析
169、填空题 自信息量表征信源中各个符号的不确定度,信源符号的概率越大,其自信息量越()
点击查看答案
本题答案:小
本题解析:试题答案小
170、填空题 狭义的信道编码即:()。
点击查看答案
本题答案:检、纠错编码
本题解析:试题答案检、纠错编码
171、填空题 离散平稳无记忆信源X的N次扩展信源的熵等于离散信源X的熵的()。
点击查看答案
本题答案:N倍
本题解析:试题答案N倍
172、判断题 算术编码是一种无失真的分组信源编码,其基本思想是将一定精度数值作为序列的编码,是以另外一种形式实现的最佳统计匹配编码。
点击查看答案
本题答案:错
本题解析:暂无解析
173、判断题 游程序列的熵(“0”游程序列的熵与“1”游程序列的熵的和)大于等于原二元序列的熵。
点击查看答案
本题答案:错
本题解析:暂无解析
174、填空题 若一离散无记忆信源的信源熵H(X)等于2.5,对信源进行等长的无失真二进制编码,则编码长度至少为()。
点击查看答案
本题答案:3
本题解析:试题答案3
175、填空题 L-D编码是一种()的方法。
点击查看答案
本题答案:分帧传送冗余位序列
本题解析:试题答案分帧传送冗余位序列
176、名词解释 平稳信源
点击查看答案
本题答案:概率分布函数与时间起点无关,平稳信源是有记忆的,记忆的
本题解析:试题答案概率分布函数与时间起点无关,平稳信源是有记忆的,记忆的长度有限。
177、判断题 信道无失真传递信息的条件是信息率小于信道容量。
点击查看答案
本题答案:对
本题解析:暂无解析
178、填空题 ()是信息度量最常用的方法
点击查看答案
本题答案:统计度量
本题解析:试题答案统计度量
179、单项选择题 二进制通信系统使用符号0和1,由于存在失真,传输时会产生误码,用符号表示下列事件,u0:一个0发出u1:一个1发出v0:一个0收到v1:一个1收到则已知收到的符号,被告知发出的符号能得到的信息量是()。
A.H(U/V)
B.H(V/U)
C.H(U,V)
D.H(UV)
点击查看答案
本题答案:A
本题解析:暂无解析
180、判断题 利用状态极限概率和状态一步转移概率来求m阶马尔可夫信源的极限熵。
点击查看答案
本题答案:对
本题解析:暂无解析
181、填空题 平均失真度的下限取0的条件是失真矩阵的()。
点击查看答案
本题答案:每一行至少有一个零元素
本题解析:试题答案每一行至少有一个零元素
182、填空题 ()提高通信的有效性,()目的是提高通信的可靠性,()编码的目的是保证通信的安全性。
点击查看答案
本题答案:信源;信道;加密
本题解析:试题答案信源;信道;加密
183、填空题 连续信源或模拟信号的信源编码的理论基础是()。
点击查看答案
本题答案:限失真信源编码定理
本题解析:试题答案限失真信源编码定理
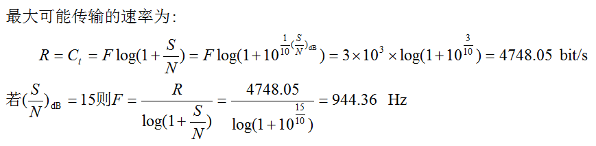
184、问答题 已知一个高斯信道,输入信噪功率比为3dB,频带为3kHz,求最大可能传送的信息率是多少?若信噪比提高到15dB,求理论上传送同样的信息率所需的频带.
点击查看答案
本题答案:
试题答案
185、判断题 在编m(m>2)进制的哈夫曼码时,要考虑是否需要增加概率为0的码字,以使平均码长最短。
点击查看答案
本题答案:对
本题解析:暂无解析
186、问答题 传统控制理论在应用中面临的难题包括哪些?
