|
1、单项选择题 男性,46岁,因急性坏死出血性胰腺炎收治入院,行坏死组织清除,胃空肠瘘及胰周置管术。
该病人营养治疗的首要目的是()
A.补充充足的能量
B.减轻胰腺负担,使胃肠道充分休息
C.尽早过渡到自然饮食
D.补充充足的蛋白质
E.维持病人体重
点击查看答案
本题答案》题库 点击进入《》考试资料下载,在线测试
1、单项选择题 男性,46岁,因急性坏死出血性胰腺炎收治入院,行坏死组织清除,胃空肠瘘及胰周置管术。
该病人营养治疗的首要目的是()
A.补充充足的能量
B.减轻胰腺负担,使胃肠道充分休息
C.尽早过渡到自然饮食
D.补充充足的蛋白质
E.维持病人体重
点击查看答案
本题答案:C 本题解析:暂无解析
2、单项选择题 组织的最高管理者是指()。
A.执行层
B.协调层
C.操作层
D.决策层
点击查看答案
本题答案:D 本题解析:暂无解析
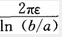
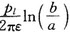
3、单项选择题 同轴电缆内导体的半径为a,外导体的内半径为b,内外导体间填充的介质为介电常数ε的媒质,该同轴电缆单位长度的电容应为()F/m。
A.
B.
C.
D.
点击查看答案
本题答案:B 本题解析:暂无解析
4、多项选择题 对回归模型存在异方差问题的主要处理方法有()。
A.加权最小二乘法
B.差分法
C.改变模型的数学形式
D.移动平均法
点击查看答案
本题答案:A, C 本题解析:对回归模型存在异方差问题的主要处理方法有:①加权最小二乘法,对原模型加权,使之变成一个新的不存在异方差性的模型,然后采用普通最小二乘法估计其参数;②改变模型的数学形式,改变模型的数学表达形式可以有效改善异方差问题,比如将线性模型改为对数线性模型,异方差的情况将有所改善。B、D两选项为自相关问题的处理方法。
5、单项选择题 关于急性肾盂肾炎的物理因子治疗,下面不正确的是()
A.微波
B.红光、红外线
C.立体干扰
D.脉冲磁疗
E.热量超短波
点击查看答案
本题答案:E 本题解析:热量超短波不能用于急性炎症。
6、单项选择题 自发性气胸的特发性常见人群是()
A.矮胖体形的男性青少年
B.瘦高体形的男性青少年
C.矮胖体形的男性中少年
D.瘦高体形的男性中少年
E.瘦高体形的男性青壮年
点击查看答案
本题答案:E 本题解析:暂无解析
7、单项选择题 苯作业人员不宜过高的摄入()
A.黄油
B.牛奶
C.巧克力
D.水果
E.豆浆
点击查看答案
本题答案:A 本题解析:暂无解析
8、单项选择题 下列染毒途径中,吸收速度最快的为()
A.经消化道
B.经呼吸道
C.经肌内注射
D.经腹腔注射
E.经皮肤
点击查看答案
本题答案:B 本题解析:各种染毒途径吸收速率排序为:经呼吸道>腹腔注射>肌内注射>经消化道>经皮。
9、多项选择题 下列哪些病人不宜使用肾上腺能受体激动剂()
A.闭角型青光眼患者 B.开角型青光眼患者 C.无晶体眼患者 D.冠心病患者 E.严重高血压患者
点击查看答案
本题答案:C, D, E 本题解析:暂无解析
10、单项选择题 6岁男孩,右腹股沟肿物2年,于平卧时消失,站立时出现,哭闹时更加明显,用手可回纳入腹腔,透光试验阴性,可能诊断是()。
A.右侧精索鞘膜积液
B.股疝
C.腹股沟直疝
D.腹股沟斜疝
E.右侧隐睾
点击查看答案
本题答案:D 本题解析:暂无解析
11、单项选择题 女性,10岁,手掌着地跌伤,右肘肿痛,功能受限15小时,查:左肘关节及前臂明显肿胀,压痛,伴屈位畸形,手部皮肤苍白,发凉,麻木,桡动脉搏动微弱,测前臂组织压为7.3kPa。X线检查:肱骨髁上骨折。
患者出现手部症状的原因是()
A.损伤尺神经
B.损伤桡神经
C.肱动脉受压前臂缺血
D.正中神经受损
E.未做手指活动
点击查看答案
本题答案:C 本题解析:暂无解析
12、单项选择题 建设项目的信息管理应针对不同层次管理者的要求进行适当的加工,针对不同管理层提供不同要求和浓缩程度的信息是遵从()。
A.有效性原则
B.时效性原则
C.高效性原则
D.标准化原则
点击查看答案
本题答案:A 本题解析:暂无解析
13、多项选择题 在进行产品定位时分析产品构成要素可采用()。
A.市场分析方法 B.项目SWOT分析方法 C.市场细分方法 D.建筑策划方法 E.市场定位方法
点击查看答案
本题答案:B, D 本题解析:暂无解析
14、单项选择题 大量废弃物掩埋之前-应用()次氯酸钠浸泡12小时。
A.1%
B.5%
C.10%
D.20%
点击查看答案
本题答案:C 本题解析:暂无解析
15、单项选择题 女,48岁。近1个月感口渴、饮水量增至每天2000ml。身高156cm,体重71kg。空腹血糖180mg/dl(10.0mmol/L)、餐后血糖252mg/dl(14.0mmol/L)。系初次发现血糖高,过去无糖尿病病史。
