1、选择题  某火车从车站由静止开出做匀加速直线运动,最初一分钟内行驶540m,那么它在最初10s行驶的距离是
[? ]
A.90m 
B.45m
C.30m 
D.15m 
 
	参考答案:D
	本题解析:
	本题难度:一般
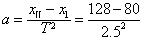
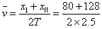
	        2、计算题  如图所示是用某监测系统每隔2.5s拍摄火箭起始加速阶段的一组照片。已知火箭的长度为40 m,现在用刻度尺测量照片上的长度关系,结果如图所示。请你估算火箭的加速度a和火箭在照片中第2个像所对应时刻的瞬时速度大小v。 

 
	参考答案:解:由题图中火箭的长度可以看出照片比例为2 cm:40 m=1:2 000
火箭第1个2.5s内的位移为:xI=4 cm×2 000=80 m
第2个2.5s内的位移为:xⅡ=6.4 cm×2 000=128m
由△x=aT2得 m/s2=7.68 m/s2
m/s2=7.68 m/s2
第2个像所对应的时刻是第1个像至第3个像的中间时刻,所以v= m/s=41.6 m/s
m/s=41.6 m/s
	本题解析:
	本题难度:一般
	        3、选择题  一个物体受到几个力的作用而处于静止状态,若使其中一个力逐渐减小到零后,又逐渐恢复到原来的状况,则物体在这个过程中(? )
A.速度从零增大到某一数值后,又逐渐减小到零
B.速度从零增大到某一数值后不变
C.加速度从零增大到某一数值后,又逐渐减小到零
D.加速度从零增大到某一数值后不变
 
	参考答案:BC
	本题解析:因当其中一个力F逐渐减小到零的过程中,这个物体所受的合外力将从零逐渐增大,直至增大到等于这个力F,方向与这个力相反,物体将从静止开始做变加速直线运动,a= .因为F合↑,a↑,方向与v相同,所以v↑.当F减小到零时加速度达到最大.
.因为F合↑,a↑,方向与v相同,所以v↑.当F减小到零时加速度达到最大.
当这个力F由零逐渐增大至恢复原状的过程中,F合↓,a↓,当F恢复到原来值时F合=0,a=0,但F合的方向始终与v方向一致,故整个过程速度v将一直增大,故选B、C.(↑表示增大,↓表示减小)
	本题难度:简单
	        4、选择题  不定项选择
某人用手表估测火车的加速度。先观测3分钟,发现火车前进540m;隔3分钟后又观察l分钟,发现火车前进360m,若火车在这7分钟内做匀加速直线运动,则火车的加速度为( ? )
A.0.03m/s2 
B.0.01m/s2
C.0.5m/s2 
D.0.6m/s2
 
	参考答案:B
	本题解析:
	本题难度:简单
	        5、填空题  一小球沿斜面由静止开始匀加速滚下(斜面足够长),已知小球在第4 s末的速度为4 m/s。求: 
(1)第6 s末的速度为____;
(2)前6 s内的位移为____;
(3)第6 s内的位移为____。 
 
	参考答案:(1)6 m/s
 (2)18 m
(3)5.5 m
	本题解析:
	本题难度:一般