点击查看答案
本题答案:(1)传统控制系统的设计与分析是建立在精确的系统数学模
本题解析:试题答案(1)传统控制系统的设计与分析是建立在精确的系统数学模型基础上的,而实际系统由于存在复杂性、非线性、时变性、不确定性和不完全性等,一般无法获得精确的数学模型。
(2)研究这类系统时,必须提出并遵循一些比较苛刻的假设,而这些假设在应用中往往与实际不相吻合。(3)对于某些复杂的和包含不确定性的对象,根本无法以传统数学模型来表示,即无法解决建模问题。(4)为了提高性能,传统控制系统可能变得很复杂,从而增加了设备的初投资和维修费用,降低系统的可靠性。传统控制理论在应用中面临的难题的解决,不仅需要发展控制理论与方法,而且需要开发与应用计算机科学与工程的最新成果。人工智能的产生和发展正在为自动控制系统的智能化提供有力支持。人工智能影响了许多具有不同背景的学科,它的发展已促进自动控制向着更高的水平──智能控制发展
187、填空题 两个相互独立的随机变量的联合自信息量等于()。
点击查看答案
本题答案:两个自信息量之和
本题解析:试题答案两个自信息量之和
188、填空题 广播信道是只有()的信道。
点击查看答案
本题答案:一个输入端和多个输出端
本题解析:试题答案一个输入端和多个输出端
189、填空题 1948年,美国数学家()发表了题为“通信的数学理论”的长篇论文,从而创立了信息论。
点击查看答案
本题答案:香农
本题解析:试题答案香农
190、名词解释 离散平稳无记忆信源
点击查看答案
本题答案:假定随机变量欲裂的长度是有限的,如果信源输出地信息序列
本题解析:试题答案假定随机变量欲裂的长度是有限的,如果信源输出地信息序列中,符号之间的无相互依赖关系,则称这类信源为离散平稳无记忆信源。
191、判断题 信源X的概率分布为P(X)={1/2,1/3,1/6},信源Y的概率分布为P(Y)={1/3,1/2,1/6},则信源X和Y的熵相等。
点击查看答案
本题答案:对
本题解析:暂无解析
192、判断题 m阶马尔可夫信源和消息长度为m的有记忆信源,其所含符号的依赖关系相同
点击查看答案
本题答案:错
本题解析:暂无解析
193、判断题 信源编码通常是通过压缩信源的冗余度来实现的。
点击查看答案
本题答案:对
本题解析:暂无解析
194、填空题 最大后验概率译码指的是译码器要在已知r的条件下找出可能性最大的发码(),即令=maxP(r)。
点击查看答案
本题答案:作为译码估值
本题解析:试题答案作为译码估值
195、判断题 L-D编码适合于冗余位较多和较少的情况,否则,不但不能压缩码率,反而使其扩张。
点击查看答案
本题答案:对
本题解析:暂无解析
196、问答题 设某彩电系统,除了满足对于黑白电视系统的上述要求外,还必须有30个不同的色彩度。试证明传输这种彩电系统的信息率要比黑白系统的信息率大2.5倍左右。
点击查看答案
本题答案:
试题答案
197、问答题 对于一个一般的通信系统,试给出其系统模型框图,并结合此图,解释数据处理定理。
点击查看答案
本题答案:
试题答案
198、问答题 简述离散信源和连续信源的最大熵定理。
点击查看答案
本题 答案:离散无记忆信源,等概率分布时熵最大。连续信源,峰值功率
本题解析:试题答案离散无记忆信源,等概率分布时熵最大。连续信源,峰值功率受限时,均匀分布的熵最大。平均功率受限时,高斯分布的熵最大。均值受限时,指数分布的熵最大。
199、判断题 当p(xi)、p(yj/xi)和d(xi,yj)给定后,平均失真度是一个随即变量。
点击查看答案
本题答案:错
本题解析:暂无解析
200、填空题 假设每个消息的发出都是等概率的,四进制脉冲所含信息量是二进制脉冲的()倍。
点击查看答案
本题答案:2
本题解析:试题答案2
题库试看结束后
微信扫下方二维码即可打包下载完整版《
★计算机科学技术》题库
手机用户可保存上方二维码到手机中,在微信扫一扫中右上角选择“从相册选取二维码”即可。
题库试看结束后
微信扫下方二维码即可打包下载完整版《
计算机科学技术:信息论与编码》题库,
分栏、分答案解析排版、小字体方便打印背记!经广大会员朋友实战检验,此方法考试通过率大大提高!绝对是您考试过关的不二利器!
手机用户可
保存上方二维码到手机中,在
微信扫一扫中右上角选择“从
相册选取二维码”即可。