微信搜索关注"91考试网"公众号,领30元,获取公务员、事业编、教师等考试资料40G!
1、选择题 如图所示,在光滑的水平面上,质量M小车正以速度V向右匀速运动,现有一质置为m的木块也以运度V从右端冲向车面,由于摩擦力的作用,小车的速度将发生变化,为使小车继续保持V匀速运动,需及时给小车施加一水平力。当N与m的速度相等时,将力去掉.(已知:m与M的摩擦因数一定,m、V为已知量),
求:(1)从开始到m速速为零的过程中m、M的对地位移之比为多少?
(2)从开始到撤去水平力的过程中水平力对小车做的功为多少?
参考答案:
本题解析:(1)从开始到m速度为零的过程中,m在摩擦力的作用下做匀减速运动,则平均速度为v/2,而小车一直以v做匀速运动,位移s=vt,可知m、M的对地位移之比,即为平均速度之比1:2
(2)因为小车做匀速运动,所以水平力与摩擦力平衡,则从开始到撤去水平力的过程中,水平力对小车做的功大小为摩擦力做的功
,m所受的摩擦力为其合外力,所以
,而M的位移为m位移的2倍,所以
故答案为:(1)1:2;(2) 
本题难度:简单
2、填空题 如图所示,一块既长又厚的均匀木块A,在左上角有一固定转动轴O与墙连接,其下方搁有一小木块B,A与B之间粗糙,其余摩擦均不计.B从出发点被匀速拉到右端的过程中水平拉力的大小______(选填”变大”、”变小”、”不变”或”无法判断”);如果上述过程中,拉力做功为W1,当将B从A的右端匀速拉回出发点的过程中,水平拉力做功为W2,(整个过程中木块A保持静止)则W1______W2(选填大于、小于、等于)
参考答案:
(1)①如图,重力(阻力)和力臂OD不变;B对A的支持力为动力,其力臂为OC,

在B从A的左端匀速拉到右端的过程中,OC变大;
把物体A当做杠杠,由于杠杠平衡,可得F支×OC=G×OD,
∵G和OD大小不变,OC变大,
∴支持力F支变小,
∴A对B的压力变小,
②∵接触面的粗糙程度不变,
∴B受到的摩擦力将变小;
③∵B被匀速拉动,拉力等于摩擦力,
∴水平拉力的将变小;
(2)由(1)的分析可知,B从A的左端匀速拉到右端的过程中,因为OC匀速变大,所以拉力将匀速变小,平均拉力等于在左端和右端的拉力的平均值;
B从A的右端匀速拉到左端的过程中,因为OC匀速变小,所以拉力将匀速变大,平均拉力等于在左端和右端的拉力的平均值;
由此可知,在来回的过程中平均拉力相同,又知道来回的距离相同,所以来回拉力做功相同,即W1=W2.
故答案为:变小;等于.
本题解析:
本题难度:一般
3、计算题 如图所示的匀强电场中,有a、b、c三点,ab间距离Lab=6cm,bc间距离Lbc=10cm,其中ab沿电场方向,bc和电场方向成60°角。一个带电量q=-4×10-8的负电荷从b点移到c点克服电场力做功2×10-6。求:

(1)匀强电场的电场强度为多大;
(2)该电荷从a点移到b点,该电荷的电势能的变化量;
(3)a、c两点间的电势差。
参考答案:(1)1000N/C?(2)-2.4
J?(3)110V
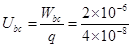
本题解析:(1)
V=50V
=1000N/C。
(2)
-2.4
J,电势能增加了-2.4
J。
(3)
V
V。
本题难度:一般
4、选择题 一个质量为 m的小球,用长为l的轻绳悬挂于O点,小球在水平力F作用下,从最低点P缓慢地移到Q点,如图所示,则在此过程中?

A.小球受到的合力做功为
B.拉力F的做功为Flsinθ
C.小球重力势能增加 
D.水平力F做功使小球机械能增加
参考答案:CD
本题解析:本题考查功能关系。小球缓慢地从最低点P缓慢地移到Q点动能不变,合外力做功为0,A错;外力F做的功等于小球机械能增量,
,B错CD对;选CD。
本题难度:简单
5、选择题 下列四盏灯泡都正常发光时,通过灯丝电流最大的是( ? )
A.“110V?60W”
B.“6V?8W”
C.“220V?40W”
D.“12V?20W”
参考答案:D
本题解析:
本题难度:一般