1、简答题 如图所示,宽为L=1 m、高为h=7.2 m、质量为M=8 kg、上表面光滑的木箱在水平地面上运动,木箱与地面间的动摩擦因数为μ=0.2。当木箱速度为v0="3" m/s时,在木箱上表面的右端轻轻地放上一个质量m="2" kg的光滑小铁块(可视为质点),g取10m/s2.求:
(1)小铁块与木箱脱离时长木箱的速度大小v1;
(2)小铁块刚着地时与木箱左端的距离
.
参考答案:(1)2m/s(2)1m
本题解析:(1)小铁块在木箱上的过程,对木箱利用动能定理得-
-μ(M+m)g×L=
Mv12-
Mv02?①?(5分)
代入数值解得v1="2m/s.?" ②?(3分)
(2)铁块离开木箱后做自由落体运动,下落时间为t=
="1.2s" ③?(3分)
铁块离开后木箱的加速度大小为a2="μg=2m/s?" ④?(2分)
从铁块离开到木箱停下所用的时间为t2=
="1s?" ⑤?(2分)
因为t2<t,所以,木箱静止后,铁块才着地,故铁块着地时与木块左端距离
s2=v1t2-
a2t22? ⑥?(2分)?
代入数值解得s2="1m⑦?"
本题难度:一般
2、简答题
(1)求
;
(2)设炸药爆炸时释放的化学能为
且完全转化为两小球动能,求从爆炸到发生第
一次碰撞的时间t。
参考答案:(1)
(2)
本题解析:


本题难度:一般
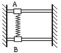
3、选择题 不定项选择
如图所示,A、B两滑块的质量均为m,分别穿在光滑的足够长的水平固定导杆上,两导杆平行,间距为d。用自然长度也为d的轻弹簧连接两滑块。开始时两滑块均处于静止状态,今给滑块B一个向右的瞬时冲量I,则以后滑块A的最大速度为( ? )

A.
B.
C.
D.
参考答案:B
本题解析:
本题难度:一般
4、实验题 A、B两物体在水平面上相向运动,其中物体A的质量为mA="4" kg,两球发生相互作用前后的运动情况如图16-3-6所示,则由图可知,B物体的质量为mB=_________kg.

图16-3-6
参考答案:6
本题解析:由题中图象可知,碰前A物体速度vA=
m/s="2" m/s,方向与正方向相反,vB=
?m/s="3" m/s,方向与正方向相同,碰后A、B两物体结合在一起运动速度为v=
m/s="1" m/s,由动量守恒定律得:
-mAvA+mBvB=(mA+mB)v
解得mB="6" kg.
本题难度:简单
5、计算题 如图所示,质量
,长
的木板B静止在光滑水平地面上,其上表面正中央放置一个质量
的小滑块A,A与B之间的动摩擦因数为
。现同时给A、B瞬时冲量使二者获得水平向右的初速度,
、
;已知在B与墙壁碰撞前A没有滑离B,且A、B已经达到共同速度。设B与墙壁碰撞时间极短,且无机械能损失,重力加速度
。求:

(1)B与墙壁碰撞前,A、B的共同速度大小;
(2)在B与墙壁碰撞前的过程中,A相对于B滑行的距离;
(3)A在B上滑动的整个过程中,A、B系统因摩擦产生的热量。
参考答案:(1)有题可知,B与墙碰撞前A、B已达共同速度V,对A、B系?统有动量守恒定律?
?----3分?得 V="3.6m/s?" --------2分
(2)由功能关系?
?---3分
得? A相对于B向左滑行?
?- ----2分
(3 )B与墙碰撞后,设A、B达到共同速度V/时,A仍在B上,
对A、B系统有动量守恒定律?
?----2分
由功能关系
? -----2分
得? A相对于B向右滑行?
?
因
? ----1分?所以在达共同速度前,A已从B右端滑出
故A、B系统因摩擦产生的热量为?
----2分?
?----1分
本题解析:略
本题难度:简单