1、填空题 .在“验证机械能守恒定律”的实验中,有如下可供选择的实验器材:铁架台,电火花打点计时器,纸带,电源,秒表等.其中不必要的器材是 ▲ ,在实验数据处理时,得到重锤动能的增量总小于重锤势能的减少量,其原因可能是:
▲ ▲ ▲ .
参考答案:由于摩擦阻力、振针阻力、空气阻力等原因(2分。只要答对其中一点即可)。
本题解析:在实验中需要刻度尺测量纸带上点与点间的距离从而可知道重锤下降的距离,以及通过纸带上两点的距离,求出平均速度,从而可知瞬时速度.纸带上相邻两计时点的时间间隔已知,所以不需要秒表.
由于小球下落过程中,受到摩擦阻力、振针阻力、空气阻力等作用,因此重力势能没有全部转为动能,一部分被克服阻力做功消耗掉了
本题难度:一般
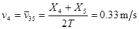
2、实验题 在测定金属丝的直径时,螺旋测微器的读数如图6所示。可知该金属丝的直径
= _________ mm。
参考答案: 8.854
本题解析:测量时,以可动刻度的边缘为准,读出固定刻度上下刻线总条数n(半毫米的整数倍n),再以固定刻度上下刻线的分界线(中心线)为准,读出可动刻度上的刻线条数k(包括估读数).螺旋测微器测量长度l的普遍表达式为l=(0.5n+0.01k)mm.所以本题读作8.854mm
考点:螺旋测微器的读数
点评:容易题。螺旋测微器的读数还可以用以下方法:从固定刻度上直接读数,整毫米数(在半毫米刻线已露出时,还要加上半毫米).再从可动刻度上读出小数部分,二者相加即为结果.
本题难度:简单
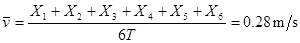
3、实验题 (9分)电磁打点计时器使用 电源,通常的工作电压为 .利用打点计时器《探究小车的速度随时间变化的规律》,如图给出了某次实验中的纸带,其中0、1、2、3、4、5、6都为计数点,每相邻两个计数点的间还有四点(未画出),电源频率50Hz.从纸带上测得:X1=1.50cm,X 2=2..00cm,X3=2.50cm,X4=3.00cm,X5=3.50cm,X6=4.00cm。(结果保留两位有效数字)

(1)通过纸带分析可知,小车的速度在 (填“增大”或“减小”)(2)每相邻两个计数点的时间间隔是 s(3) 计数点0到计数点6的平均速度是 m/s(4)计数点4的速度为 m/s(5)小车运动的加速度是 m/s2
参考答案:交流 4~6V (1)增大 (2)0.10s (3)0.28m/s (4)0.33m/s (5)0.50m/s2
本题解析:电磁打点计时器是一种使用交流电源的计时仪器,工作电压为4~6V
(1)由于相邻计数点时间间隔相同,而相邻计数点间的距离在增大,所以小车的速度在增大
(2)由于电源频率为50Hz,所以相邻计数点时间间隔
(3)计数点0到计数点6的平均速度
(4)计数点4的速度
(5)匀变速直线运动中,任意两个连续相等时间内的位移之差都相等,即
,解得
考点:本题考查了电磁打点计时器的使用及匀变速直线运动基本规律的应用。
本题难度:一般
4、填空题 常用螺旋测微器的精度是0.01mm,在下图中的螺旋测微器的读数为6.620mm,请在刻度线旁边的方框内标出相应的数以符合给出的数,若另制一个螺旋测微器,使其精度提高到0.005
参考答案:
本题解析:
本题难度:一般
5、实验题 在“探究动能与重力势能的转化和守恒”的实验中采用重物自由下落的方法:
(1)实验供选择的重物有以下四个,应选择 。
A.质量为100 g的木球
B.质量为10 g的砝码
C.质量为200 g的钩码
D.质量为10 g的塑料球