微信搜索关注"91考试网"公众号,领30元,获取公务员、事业编、教师等考试资料40G!
1、计算题 如图示,坐标系xoy位于坚直平面内,所在空间有沿水平方向垂直于纸面向外的匀强磁场,磁感强度为B,在y
参考答案:
本题解析:
本题难度:一般
2、选择题 如图所示,在水平地面上方有正交的匀强电场和匀强磁场,匀强电场方向竖直向下,匀强磁场方向水平向里。现将一个带正电的金属小球从M点以初速度v0水平抛出,小球着地时的速度为v1,在空中的飞行时间为t1。若将磁场撤除,其它条件均不变,那么小球着地时的速度为v2,在空中飞行的时间为t2。小球所受空气阻力可忽略不计,则关于v1和v2、t1和t2的大小比较,以下判断正确的是

[? ]
A.v1>v2,t1>t2
B.v1<v2,t1<t2
C.v1=v2,t1<t2
D.v1=v2,t1>t2
参考答案:D
本题解析:
本题难度:一般
3、计算题 如图15,质量为M的足够长金属导轨abcd放在光滑的绝缘水平面上。一电阻不计,质量为m的导体棒PQ放置在导轨上,始终与导轨接触良好,PQbc构成矩形。棒与导轨间动摩擦因数为m,棒左侧有两个固定于水平面的立柱。导轨bc段长为L,开始时PQ左侧导轨的总电阻为R,右侧导轨单位长度的电阻为R0。PQ左侧匀强磁场方向竖直向上,磁感应强度大小为B。在t=0时,一水平向左的拉力F垂直作用于导轨的bc边上,使导轨由静止开始做匀加速直线运动,加速度为a。

(1)求回路中感应电动势及感应电流随时间变化的表达式;
(2)经过多少时间拉力F达到最大值,拉力F的最大值为多少?
(3)某一过程中力F做的功为W1,导轨克服摩擦力做功为W2,求回路产生的焦耳热Q。
参考答案:(1)
(2)
(3)
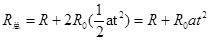
本题解析:(1)回路的感应电动势为
,而
导轨做初速为零的匀加速运动,
回路中的总电阻
感应电流的表达式为
(2)导轨受安培力 

由牛顿第二定律
解得 
上式中当
时外力F取最大值,
(3)设此过程中导轨运动距离为s,摩擦力做功为
解得
导轨动能的增加量
产生的焦耳热为
。
本题难度:一般
4、计算题 在竖直平面内,以虚线为界分布着如图所示的匀强电场和匀强磁场,其中匀强电场方向向下,大小为E;匀强磁场垂直纸面向里,磁感应强度大小为B。虚线与水平线之间的夹角为θ=45°,一带电粒子以速度v0水平射入匀强磁场,已知带负电粒子电荷量为q,质量为m,(重力忽略不计,电场、磁场区域足够大)。
(1)求带电粒子第1次通过虚线时距O点的距离?
(2)求带电粒子第3次通过虚线时所经历的时间?
(3)求带电粒子第4次通过虚线时距O点的距离?

参考答案:解:如图所示
(1)
解得
(2)在磁场中运动时间为
在电场中a=qE/m
运动时间为t2=2v0/a=
再一次在磁场中运动
所以总时间t=
(3)再次进入电场中做类平抛运动
x2=v0t4
y=at42/2
x2=y
得x2=
所以距离O点距离为Δx=
本题解析:
本题难度:困难
5、计算题 如图甲所示,图的右侧MN为一竖直放置的荧光屏,O为它的中点,OO′与荧光屏垂直,且长度为l。在MN的左侧空间内存在着方向水平向里的匀强电场,场强大小为E。乙图是从甲图的左边去看荧光屏得到的平面图,在荧光屏上以O为原点建立如图的直角坐标系。一细束质量为m、电量为q的带正电的粒子以相同的初速度v0从O′点沿O′O方向射入电场区域。粒子的重力和粒子间的相互作用都可忽略不计。

(1)若再在MN左侧空间加一个匀强磁场,使得荧光屏上的亮点恰好位于原点O处,求这个磁场的磁感强度的大小和方向。
(2)如果磁感强度的大小保持不变,但把方向变为与电场方向相同,则荧光屏上的亮点位于图中A点处,已知A点的纵坐标
, 求它的横坐标的数值。
参考答案:(1)B="E" / v0;(2)
。
本题解析:(1)由电场力以及左手定则判定磁场方向竖直向上。?②
由? qE=qv0B?
得磁感强度大小为? B="E" / v0? ②
(2)以OO’方向为z轴正方向,与x、y组成空间直角坐标系。磁场改变方向后,粒子在yOz平面内的运动是匀速圆周运动,轨迹如图所示。设圆半径为R,根据几何关系有
? ②
由于
, 可解出
,可知
? ②
粒子沿x方向的分运动是初速为零的匀加速直线运动,时间
? ③
? ③

本题难度:一般