1、选择题  如图1所示,是某质点的振动图像及由此质点振动而激起的波的某时刻的波形图,下述说法中正确的是?
 ?
?
A.乙是振动图像,甲是波动图像
B.由图像可知,振幅是2cm,周期是0.4s,波长是0.4m
C.P质点在此时刻的速度方向为正,而波源质点在0.2s时速度方向为正
D.这列波的速度是1m/s
 
	        2、简答题  (1)两列简谐横波同振幅、同波长、同速率相向传播.某时刻两列波图象如图所示,实线表示的波向左传播,虚线表示的波向右传播.关于图中介质质点A,认识正确的是______
A.A振动始终加强?B.由图示时刻开始,再经1/4周期,A将位于波峰
C.A振幅为零?D.由图示时刻开始,再经1/4周期,A将位于波谷
(2)一半径为R的1/4球体放置在水平面上,球体由折射率为
的透明材料制成.现有一束位于过球心O的竖直平面内的光线,平行于桌面射到球体表面上,折射入球体后再从竖直表面射出,如图所示.已知入射光线与桌面的距离为R/2.求出射角.
 
	        3、选择题  如图为一列沿 轴传播的简谐横波在
轴传播的简谐横波在 =0(图中实线所示)以及在
=0(图中实线所示)以及在 0.02s(图中虚线所示)两个时刻的波形图象,已知
0.02s(图中虚线所示)两个时刻的波形图象,已知 (T为该波的周期),则以下说法正确的是?(?)
(T为该波的周期),则以下说法正确的是?(?)

A.波沿 轴正向传播
轴正向传播
B.波的传播速度是200m/s
C.在 =0.04s时刻,质点
=0.04s时刻,质点 的速度达到最大
的速度达到最大
D.在 =0.02s时刻,质点
=0.02s时刻,质点 的加速度正在增大
的加速度正在增大
 
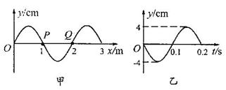
	        4、选择题  甲图为某简谐机械横渡在t=0时刻波的图像,乙图为波的传播方向上某质点的振动图像。下列说法正确的是

A.该波的波速是15 m/s
B.该波一定沿x轴正方向传播
C.若乙是质点P的振动图像,则t=0.15 s时刻,质点Q的坐标为(0.5 m、0 cm)
D.若乙是质点Q的振动图像,则t=0.15 s时刻,质点P的坐标为(1m、-4 cm)
 
	        5、简答题  如图所示,一列向右传播的横波,波速为0.4m/s,M点的横坐标x=10m,图示时刻波传播到N点,现从图示时刻开始计时,求:
(1)这列波的波长、周期、振幅分别是多少?
(2)经过多长时间,M点第二次到达波谷?
(3)这段时间里,N点经过的路程是多少?