1、选择题 如图所示,S为振源,P点有一观察者,已知振源发声的频率为20 Hz,则关于人听到的声音的频率为

[? ]
A.当振源S以17 m/s的速度远离观察者运动时,频率为19 Hz
B.当振源S以17 m/s的速度靠近观察者运动时,频率为21 Hz
C.当观察者以17 m/s的速度靠近振源运动时,频率为21 Hz
D.以上说法不正确
参考答案:ABC
本题解析:
本题难度:一般
2、选择题 不定项选择
下列说法中正确的是( ? )
A.交通警通过发射超声波测量车速,利用了波的干涉原理
B.电磁波的频率越高,它所能携带的信息量就越大,所以激光可以比无线电波传递更多的信息
C.单缝衍射中,缝越宽,条纹越亮,衍射现象也越明显
D.地面上测得静止的直杆长为L,则沿杆方向高速飞行火箭中的人测得杆长应小于L
参考答案:BD
本题解析:
本题难度:简单
3、选择题 下列说法正确确的是
A.玻尔对氢原子光谱的研究导致原子的核式结构模型的建立
B.可利用某些物质在紫外线照射下发出荧光来设计防伪措施
C.天然放射现象中产生的射线都能在电场或磁场中发生偏转
D.观察者与波源互相远离时接收到波的频率与波源频率不同
参考答案:BD
本题解析:原子的核式结构模型源于卢瑟福的α粒子散射实验,故A错误;紫外线可使荧光物质发光,此现象广泛应用于人民币等防伪措施,所以选项B正确;天然放射现象中的γ射线是电磁波,不会在电磁场中偏转,故C错误;由多普勒效应可知,观察者与波源靠近或远离时,观察到的波的频率相对于波源会增大或减小,所以选项D正确。
本题难度:简单
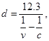
4、选择题 一人看到闪电12.3s后又听到雷声。已知空气中的声速约为330-340m/s,光速为3×108m/s,于是他用12.3除以3很快估算出闪电发生位置到他的距离为4.1 km.根据你所学的物理知识可以判断
A.这种估算方法是错误的,不可采用
B.这种种估算方法可以比较准确地估算出闪电发生位置与观察者间的距离
C.这种种估算方法没有考虑光的传播时间,结果误差很大
D.即使声速增大2倍以上,本题的估算结果依然正确
参考答案:B
本题解析:
【错解分析】AC?不知所以,妄加断言
【正解】设所求距离为d,光速为c,声速为v,则有
即
由于c≥v,上式近似为
?而 v在330~340m
,即有
4.1 km.故B正确AC错,由推理知,D亦不对,应选B.
【点评】应理解机械波的叠加;干涉、衍射现象及相关条件,理解多普勒效应韵基本原理;能画图分析作答.
本题难度:简单
5、选择题 一列连续鸣笛的火车高速从铁道上通过,则在铁道边上的人听到的笛声应为
A.某一不变频率的笛声
B.车头经过前听到的笛声比声源频率高,车头经过后听到的笛声比声源频率低
C.车头经过前听到的笛声比声源频率低,车头经过后听到的笛声比声源频率高
D.频率时高时低周期性变化的笛声
参考答案:B
本题解析:分析:根据多普勒效应进行判断:
当警车向你驶来的时候,警笛的音调变高;当警车离开你向远处驶去时,音调在降低,但若你是坐在警车上,所听到的警笛声的音调却始终一样,也就是说实际上警笛的频率并没有改变,只是当听者和声源之间发生相对运动时,听者感觉到频率的改变,这种现象称为多普勒效应.
解答:解:根据多普勒效应得知,当物体振动频率不变时,距离声源越远,声音的音调越低,距离声源越近,声音的音调越高.
当有人站在火车轨道旁,一列连续鸣笛的火车高速从铁道上通过,距离先近后远,人感知的音调先逐渐变高,后逐渐变低,频率先变大后变小,即车头经过前听到的笛声比声源频率高,车头经过后听到的笛声比声源频率低.
故选B.
点评:有些知识没有出现在课本上,而是在生活中,要留心生活,观察生活,生活处处皆物理.此题是人感觉警笛的频率,不是警笛的实际频率.
本题难度:简单