1、计算题 一个截面积为S的圆形绝热容器装有质量为m的水。已知水的比热容为c,水的温度为t1,在阳光下照射时间为T后,温度升高到t2。若照射时阳光与水平方向的夹角为α,试算出阳光垂直照射时单位面积热辐射的功率。
参考答案:
本题解析:水的温度从t1升高到 t2过程中,吸收的热量:Q吸=cm(t2-t1)
太阳光垂直热辐射的功率为P,则:Q辐射=PTSsinα,由Q吸=Q辐射得:

点评:考察学生对比热容概念的理解和基本公式的应用,难度不大。
本题难度:简单
2、选择题 已知某理想气体的内能E与该气体分子总数N和热力学温度T的乘积成正比,即E=kNT(k为比例常量),现对一有孔的金属容器加热,加热前后容器内气体质量分别为m1和m2,则加热前后容器内气体的内能之比E1:E2为?
[? ]
A.m1: m2?
B.m2: m1?
C.1:1?
D.无法确定
参考答案:C
本题解析:
本题难度:一般
3、简答题 用图所示的容积计测量某种矿物的密度,测量数据和步骤如下:
(1)打开阀门K,使管A、容器C、B和大气相通,上下移动D使水银面在n处;
(2)关闭K,向上举D使水银面达到m处,这时B、D两管内水银面高度差h1=12.5cm;
(3)打开K,把400g矿物投入C,使水银面对齐n,然后关闭K;
(4)往上举D,使水银面重新到达m处,这时B、D两管内水银面高度差h2=23.7cm,m处以上容器C和管A(不包括B)的总体积是1000cm3.求矿物的密度.

参考答案:(1)打开阀门K,使管A、容器C、B和大气相通,上下移动D使水银面在n处;
设此时气体体积为V1,压强为P1=76cmHg.
(2)关闭K,向上举D使水银面达到m处,这时B、D两管内水银面高度差h1=12.5cm;
设此时气体体积为V2=1000cm3,压强为P2=P1+h1.由气体等温变化有:
P1V1=P2V2=(P1+h1)v2
代入数据解得:V1=1164.47cm3
(3)打开K,把400g矿物投入C,使水银面对齐n,然后关闭K;
设矿物体积为V,则此时气体体积为V1-V,压强为P1.
(4)往上举D,使水银面重新到达m处,这时B、D两管内水银面高度差h2=23.7cm,
则此时气体体积为V2-V,压强为P3=P1+h2.
P1(V1-V)=P3(V2-V)=(P1+h2)(V2-V)
代入数据解得:V=472.53cm3
矿物密度为ρ=mV=0.0.8465g/cm3=846.5kg/m3
答:矿物的密度为846.5kg/m3
本题解析:
本题难度:简单
4、选择题 关于热力学温标,下列说法正确的是
A.热力学温标是通过实验直接得到的新温标
B.热力学温标是对物理规律进行合理外推建立的新温标
C.热力学温标温度的变化总比摄氏温标温度的变化小273oC
D.达到热力学温标的零K时气体的体积为零
参考答案:B
本题解析:热力学温标是对物理规律进行合理外推建立的新温标,A错,B对
热力学温标温度的变化跟摄氏温标温度的变化一样,C错,
热力学温标的零K是绝对零度,绝对零度不能达到,D错
本题难度:简单
5、计算题 (选修3-3选做题)
两端开口足够长的U形管内径均匀,现在向两侧注入水银,将一定质量的理想气体封闭在管中的水平部分,气柱及水银柱长度如图所示(单位均为cm) ,大气压强p0=76 cmHg,此时气柱温度是15 ℃。求当气柱温度缓慢地升到327 ℃时,左右两管水银面的高度差是多少?

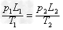
参考答案:解:对于气柱,初态压强P1=96cmHg,初态气柱长度L1=10 cm,初态温度为T1=288 K,设当温度缓慢升到T2时,左边的水银刚好全部进入竖直管中,则此时气柱内气体压强为P2=100 cmHg,气柱长度L2=18 cm,根据理想气体状态方程得:

解得T2= 540 K
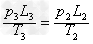
因为气柱温度缓慢地升到327℃,即T3= 600 K>T2= 540 K,所以左管中的水银还要继续上升,而右管中的水银面不再上升,气体做等压变化,设左管中的水银继续上升x,此时气柱长度为L3= (18+x)cm,p3=P2=100 cmHg,根据理想气体状态方程得:

解得x=2 cm
所以当气桂温度缓慢地升到327℃时,左右两管水银面的高度差是2 cm
本题解析:
本题难度:一般