微信搜索关注"91考试网"公众号,领30元,获取公务员、事业编、教师等考试资料40G!
1、选择题 关于电场强度E的说法正确的是
[? ]
A、电场中某点的场强方向跟正电荷在该点所受的电场力的方向相同
B、根据E=F/q可知,电场中某点的电场强度与电场力F成正比,与电量q成反比
C、E是矢量,与F的方向一致
D、公式E=kQ/r2对任何电场都适用
参考答案:A
本题解析:
本题难度:简单
2、计算题 (14分)如图所示,一个质量为m,带电荷量为+q的粒子在O点以v0的初速度跟水平方向成α角向上射出,如果在某方向上加上一定大小的匀强电场后,可使粒子沿初速度所在直线方向做直线运动。已知重力加速度为g.

(1)若粒子做匀速直线运动则场强的大小和方向;
(2)求所加最小匀强电场的场强的大小;
(3)若加上水平向左、大小一定的匀强电场后,经过一段时间粒子又回到了O点,求粒子回到O点时的速度大小v和所用的时间t。
参考答案:解:


(1)E="mg/q" 竖直向上 (5分)
(2)?(5分)?
(3)v=v0. .?t= 2v0
/g?(4分)
本题解析:略
本题难度:简单
3、计算题 如图,一质量不计,可上下自由移动的活塞将理想气体封闭在圆筒内,筒的侧壁为绝缘体,下底M及活塞D均为导体并按图连接,活塞面积S=2cm2。闭合电键前,DM间距l1=5μm,闭合电键后,活塞D与下底M分别带有等量异种电荷,并各自产生匀强电场(D与M间的电场为各自产生的电场的叠加)。在电场力作用下活塞D发生移动。稳定后,DM间距l2=4μm,此时安培表读数为0.75A,伏特表读数为2V。
(1)求出活塞受到的电场力大小F(大气压强
,活塞移动前后气体温度不变);
(2)求出活塞D所带电量q;
(3)一段时间后,一个电阻发生故障,安培表读数变为0.8A,伏特表读数变为3.2V,请判断是哪个电阻发生了故障?是短路还是断路?筒内气体压强变大还是变小?
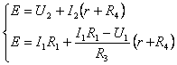
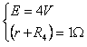
(4)已知R3=4Ω,能否求出R1、电源电动势E和内阻r的阻值?如果能,求出结果,如果不能,说明理由。

参考答案:解:(1)
,解得
活塞受到的气体压强差为:
活塞受力平衡,电场力大小:
(2)D与M间的电场强度:
因为E是D与M所带的等量异种电荷产生的合场强,所以M所产生的场强:EM=E/2
由
,得
(3)R2断路;筒内气体压强变大
(4)R2断路后,伏特表的读数就是R1两端的电压,因此有:
由
可得:
因为R4未知,所以不能求出r的值
本题解析:
本题难度:困难
4、选择题 如图2所示的非匀强电场中,如果电荷量q=10-5C的正点电荷仅在电场力的作用下由A点移动到B点,电场力做功为8×10-3J,则( )
A.电场中A、B两点间的电势差为80V
B.该点电荷由A点移到B点电势能增加了8×10-3J
C.该点电荷由A点移到B点电势能减少了8×10-3J
D.该点电荷受到电场力的大小,在A点时比在B点时大