1、实验题 下图中,游标卡尺的读数为___?mm,螺旋测微计的读数为?mm。


参考答案:33.10 ;0.934~0.936
本题解析:略
本题难度:简单
2、实验题 (10分)测定木块与长木板之间的动摩擦因数时,采用如图所示的装置,图中长木板水平固定。(? )

⑴实验过程中,电火花计时器应接在电压为?V,频率为50Hz的交流电源上;
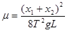
⑵如图为木块在水平木板上带动纸带运动时打出的一条纸带的一部分,0、1、2、3、4、5、6为计数点,相邻两计数点间还有4个打点未画出,从纸带上测出x1=7.22cm,x2=15.52cm,则木块加速度大小为a=
?m/s2(保留两位有效数字);

⑶已知重力加速度为g,测得木块的质量为M,砝码盘和砝码的总质量为m,木块的加速度为a,则木块与长木板间动摩擦因数μ的表达式为?;
⑷若实验操作规范,数据处理方法得当,由此算得的动摩擦因数将比真实的动摩擦因数?(请填写“偏大”、“偏小”或“相同”)。
参考答案:⑴220;⑵0.92;⑶
;⑷偏大
本题解析:⑴电火花计时器工作的电源为220V的交流电
⑵根据题意可知,木块在水平木板上做匀加速直线运动,根据匀变速直线运动规律,利用逐差法有:Δx=x2-x1=a(Δt)2,解得:a=
=
×10-2m/s2=0.92
⑶对木块、砝码盘和砝码系统,根据牛顿第二定律有:mg-μMg=(M+m)a,解得μ=
⑷由于在实验中纸带与打点计时器之间存在摩擦力,还存在空气阻力,将它们设为f,因此实际上系统的加速度为:μ′=
=
-
<μ,所以算得的动摩擦因数将比真实的动摩擦因数偏大
本题难度:一般
3、实验题 (1)(8分)如图甲是测量滑块与木板间动摩擦因数的装置,将木板水平固定在桌面上,利用一根压缩的短弹簧来弹开滑块.请完成下列实验操作与分析:

①先接通打点计时器的电源,再释放滑块,滑块被弹开后继续拖动纸带运动一段距离后停下.
②某次实验打出的纸带后面的一段如图乙,其中B点为滑块停下时在纸带上记录到的点.打点计时器打点周期为T,其他数据已在图中标出,则滑块通过A点的速度v= ?(用T、x1、x2表示);再用?测出AB之间的距离L.

③已知重力加速度为g,则滑块与木板间动摩擦因数?=?(用g、L、T、x1、x2表示).由于纸带与计时器存在阻力,测出的动摩擦因数?与真实值相比?(填“一样大”、“偏大”或“偏小”).
(2)(10分)某同学用“伏安法”测一只阻值约十几kΩ的电阻R的阻值,所用的器材有:内阻约100kΩ、量程为0-15V的电压表V,内阻约100Ω、量程为1mA的电流表 ?,最大电阻为50Ω的滑动变阻器,电源,电键和导线若干.



①若先用表盘如图A的多用表的欧姆挡粗测其电阻,则应将选择开关旋到“ ?”挡
(选填×10Ω、×100Ω或×1kΩ).
②请将图B中用“伏安法”测量该电阻的电路图补充完整.
③由实验测得的7组数据已在图C的U-I图上标出,请你完成图线,并由图线求出R="_______" Ω. (结果保留三位有效数字)
参考答案:(1)②
(2分)?刻度尺(2分)?③
(2分)偏大
(2) (10分)
①×1kΩ?(2分)

③

本题解析:(1)②
(2分)?刻度尺(2分)?③
(2分)偏大
(2) (10分)

①×1kΩ?(2分)
②如图,由于电流表的内阻为100Ω相比待测电阻R阻值
十几kΩ较小,应采用电流表“内接”(2分);
由于滑动变阻器最大阻值50Ω相对待测电阻R阻值十几
kΩ较小,所以应采用“分压接法”.(2分)
③如图。当电阻两端电压为零时,通过的电流也为零,因此直线必过原点. (2分)
作出的直线不过原点视为错误,不给这2分.
在画出的图线上距原点较远的地方取一个点,如取坐标值为(0.75m A,14.0 V),故电阻为:R=
=
Ω=18.7kΩ (18.0-19.0均可) (2分)

本题难度:一般
4、实验题 为了测量人骑自行车的功率,某活动小组在操场的直道上进行了如下实验:在离出发线5m、10m、20m、30m……70m的地方分别划上8条计时线,每条计时线附近站几个学生,手持秒表,听到发令员的信号后,受测者全力骑车由出发线启动,同时全体学生都开始计时,自行车每到达一条计时线,站在该计时线上的几个学生就停止计时,记下自行车从出发线到该条计时线的时间。实验数据记录如下(每个计时点的时间都取这几个同学计时的平均值):
运动距离s(m)
| 0
| 5
| 10
| 20
| 30
| 40
| 50
| 60
| 70
|
运动时间t(s)
| 0
| 2.4
| 4.2
| 6.3
| 7.8
| 9.0
| 10.0
| 11.0
| 12.0
|
各段速度(m/s)
| 2.08
| ①
| 4.76
| 6.67
| 8.33
| ②
| 10.0
| 10.0
|
(1)请计算出上述表格中空缺的①、②处的数据:①m/s;②m/s(保留三位有效数字)。
(2)次实验中,设运动过程中学生和自行车所受阻力与其速度大小成正比,其比例系数为15N·s/m,则在20m~30m路段的平均阻力f1与30m~40m路段的平均阻力f2之比
f1:f2=;若整个过程中该同学骑车的功率P保持不变,则P=W。
参考答案:(1)①
②
本题解析:(1)每一段的平均速度代替该段的速度.根据
得:


(2)设f="KV" f1:f2=V1:V2=6.67:8.33?在9s后做匀速直线运动,牵引力等于阻力,f=KV=150N整个过程中该同学骑车的功率P保持不变,P=fV=1500W。
本题难度:一般
5、选择题 关于形变与弹力的说法中正确的是( )
A.只有弹簧才可以产生弹力
B.接触的物体之间发生的形变程度越大,它们之间的弹力越小
C.日常生活中所说的弹簧的“硬”与“软”是指弹簧的轻与重
D.日常生活中所说的弹簧的“硬”与“软”是指弹簧的劲度系数的大小
参考答案:A、相互接触的物体发生弹性形变都能产生弹力,故A错误.
B、接触的物体之间发生的形变程度越大,它们之间的弹力越大,故B错误.
C、日常生活中所说的弹簧的“硬”与“软”是指弹簧的劲度系数大小,弹簧的劲度系数,它描述单位形变量时所产生弹力的大小,k值大,说明形变单位长时需要的力大,或者说弹簧“硬”.k跟弹簧材料、长短、粗细等都有关系,故C错误.
D、根据C选项分析,故D正确.
故选D.
本题解析:
本题难度:简单