1、计算题 一个正方形导体线圈边长
,共有N=100匝,其总电阻
,线圈与阻值
的外电阻连成闭合回路.线圈所在区域存在着匀强磁场,磁场方向垂直线圈所在平面向外,如左图所示;磁感应强度的大小随时间做周期性变化,如右图所示。


(1)若取向上流过电阻R的电流为正,试通过计算画出流过电阻R的电流随时间变化的图象(要求画出一周期,并在图象上标明有关数据);
(2)求流过电阻R的电流的有效值。
参考答案:(1)

(2)
本题解析:(1)由图乙可知,0.1s时间内:
?(1分)
线圈中产生的感应电动势
?(1分)
通过电阻R的电流大小
?(1分)
联立代入数据解得
?(1分)
由楞次定律可知0--0.1s时间内电流方向为正.?(1分)
流过电阻R的电流随时间变化的图象如图所示.?(4分)

(2)根据有效值的定义,有
,代入数据解得
?(6分)
点评:本题难度较小,当磁场均匀变化时产生的感应电动势或感应电流恒定不变,根据有效值的定义求解第2问
本题难度:一般
2、选择题 小型交流发电机中,面积为0.1
参考答案:
本题解析:
本题难度:一般
3、选择题 如图,一理想变压器的原、副线圈的匝数比是20:1,原线圈接入
的正弦交流电,一只理想二极管和一个阻值为
的电阻串联后接在副线圈上。则

[? ]
A.电流表示数为0.055A
B.电压表示数约为7.8V
C.二极管两端的最大电压为
D.1min内电阻R上产生的热量为726J
参考答案:BC
本题解析:
本题难度:一般
4、计算题 如图所示,匀强磁场的磁感应强度B=0.5T,边长L=10cm的正方形线圈abcd共100匝,线圈电阻r=1Ω,线圈绕垂直于磁感线的对称轴OO"匀速转动,角速度ω=2πrad/s,外电路电阻R=4Ω,求:
(1)转动过程中感应电动势的最大值;
(2)由图示位置(线圈平面与磁感线平行)转过60°角时的瞬时感应电动势;
(3)由图示位置转过60°角的过程中产生的平均感应电动势;
(4)交流电压表的示数;
(5)线圈转动一周外力所做的功;
(6)
周期内通过R的电荷量是多少?

参考答案:解:(1)感应电动势的最大值为Em=NBωS=3.14 V
(2)转过60°角时的瞬时感应电动势为e=Emcos60°=3.14×0.5 V=1.57V
(3)转过60°角过程中产生的平均感应电动势为


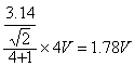
(4)电压表示数为外电路电压的有效值
R=
(5)线圈转动一周外力所做的功等于电流产生的热量W=
(6)
周期内通过电阻R的电荷量为
本题解析:
本题难度:困难
5、选择题 电流方向每秒改变50次的正弦式交变电流,它的周期和频率分别是( )
A.0.04s,25Hz
B.0.08s,25Hz
C.0.04s,50Hz
D.0.08s,50Hz