1、计算题 某个光子是氢原子核外电子从n=4跃迁到n=1时所发出的,已知普朗克常量h=6.63×10-34J·s,求:
①该光子的能量为多少eV?频率为多少Hz?
②该光子的动量大小为多少?

参考答案:① 12.75eV? 3.1×1015Hz? ②
本题解析:①根据玻尔的跃迁假说可得E=E4-E1=12.75eV,
?
②
本题难度:一般
2、填空题 氢原子第n能级的能量为En=
,其中E1是基态能量,而n=1,2,…,若一氢原子发射能量为-E1的光子后处于比基态能量高出-E1的激发态,则氢原子发射光子前处于第______能级,发射光子后处于第______能级.
参考答案:由题得到发射光子后氢原子能量为E=E1+(-34E1)=E14,根据玻尔理论氢原子发射光子能量E=Em-En(m>n),得到氢原子发射光子前的能量E′=E14+(-316E1)=E116.根据氢原子第n能级的能量为En=E1n2,得到发射光子前n=4,发射光子后n=2.
故答案为:4;2
本题解析:
本题难度:简单
3、简答题 (1)氢原子能级图如图所示,则要使一个处于基态的氢原子释放出一个电子而变成氢离子,该氢原子需要吸收的能量为多少电子伏特?一群处于n=4能级的氢原子回到n=1能级的过程中,可能辐射多少种不同频率的光子?
(2)静止的锂核
Li俘获一个速度为8×106m/s的中子,发生核反应后若只产生了两个新粒子,其中一个粒子为氦核He,它的速度大小是8×106m/s,方向与反应前的中子速度方向相同,求反应后产生的另一个粒子的速率.

参考答案:(1)根据氢原子能及图可知,要使处于基态的氢原子释放出一个电子而变成氢离子,即发生电离,
则需吸收的能量应为13.6eV.
根据数学组合C2n可知:一群处于n=4能级的氢原子回到n=1能级的过程中可能辐射的光谱线条数为:N=4(4-1)2=6条.
(2)此核反应的方程式为73Li+10n→42He+31H
设中子质量为m,则氦核质量为4m,氢核质量为3m,规定中子的速度方向为正方向,由动量守恒定律可得:
mv1=4mv2+3mv3,
解得:v3=-8×106m/s
即:反应后所产生的另一个粒子的速度大小为8×106m/s,方向与反应前的中子速度方向相反.
答:(1)要使一个处于基态的氢原子释放出一个电子而变成氢离子,该氢原子需要吸收的能量为13.6电子伏特,一群处于n=4能级的氢原子回到n=1能级的过程中,可能辐射6种不同频率的光子.
(2)反应后产生的另一个粒子的速率是8×106m/s.
本题解析:
本题难度:一般
4、计算题 (1)氢原子第n能级的能量为
,其中E1是基态能量,而n=1,2……若一氢原子发射能量为
的光子后处于比基态能量高出
的激发态,则氢原子发射光子前后分别处于第几能级?
(2)一速度为v的高速α粒子
与同方向运动的氖核
发生弹性正碰,碰后α粒子恰好静止。求碰撞前后氖核的速度。(不计相对论修正)
参考答案:解:(1)设氢原子发射光子前后分别位于第l与第m能级,则依题意有
?①
②
由②式解得m=2 ③
由①③式得l=4 ④
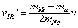
(2)设α粒子与氖核的质量分别为mα和mNe,氖核在碰撞前后的速度分别为vNe与vNe",由动量守恒与机械能守恒定律,有
mαv+mNevNe=mNevNe" ①
②
解得
③,
④
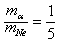
已知
⑤
将⑤式代入③④式得
,
本题解析:
本题难度:困难
5、选择题 处于基态的氢原子在某单色光束照射下,只能发出频率为ν1、ν2、ν3的三种光,且ν1<ν2<ν3则该照射光的光子能量为( ).
A .hν1 Bhν2 C hν3 D h(ν1+ν2+ν3)
参考答案:C
本题解析:由于处于基态的氢原子在某单色光束照射下,能发出频率为ν1、ν2、ν3的三种光,其中ν3最大,所以一定是处于基态的氢原子在某单色光束照射下从基态跃迁到了n=3的能量状态,所以吸收光子的能量为hν3,,选项C正确。
考点:玻尔理论
本题难度:一般