1、选择题 对于液体和固体(不计分子间的空隙),若用M表示摩尔质量,m0表示分子质量,ρ表示物质密度,V表示摩尔体积,v0表示单个分子的体积,NA表示阿伏伽德罗常数,则下列关系中正确的是( ? )
A.NA=V/v0
B.NA=ρV/m0
C.NA=M/ρV
D.NA=m0/ρv0
参考答案:AB
本题解析:
本题难度:一般
2、选择题 设nA代表阿伏加德罗常数的值,下列说法正确的是( )
A.1molO3中电子总数为24nA
B.1L0.1mol?L-1Al2(SO4)3溶液中Al3+总数为0.2nA
C.常温常压下,22.4LSO2和O2的混合气体中氧原子总数为2nA
D.5.6gFe与足量Cl2反应时转移电子总数为0.3nA
参考答案:AD
本题解析:
本题难度:一般
3、计算题 (5分)用油膜法可粗略测出阿伏加德罗常数,把密度ρ=0.8×103 kg/m3的某种油,用滴管滴出一滴油在水面上形成油膜,已知这滴油的体积V=0.5×10-3 cm3,形成的油膜的面积S="0.7" m2,油的摩尔质量Ml="0.09" kg/mol.若把油膜看成单分子层,每个油分子看成球形,那么:
(a)油分子的直径为多大?
(b)由以上数据可测出的阿伏加德罗常数大约为多少?(保留一位有效数字)
参考答案:(a)7.1×10-10m? (b) 6×1023
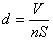
本题解析:(a)由题意知,油膜的厚度即为油分子的直径,根据
,可得:
;
(b)把每个分子看作球形,则每个分子的体积为:
,因此一滴油中含有的分子数为:
由题意可知一滴油的质量:M=ρV
一个油分子的质量为:
?
所以有:
本题难度:一般
4、简答题 1 mol铜的质量为63.5 g,铜的密度为8.9×103 kg/m3,试估算一个铜原子的质量和体积.
参考答案:1.06×10-25 kg,1.2×10-29 m3
本题解析:铜的摩尔质量M=0.0635 kg/mol,1 mol铜含有NA=6.02×1023个原子,一个铜原子的质量m=
kg=1.06×10-25 kg.
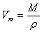
铜的密度ρ=8.9×103kg/m3,则铜的摩尔体积为:V=
m3=7.13×10-6 m3.所以,一个铜原子的体积V0=
?m3=1.2×10-29 m3.
本题难度:简单
5、计算题 某种油的密度为ρ,摩尔质量为M。取体积为V的油慢慢滴出,可滴n滴。将其中一滴滴在广阔水面上,形成面积为S的单分子油膜。试估算:
(1)阿伏加德罗常数;
(2)其中一滴油滴含有的分子数。
参考答案:解:(1)油分子的直径为:
一摩尔油的体积为:
所以阿伏加德罗常数为:
(2)一滴油含有的分子数为:
本题解析:
本题难度:一般