1、选择题 万有引力的发现实现了物理学史上的第一次大统一--“地上物理学”和天上物理学“的统一.它表明天体运动和和地面上物体的运动遵循相同的规律.牛顿在发现万有引力定律的过程中,将行星的椭圆轨道简化为圆轨道,海应用了其它的规律和结论.下面的规律和结论被使用到的有( )
A.开普勒行星运动定律
B.卡文迪许通过扭秤实验测出的引力常量
C.牛顿第二定律
D.牛顿第三定律
参考答案:ACD
本题解析:
本题难度:简单
2、选择题 某人造卫星绕地球做匀速圆周运动,其轨道半径为月球绕地球运动的轨道半径的
,则此卫星运行的周期大约是
[? ]
A.1~4天之间?
B.4~8天之间?
C.8~16天之间?
D.16~20天之间
参考答案:B
本题解析:
本题难度:一般
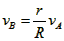
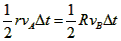
3、计算题 某行星绕太阳沿椭圆轨道运行,它的近日点A到太阳的距离为r ,远日点B到太阳的距离为R。若行星经过近日点时的速度为vA,求该行星经过远日点时的速度vB的大小。
参考答案:解:根据开普勒第二定律,行星绕太阳沿椭圆轨道运动时,它和太阳的连线在相等的时间内扫过的面积相等。如图所示,
分别以近日点A和远日点B为中心,取一个很短的时间△t,在该时间内扫过的面积如图中的两个曲边三角形所示。由于时间极短,可把这段时间内的运动看成匀速率运动,
从而有
,
所以,该行星经过远日点时的速度大小为
。
本题解析:
本题难度:一般
4、选择题 根据楞次定律,下面几种说法中正确的是
A.感应电流的磁场方向总是与原磁场方向相反
B.感应电流的磁场方向总是与原磁场方向相同
C.穿过闭合电路的磁通量增加时,感应电流的磁场与原磁场方向相反
D.穿过闭合电路的磁通量增加时,感应电流的磁场与原磁场方向相同
参考答案:C
本题解析:
本题难度:困难
5、选择题 16世纪波兰天文学家哥白尼(1473-1543),根据天文观测的大量资料,经过40多年的天文观测和潜心研究,提出“日心体系”宇宙图景,即“日心说”的如下基本论点,现在看来这四个论点存在缺陷的是
[? ]
A.宇宙的中心是太阳,所有行星都在绕太阳做匀速圆周运动
B.地球是绕太阳旋转的普通行星,月球是绕地球旋转的卫星,它绕地球做匀速圆周运动,同时还跟地球一起绕太阳运动
C.天穹不转动,因为地球每天自西向东自转一周,造成天体每天东升西落的现象
D.与日地距离相比,恒星离地球都十分遥远,比日地间的距离大得多
参考答案:ABC
本题解析:
本题难度:简单