1、实验题 为了探究加速度与力的关系,使用如图所示的气垫导轨装置进行实验。其中G1、G2为两个光电门,它们与数字计时器相连,当滑行器通过G1、G2光电门时,光束被遮挡的时间△t1、△t2都可以被测量并记录,滑行器连同上面固定的一条形挡光片的总质量为M,挡光片宽度为D,两光电门间距离为x,牵引砝码的质量为m。回答下列问题:

(1)实验开始应先调节气垫导轨下面的螺钉,使气垫导轨水平,在不增加其他仪器的情况下,如何判定调节是否到位?
答:______________________________。
(2)若取M=0.4 kg,改变m的值,进行多次实验,以下m的取值不合适的一个是
[? ]
A.m1=5g
B.m2=15g
C.m3=40g
D.m4=400g
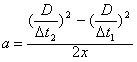
(3)在此实验中,需要测得每一个牵引力对应的加速度,其中求得的加速度的表达式为:___________(用△t1、△t2、D、x表示)。
参考答案:(1)取下牵引砝码,滑行器放在任意位置都不动(或取下牵引砝码,轻推滑行器M,数字计时器记录两个光电门的光束被挡的时间△t相等)
(2)D
(3)
本题解析:
本题难度:一般
2、简答题 某同学做“验证力的平行四边形定则”的实验,其中三个实验步骤分别是:
在桌面上放一块方木板,在方木板上铺一张白纸,用图钉把白纸钉在方木板上;
①在水平放置的木板上垫一张白纸,把橡皮的一端固定在木板上,另一端拴两根细线,通过细线同时用两只弹簧测力计互成角度地拉橡皮条,使它与细线的结点达到某一位置O,在白纸上记下O点的位置和两个弹簧测力计的读数F1、F2;示数;桌面用图钉把橡皮条的一端固定在板上的A点,在橡皮条的另一端拴上两条细绳,细绳的另一端系着绳套;
②在纸上根据F1、F2的大小,应平等四边形定则求出合力F;
③只用一只弹簧测力计通过细绳套拉橡皮条,使其伸长量与两根弹簧测力计拉时相同,记下弹簧测力计的示数F′.
以上三个步骤中均有错误或遗漏.请分别指出它们各错在哪里,并加以纠正和补充.
参考答案:①应将白纸用图钉固定在木板上,还应记下两细线方向;
②应先选定标度,根据F1、F2的大小和方向作出力的图示,再作出F1和F2的合力;
③读出弹簧测力计的示数,记下细绳的方向,按同一标度作出这个力F′的图示;
本题解析:
本题难度:一般
3、填空题 在探究合力的方法时,先将橡皮条的一端固定在水平木板上,另一端系上带有绳套的两根细绳.实验时,需要两次拉伸橡皮条,一次是通过两细绳用两个弹簧秤互成角度地拉橡皮条,另一次是用一个弹簧秤通过细绳拉橡皮条.同学们在操作过程中有如下议论,其中说法正确的是______
A.两细绳必须等长
B.弹簧秤、细绳、橡皮条都应与木板平行
C.两次拉橡皮条时不必将其结点拉至同一个位置
D.拉橡皮条的细绳要长些,标记同一细绳方向的两点要远些.
参考答案:A、通过两细绳用两个弹簧秤互成角度地拉橡皮条时,并非要求两细绳等长,故A错误;
B、测量力的实验要求尽量准确,为了减小实验中因摩擦造成的误差,操作中要求弹簧秤、细绳、橡皮条都应与木板平行,故B正确;
C、本实验采用“等效法”,为了使两次拉伸橡皮条的效果相同,要求两次拉橡皮条时必须将其结点拉至同一个位置,故C错误;
D、为了更加准确的记录力的方向,拉橡皮条的细绳要长些,标记同一细绳方向的两点要远些,故D正确.
故选BD.
本题解析:
本题难度:一般
4、填空题 下图为“探究加速度与力、质量的关系”实验中用打点计时器打出的一条较理想的纸带,已知打点计时器打点时间间隔为0.02s,纸带上A、B、C、D、E、F、G为七个相邻的计数点,若以每5个时间间隔取一个计数点,则由纸带记录的数据可知,小车经过E点时的速度为______m/s,小车运动的加速度为______m/s2.(保留二位有效数字)?

参考答案:每打五个点取一个计数点,又因打点计时器每隔0.02s打一个点,所以相邻两计数点间的时间T=0.1s;
根据匀变速直线运动中时间中点的速度等于该过程中的平均速度,有:
vE=XDFtDF=0.84m/s
根据匀变速直线运动的推论公式△x=aT2可以求出加速度的大小,
根据逐差法有:
a1=XDE-XABT2
a2=XEF-XBCT2
a3=XFG-XCDT2
a=a1+a2+a33=XDG-XAD(3T)2=1.6m/s2.
故答案为:0.84,1.6.
本题解析:
本题难度:一般
5、选择题 指南针是古代的重要发明之一,它的发明对航海产生了重大的影响,它是
A.古中国人发明的
B.古罗马人发明的
C.古巴比伦人发明的
D.韩国人发明的
参考答案:A
本题解析:我国的四大发明中就有指南针.由于地球是一个巨大的磁体,地磁的北极在地理的南极附近,地磁的南极在地理的北极附近,正是地球这个大磁体的作用使小磁针指向了南北方向.
点评:对于物理学史,需要学生在学习过程中不断积累以及记忆
本题难度:简单