1、选择题 一金属线圈,所围面积为S,电阻为R,垂直放在匀强磁场中,在时间△t内,磁感应强度变化量为△B,则通过线圈截面的电荷量跟下述物理量有关的是?
A.时间△t的长短?
B.面积S的大小?
C.电阻R的大小?
D.磁感应强度变化量△B的大小
参考答案:BCD
本题解析:
本题难度:简单
2、选择题 如图所示,水平放置的光滑平行金属导轨上有一质量为m的金属棒ab。导轨的一端连接电阻R,其他电阻均不计,磁感应强度为B的匀强磁场垂直于导轨平面向下,金属棒ab在一水平恒力F作用下由静止起向右运动。则 (?)

A.随着ab运动速度的增大,其加速度也增大
B.外力F对ab做的功等于电路中产生的电能
C.当ab做匀速运动时,外力F做功的功率等于电路中的电功率
D.无论ab做何种运动,它克服安培力做的功一定等于电路中产生的电能
参考答案:CD
本题解析:随着ab运动速度的增大,安培力增大,由F-BIL=ma可知加速度减小,A错;如果导体棒速度增大,外力F对ab做的功等于电路中产生的电能与动能变化量之和,B错;当ab做匀速运动时,由动能定理可知外力F做功的功率等于电路中的电功率,C对;同理由功能关系可知无论ab做何种运动,它克服安培力做的功一定等于电路中产生的电能,D对,故选CD
点评:本题难度较小,巧妙应用动能定理和功能关系,克服安培力做了多少功就有多少电能产生
本题难度:简单
3、简答题 如图所示,一矩形金属框架与水平面成
=37°角,宽L =0.4m,上、下两端各有一个电阻R0 =2Ω,框架的其他部分电阻不计,框架足够长,垂直于金属框平面的方向有一向上的匀强磁场,磁感应强度B=1.0T.ab为金属杆,与框架良好接触,其质量m=0.1Kg,杆电阻r=1.0Ω,杆与框架的动摩擦因数μ=0.5.杆由静止开始下滑,在速度达到最大的过程中,上端电阻R0产生的热量Q0="0." 5J.(sin37°=0.6,cos37°=0.8)求:

(1)流过R0的最大电流;
(2)从开始到速度最大的过程中ab杆沿斜面下滑的距离;
(3)在时间1s内通过杆ab横截面积的最大电量.
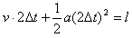
参考答案:(1)I0="0.25A?" (2)11.56 m?(3)0.5C
本题解析:解:(1)当满足BIL+μmgcosθ=mgsinaθ时有最大电流?(2分)
?(1分)
流过R0的最大电流为I0="0.25A?" (1分)
(2)Q总=4Qo="2" J? (1分)
?ε=IR总=0.5×2V="1.0V?" (1分)
此时杆的速度为?
?(1分)
由动能定理得?
?(2分)
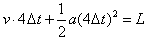
求得杆下滑的路程
?(1分)
(3)通过ab杆的最大电量
?(2分)
本题难度:一般
4、简答题 如图所示,一宽度为L的光滑金属导轨放置于竖直平面内,质量为m的金属棒ab沿金属导轨由静止开始保持水平自由下落,进入高h、方向垂直纸面向里、磁感应强度为B的匀强磁场区域。设金属棒与金属导轨始终保持良好接触,ab棒穿出磁场前已开始做匀速运动,且ab棒穿出磁场时的速度为进入磁场时速度的
。已知ab棒最初距磁场上边界的距离为4h,定值电阻的阻值为R,棒及金属导轨电阻忽略不计,重力加速度为g
。求:
(1)在此过程中电阻R产生的热量Q的大小;
(2)金属棒穿出磁场时电阻R消耗的功率大小。
参考答案:(1)
。
(2)R消耗的电功率为
。
本题解析:(1)设金属棒下落4h时,速度大小为v,
? ①
在金属棒穿过磁场的过程中,由能量守恒定律:
? ②
由①②可求得:
。
(2)设在金属棒穿出磁场时,金属棒产生的感应电动势为
故R消耗的电功率为
。
本题难度:简单
5、计算题 如图甲所示,在光滑绝缘的水平面上,放有一个粗细均匀的单匝正方形线圈abcd。在外力的作用下从静止开始向右运动,穿过固定不动的、有理想边界的匀强磁场区,磁感应强度的大小为B,磁场区的宽度大于线圈的边长。若测得线圈中产生的感应电动势E的大小和运动时间t的变化关系如图乙所示。已知图象中的三段时间分别为△t1,△t2和△t3,且在△t2时间内外力为恒力。
(1)定性说明线圈在穿过磁场的过程中做何种运动?
(2)若测得线圈的bc边刚进入磁场时的速度为v,bc两点间电压为U,求线圈在△t1时间内的平均感应电动势;
(3)若测得△t1:△t2:△t3=2:2:1,求线圈的边长与磁场区的宽度比值为多少?
(4)若仅给线圈一个水平的初速度v0,使线圈自由的向右滑入磁场,试画出从线圈bc边刚进入磁场开始计时,其后可能出现的v-t图象。(提醒:自己建立坐标系,只需定性画出速度的变化情况,除了初速度v0以外,不需要标出关键点的坐标)

参考答案:解:(1)因为电动势大小随时间均匀增大,所以根据E=BLv可知线圈的速度v随时间均匀增大,线圈做匀加速直线运动
(2)因为bc间电压为U,则感应电动势为4U/3
设线圈边长l,则4U/3=Blv ①
△t1时间内,平均感应电动势E平均=△I/△t1=Bl2/△t1 ②
联立得E平均=16U2/(9Bv2△t1)
(3)设线圈加速度为a,bc边进入磁场时速度为v,△t1=△t2=2△t3=2△t,线框边长l,磁场宽L。则根据匀变速直线运动规律可得三段时间内线圈的位移



联立解得l/L=7:18
(4)
本题解析:
本题难度:困难