4年后该患者被发现有浸润型肺结核,降血糖治疗宜()。
A.原降血糖药增加剂量
B.改用降血糖作用更强的口服降血糖药
C.增加一种口服降血糖药
D.双胍类、磺脲类、α-葡萄糖苷酶抑制药联合使用
E.胰岛素治疗
点击查看答案
本题答案:E 本题解析:暂无解析
16、单项选择题 应用吸入性激素后,为减少鹅口疮的发生,应每次吸入药后()
A.深深的吸气
B.尽可能长的屏住呼吸
C.用清水清洗面部
D.用清水漱口
E.及时呼气
点击查看答案
本题答案:D 本题解析:暂无解析
17、单项选择题 男,35岁,主因左眼视力下降伴虹视2天。查:左眼视力0.6,左眼(NCT)58mmHg,角膜水肿,可见多量羊脂状KP呈三角形分布,周边前房约1/2CT,房水闪辉(+),瞳孔圆,直径约3mm对光反应迟钝,眼底查:C/D=0.3。
以下处理方案中,哪项不正确()
A.口服乙酰唑胺 B.局部用0.5%噻吗心安眼药水点眼 C.氯地眼药水点眼 D.1%匹罗卡品眼药水点眼 E.口服维生素B、维生素C、泰普芬胶囊
点击查看答案
本题答案:D 本题解析:暂无解析
18、单项选择题 低钙血症常见于:()
A.甲状腺功能减退
B.肾功能衰竭
C.严重腹泻
D.甲状旁腺功能亢进
E.频繁呕吐
点击查看答案
本题答案:B 本题解析:暂无解析
19、单项选择题 以下哪一项不是急性阑尾炎的体征:()
A.右下腹压痛
B.可向右肩部放射
C.腹肌紧张
D.结肠充气试验阳性
E.直肠指诊有触痛
点击查看答案
本题答案:B 本题解析:暂无解析
20、单项选择题 下列哪项不是亚急性感染性心内膜炎的临床表现()。
A.Roth点
B.Janeways结
C.Osler结
D.蝶形红斑
E.指甲下出血
点击查看答案
本题答案:D 本题解析:暂无解析
21、单项选择题 链激酶用于治疗血栓性疾病,是由于()
A.扩张血管
B.抑制凝血因子
C.抑制血小板聚集
D.促进纤溶酶原合成
E.激活纤溶酶原
点击查看答案
本题答案:E 本题解析:链激酶通过激活纤溶酶,加速溶解纤维蛋白,进而溶解血栓。故本题选E。
22、单项选择题 乙型肝炎的主要传播途径()
A.飞沫传播
B.唾液传播
C.垂直传播
D.粪口途径传播
E.经注射、输血或血制品传播
点击查看答案
本题答案:E 本题解析:暂无解析
23、单项选择题 以下几种病证中,属于普济消毒饮主治的是()。
A.大头天行
B.实火热毒充斥
C.疮疡肿毒初起
D.各种疔毒
E.解毒消痈,活血化瘀
点击查看答案
本题答案:A 本题解析:暂无解析
24、单项选择题 中性粒细胞增多,最常见的原因是()
A.急性感染和化脓性炎症
B.中毒
C.急性出血
D.恶性肿瘤
E.白喉
点击查看答案
本题答案:A 本题解析:中性粒细胞增多最常见于急性感染和化脓性炎症,往往与白细胞总数增高同时出现,白喉、严重的组织损伤及大量血细胞破坏(如烧伤、大手术后)、急性大出血、急性中毒以及白血病或恶性肿瘤(如慢性粒细胞性白血病)等呈病理性增加。故答案为A。
25、多项选择题 先天性睑裂狭窄综合征的表现有()
A.上睑下垂 B.下睑内翻 C.逆向内眦赘皮 D.内眦距离过近 E.睑裂缩小
点击查看答案
本题答案:A, B, C, E 本题解析:暂无解析
26、单项选择题 抢救急性敌百虫中毒者,清洗皮肤宜用()
A.热水
B.清水
C.乙醇
D.苏打水
E.上述均不是
点击查看答案
本题答案:B 本题解析:暂无解析
27、单项选择题 新生儿坏死性小肠结肠炎腹部X线平片最具有特征的表现是()
A.结肠充气 B.肠壁积气 C.肠腔液平段 D.肠间隙模糊 E.腹腔游离气体
点击查看答案
本题答案:B 本题解析:暂无解析
28、单项选择题 颈椎性眩晕的患者应选用的注射治疗是()
A.腕管注射
B.椎旁阻滞
C.枕大神经和枕小神经注射
D.星状交感神经节注射
E.肱二头肌长头结节间沟注射
点击查看答案
本题答案:C 本题解析:暂无解析
29、单项选择题 某男性患者,40岁。有精神分裂症病史10年,近两月服用大剂量氯氮平治疗,3天来发热,畏寒,T39.5℃,查血常规:WBC0.04×10/L。经积极地应用白细胞成分血,肌内注射升白细胞药物,静脉输注抗生素治疗,症状逐渐减轻,但第7天,出现大便次数增多,6~7日后,自述肛门周围疼痛,查大便涂片为白色念珠菌生长;肛指检查:肛周可触有4~5cm肿物,有波动感。
关于白色念珠菌的叙述错误的是()
A.常导致深部感染
B.可致肺部和消化道感染
C.造成的医院感染有进一步增长的趋势
D.主要引起泌尿道和血液的感染
E.常发生于免疫功能低下的病人
点击查看答案
本题答案:D 本题解析:暂无解析
30、单项选择题 膜内电位负值加大称为()
A.极化
B.去极化
C.复极化
D.超极化
E.反极化
点击查看答案
本题答案:D 本题解析:暂无解析
点击进入《★
这一页是题
|