微信搜索关注"91考试网"公众号,领30元,获取公务员、事业编、教师等考试资料40G!
1、简答题
(1)一个水分子的质量
(2)一个水分子的体积
(3)2.7kg的水中含有多少个水分子。(取二位有效数字)
参考答案:(1)
?(2)
(3)
本题解析:

本题难度:简单
2、填空题 在“用油膜法估测分子大小”实验中,油酸酒精溶液的浓度为1000mL溶液里有纯油酸0.6mL,用注射器测得1mL上述溶液为80滴.把l滴该溶液滴入盛水的浅盘内,让油膜在水面上尽可能散开,所得油酸薄膜的轮廓形状如图所示,图中正方形方格的边长为1cm.试求:
(1)油酸膜的面积是______cm2;
(2)实验测出油酸分子的直径是______?m.(结果保留两位有效数字)
参考答案:(1)面积超过正方形一半的正方形的个数为114个
则油酸膜的面积约为S=114×1×1cm2=114cm2,由于测量有误差,在112~115cm2内均可.
故答案为:112~115.
(2)每滴酒精油酸溶液中含有纯油酸的体积:V=0.61000×80=7.5×10-6ml=7.5×10-12m3
把油酸分子看成球形,且不考虑分子间的空隙,因此其直径为:
d=Vs,代入数据解得:d=6.5×10-10~6.7×10-10m.
故答案为:6.5×10-10~6.7×10-10.
本题解析:
本题难度:一般
3、填空题 已知阿伏伽德罗常数为NA(mol-1),铜的摩尔质量为M(kg/mol),铜的密度为ρ(kg/m3),则可估算1个铜原子占有的体积为______m3,m千克铜中所含的原子数目为______.
参考答案:摩尔体积:V摩尔=Mρ;
每个铜原子体积:V=V摩尔NA=MρNA;
m千克铜中所含的原子数目为:N=NA?n=NA?mM
故答案为:MρNA,mNAM.
本题解析:
本题难度:一般
4、实验题 (6分)在“油膜法估测分子的直径”实验中,
(1)(多选题)该实验中的理想化假设是(?)
A.将油膜看成单分子层油膜? B.不考虑各油分子间的间隙
C.不考虑了各油分子间的相互作用力? D.将油分子看成球形。
(2)(单选题)实验中使用到油酸酒精溶液,其中酒精溶液的作用是(?)
A.可使油酸和痱子粉之间形成清晰的边界轮廓
B.对油酸溶液起到稀释作用
C.有助于测量一滴油酸的体积?
D.有助于油酸的颜色更透明便于识别
(3)某老师为本实验配制油酸酒精溶液,实验室配备的器材有:面积为0.22m2的蒸发皿,滴管,量筒(50滴溶液滴入量筒体积约为1毫升),纯油酸和无水酒精若干等。已知分子直径数量级为10-10m,则该老师配制的油酸酒精溶液浓度(油酸与油酸酒精溶液的体积比)至多为?‰(保留两位有效数字)。
参考答案:(1)ABD(2分)(2)B(2分)(3)1.1(2分)
本题解析:(1)计算分子直径是根据体积与面积之比,所以需要将实验假设为将油膜看成单分子层油膜,不考虑各油分子间的间隙,将油分子看成球形,故选ABD,
(2)实验中使用到油酸酒精溶液,其中酒精溶液的作用是是对油酸起到稀释的作用,酒精稀释油酸是为了进一步减小油酸的面密度,使油酸分子尽可能的少在竖直方向上重叠,更能保证其形成单层分子膜,也就是为了减小系统误差
(3)根据题意可得
解得x=0.0011,所以千分比为1.1‰
点评:油酸分子呈球型分布在水面上,且一个挨一个,从而可以由体积与面积相除求出油膜的厚度.
本题难度:简单
5、实验题 (7分)为了探究机械能守恒定律,岳口高中的金金设计了如图甲所示的实验装置,并提供了如下的实验器材:
A小车? B钩码? C一端带滑轮的木板?D细线? E.电火花计时器? F.纸带
G.毫米刻度尺? H.低压交流电源? I.220V的交流电源

(1)根据上述实验装置和提供的实验器材,你认为实验中不需要的器材是?(填写器材序号),还应补充的器材是?.
(2)实验中得到了一条纸带如图乙所示,选择点迹清晰且便于测量的连续7个点(标号0~6),测出0到1、2、3、4、5、6点的距离分别为
、
、
、
、
、
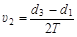
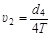
,打点周期为T.则打点2时小车的速度
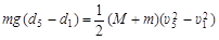
=?;若测得小车质量为M、钩码质量为m,打点1和点5时小车的速度分别用
、
表示,已知重力加速度为g,则验证点1与点5间系统的机械能守恒的关系式可表示为?.

(3)在实验数据处理时,如果以
为纵轴,以d为横轴,根据实验数据绘出
图象,其图线的斜率表示的物理量的表达式为___________.
参考答案:(1)H(1分) 天平(1分);(2)
或
(1分),
(2分);(31)
(2分)
本题解析:(1)电火花计时吕髟的是220V交流电源,因此低压交流电源用不着;另外还需要用到天平测出小车的质量M;(2)打点2时的速度等于1—3间的平均速度,即
;根据机械能守恒,整个系统减小的重力势能等于整个系统增加的动能,即
;(3)根据
,因此
的斜率就是加速度,而对砝码进行受力分析可知:
,而对小车
,因此可得
本题难度:一般