1、选择题 如图所示的虚线区域内,充满垂直于纸面向里的匀强磁场和竖直向下的匀强电场。一带电粒子a(不计重力)以一定的初速度由左边界的O点射入磁场、电场区域,恰好沿直线由区域右边界的O′点(图中未标出)穿出。若撤去该区域内的磁场而保留电场不变,另一个同样的粒子b(不计重力)仍以相同初速度由O点射入,从区域右边界穿出,则粒子b

[? ]
A.穿出位置一定在O′点下方
B.穿出位置一定在O′点上方
C.运动时,在电场中的电势能一定减小
D.在电场中运动时,动能一定减小
参考答案:C
本题解析:
本题难度:一般
2、计算题 如图甲所示,在xoy平面内加有空间分布均匀、大小随时间周期性变化的电场和磁场,变化规律如图乙所示(规定竖直向上为电场强度的正方向,垂直纸面向里为磁感应强度的正方向)。在t=0时刻,质量m、电荷量为q的带正电粒子自坐标原点O处,以v0=2m/s的速度沿x轴正向水平射出。已知电场强度E0=
、磁感应强度B0=
,不计粒子重力。求:
(1)t=1s末粒子速度的大小和方向;
(2)1s—2s内,粒子在磁场中做圆周运动的半径和周期;
(3)画出0—4s内粒子的运动轨迹示意图(要求:体现粒子的运动特点);
(4)(2n-1)s~2ns(n=1,2,3,……)内粒子运动至最高点的位置坐标。

参考答案:解:(1)在0~1s内,粒子在电场力作用下
带电粒子在x方向上做匀速运动
Y方向做匀加速运动
1s末粒子的速度
V1与水平方向的夹角α,则
代入数据解得
,
(2) 在1s~2s内,粒子在磁场中做圆周运动,由牛顿第二定律
?
得
m
粒子做圆周运动的周期
(3)粒子运动轨迹如图所示
?
(4)(2n-1)s末粒子的坐标为
,
此时粒子的速度为
?
带电粒子在(2n-1)s~2ns(n=1,2,3…)内做圆周运动的轨迹如图所示

半径
m?
最高点G的位置坐标为
m
m
本题解析:
本题难度:困难
3、计算题 (17分)如图所示,在xoy平面上,直线OM与x轴正方向夹角为45o,直线OM左侧存在平行y轴的匀强电场,方向沿y轴负方向。直线OM右侧存在垂直xoy平面向里的磁感应强度为B的匀强磁场。一带电量为q,质量为m带正电的粒子(忽略重力)从原点O沿x轴正方向以速度vo射入磁场。此后,粒子穿过磁场与电场的边界三次,恰好从电场中回到原点O。(粒子通过边界时,其运动不受边界的影响)

求: (1)粒子第一次在磁场中做圆周运动的半径;
(2)匀强电场的强度;
(3)粒子从O点射出至回到O点的时间。
参考答案:(1)
?(2)
?(3)
本题解析:(1)根据向心力公式可得:
解得:
(2)粒子运动的轨迹如图所示:

粒子第二次进入电场后做类平抛运动:
所以:
;
;
联立解得:
(3)粒子在磁场中运动的时间:

在电场中做直线运动的时间:

在电场中做类平抛运动的时间

粒子从O点射出至回到O点的时间

本题难度:一般
4、计算题 如图,左侧为两块长为L=10cm,间距
cm的平行金属板,加上
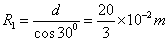
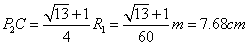
V的电压,上板电势高;现从左端沿中心轴线方向入射一个重力不计的带电微粒,微粒质量m=10-10 kg,带电量q=+10-4 C,初速度v0=105m/s;中间用虚线框表示的正三角形内存在垂直纸面向里的匀强磁场B1,三角形的上顶点A与上金属板平齐,AB边的中点P1恰好在下金属板的右端点;三角形区域的右侧也存在垂直纸面向里,范围足够大的匀强磁场B2,且B2=4B1。求:
(1)带电微粒从电场中射出时的速度大小和方向;
(2)带电微粒进入中间三角形区域后,要垂直打在AC边上,则该区域的磁感应强度B1是多少?
(3)确定微粒最后射出磁场区域时的位置。

参考答案:解:(1)微粒在电场中做类平抛运动时间t,加速度a,射出电场时竖直方向的速度为vy
由牛顿第二定律有
初速度方向匀速运动
,
【或由
,
,得
】
所以
设v与水平方向夹角θ,
,所以垂直于AB出射
(2)带电粒子出电场时竖直方向偏转的位移y,有
,所以
,即粒子由P1点垂直AB射入磁场
设匀速圆周运动P1Q1段半径为R1,根据几何关系有:
由
得
(3)带点粒子在B2磁场中以O2为圆心做匀速圆周运动,即Q1Q2段,其半径为
再次进入磁场B1区域时做以O3为圆心,半径仍为R1的匀速圆周运动,即Q2P2段,最后从P2点射出磁场区域。在△P2CO3中,根据数学知识,有CO3=0.5R1,线段P2C长度为:
(或距B端2.32cm)
本题解析:
本题难度:困难
5、填空题 如图所示,倾角为θ的光滑绝缘斜面,处在方向垂直斜面向上的匀强磁场和沿斜面方向的匀强电场中,有一质量为m、带电荷量为-q的小球,恰可在斜面上做匀速圆周运动、其角速度为ω,那么,匀强磁场的磁感应强度的大小为___________,未知电场的场强的大小为___________,方向沿___________。

参考答案:mω/q,mgsinθ/q,斜面向下
本题解析:
本题难度:一般