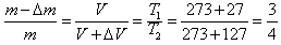
1、计算题 有一个敞口的玻璃瓶,当瓶内空气温度由27℃升高到127℃时,瓶内剩余的空气是原来的几分之几?
参考答案:解:以27℃时瓶内的空气为研究对象,因为瓶口敞开,故瓶内空气压强恒等于外界大气压,假设温度升高时,瓶内逸出的空气进入另一个与瓶子相通的容器内,气体状态变化如图所示

根据盖-吕萨克定律有
则
本题解析:
本题难度:一般
2、选择题 一定质量的理想气体从状态A变化到状态B,其变化过程反映在p-T图中是一条直线,如图所示,则此过程中该气体

[? ]
A.体积不变内能增加
B.对外界做功并放出热量
C.不吸热也不放热
D.吸收热量并对外界做功
参考答案:D
本题解析:
本题难度:一般
3、计算题 如图所示,直线a和b分别表示同一气体在不同体积V1和V2下的等容变化图线,试比较V1和V2的关系。

参考答案:解:由题图所示,让气体从体积为V1的某一状态开始做一等温变化,末状态体积为V2。P1<P2,根据玻意耳定律可知V1>V2。直线斜率越大,表示体积越小,则在p-T图中斜率大的V小,故V2<V1。
本题解析:
本题难度:一般
4、计算题 (选做题,选修3-3)
如图所示,一圆柱形绝热气缸竖直放置,通过绝热活塞封闭着一定质量的理想气体。活塞的质量为m,活塞的横截面积为S。初始时,气体的温度为T0活塞的下表面与容器底部相距h。现通过电热丝缓慢加热气体,当气体吸收热量Q时活塞上升了h,已知大气压强为P0,重力加速度为h不计活塞与气缸的摩擦。求此时气体的温度和加热过程中气体内能的增加量。(题中各物理量单位均为国际单位制单位)

参考答案:解:封闭气体做等压变化,由盖-吕萨克定律得

此时气体的温度为
气体在等压变化过程中,活塞受力如图所示
?
由平衡条件得 
气体对活塞做的功为 
由热力学第一定律得 
气体内能的增加量为
。
本题解析:
本题难度:一般
5、计算题 如图所示,上端开口、下端封闭的玻璃管竖直放置,管长48cm,其中有一段长为4cm的水银柱,将长为20cm的空气柱A封闭在管的下部,空气柱B和大气连通。现用一小活塞将管口封住,并将活塞缓慢往下压,当水银柱下降4cm时停止下压。已知外界大气压恒为76cmHg,下压过程气体温度不变,求活塞从管口向下移动的距离x.
参考答案:解:等温过程,遵循玻意耳定律
对气体A:?
对气体B:
综上,得x="48-16-4-19=9cm?" (2分)
本题解析:略
本题难度:一般