高考省级导航

全国 A安徽 B北京 C重庆 F福建 G广东 广西 甘肃 贵州 H河南 河北 湖南 湖北 黑龙江 海南 J江苏 江西 吉林 L辽宁 N内蒙古 宁夏 Q青海 S山东 山西 陕西 四川 上海 T天津
     X新疆 西藏 Y云南 Z浙江

高考物理高频试题、高中物理题库汇总-压中真题已成为一种习惯

★力学★ 运动的描述: 质点、参考系、坐标系 时间与时刻 位移与路程 速度、速率 平均速度和瞬时速度 加速度 电磁打点计时器和电火花计时器 直线运动: 匀速直线运动 匀变速直线运动 匀变速直线运动基本公式应用 匀变速直线运动导出公式应用 自由落体运动 竖直上抛运动 探究小车速度随时间变化的规律 运动的图象 S-t图象 V-t图象 追及相遇问题 相互作用: 力的描述 重力 弹力 弹性形变和弹力 探究弹力和弹簧伸长的关系 摩擦力 滑动摩擦力 静摩擦力 力的合成与分解 平行四边形定则 力的合成 力的分解 正交分解 共点力的平衡 三力平衡 动态平衡分析 力矩平衡 牛顿运动定律: 牛顿第一定律 伽利略理想实验 惯性与质量 牛顿第二定律及应用 对单物体(质点)的应用 对质点系的应用 连接体问题 牛顿定律与图象 超重失重 探究加速度与力、质量的关系 牛顿第三定律 牛顿运动定律与电磁学综合 曲线运动: 曲线运动的特点 运动的合成与分解 位移的合成与分解 速度的合成与分解 小船渡河问题分析 最短时间过河 最短位移过河 拋体运动的规律 平抛运动的概念与轨迹 平抛运动的运动规律 研究平抛运动 斜抛运动 圆周运动 描述圆周运动的物理量 匀速圆周运动 向心力与向心加速度 圆周运动实例分析 离心运动和向心运动 万有引力与航天: 开普勒定律 万有引力定律及其应用 天体的匀速圆周运动的模型 人造卫星与飞船 近地卫星和同步卫星 宇宙速度 功和机械能: 恒力做功 变力做功 功率 功率的概念 机车启动 动能与重力势能 动能 探究功与速度变化的关系 弹性势能 动能定理及应用 动能定理的理解 动能定理的综合应用 摩擦力做功 皮带模型 机械能守恒定律 机械能 机械能守恒及其条件 机械能综合应用 能量守恒定律 功能关系 动量: 动量和冲量 动量 冲量 动量定理 动量守恒定律 碰撞 弹性碰撞 非弹性碰撞 反冲 反冲现象 爆炸 机械振动、机械波: 简谐运动 简谐运动的图象 单摆 用单摆测重力加速度 阻尼振动 受迫振动和共振 机械波的形成和传播 机械波的图象 波的干涉和衍射 多普勒效应 波长、波速和频率的关系 力学综合: 子弹打木块模型 弹簧综合 应用数学知识综合 ★电磁学★ 静电现象: 电荷 库仑定律 静电场 电场强度 电场强度的叠加 电势能和电势 等势面 电势差 电势差与电场强度的关系 静电平衡 静电场中的导体 电容器 电容 平行板电容器的电容 电容器的动态分析 电荷在电场中的加速 电荷在电场中的偏转 电荷在交变电场中的运动 示波管的原理与使用 恒定电流: 电源和电流 电流和电荷量 电阻和欧姆定律 电阻、电阻率 影响导体电阻的因素、电阻定律 导体的伏安特性曲线 电阻定律 电功率和电功 焦耳定律 闭合电路的欧姆定律 电源电动势和内阻 全电路的功和能 含容电路 半导体 超导 串联和并联 电表 电流表的构造及使用 欧姆表 练习使用多用电表 磁场: 磁现象和磁场 磁场、地磁场 磁感应强度 安培分子电流假说 通电导线在磁场中受到的力 安培力及其方向 左手定则 安培力的大小 洛伦兹力 粒子在有界磁场中运动 粒子在复合场中运动 磁场和重力场的复合 磁场、电场和重力场复合 电磁场的应用 质谱仪 回旋加速器 电磁流量计 磁流体发电机 电磁感应: 电磁感应现象 楞次定律 法拉第电磁感应定律及应用 磁通量 互感与自感 电磁感应与力学 电磁感应与电路 电磁感应与图象 电磁感应中切割类问题 电磁感应中磁变类问题 交变电流: 交变电流的产生及规律 描述交变电流的物理量 周期和频率 交流电的最大值与有效值 交流电图象 变压器原理 电能的输送 电感和电容对交流电的影响 示波器的使用 门电路 传感器: 与门、或门、非门 门电路设计与应用 传感器 电磁波: 电磁场与电磁波 电磁波的发射和接收 电磁波谱 电磁场理论 复合场: ★热学★ 分子动理论: 物质由大量分子组成 用油膜法估测分子直径的大小 分子大小与阿伏加德罗常数 分子热运动 扩散 布朗运动 分子间的作用力 分子动能、分子势能、内能 温度、温度计和温标 热力学定律: 热力学第一定律 热力学第二定律 热力学第三定律 热机: 热机原理与热机效率 内燃机原理 电冰箱与空调器 固体: 晶体和非晶体 晶体的微观结构 液体: 液体的表面张力 浸润和不浸润、毛细现象 气体: 气体的状态方程 气体实验定律 饱和汽与饱和气压 空气湿度、湿度计 物态变化中的能量交换: ★光学★ 光的反射和折射: 光的反射定律 光的折射定律 折射率 测定玻璃的折射率 全反射、临界角 光的干涉和衍射: 杨氏干涉实验 用双缝干涉测量光的波长 光的衍射 衍射光栅 光的偏振和色散: 偏振现象 偏振现象的应用 光谱 光的色散、光的颜色 薄膜干涉、衍射、折射中的色散 激光: 激光及其特点 光的粒子性: 光子的动量 光电效应 康普顿效应 物质波 光的波粒二象性 ★原子物理与相对论★ 原子结构: 原子的核式结构 氢原子光谱 玻尔原子理论 原子核: 原子核的组成 原子核的衰变、半衰期 核反应方程 质能方程 放射性的应用与防护 核裂变与核聚变 探测射线的方法 夸克: 宇宙和恒星的演化 相对论: 经典时空观与相对论时空观 狭义相对论的两个基本假设 同时的相对性 时间间隔的相对性 ★物理实验★ 力学实验 热学实验 电磁学实验 光学实验 其他实验 ★物理学史和研究方法★ 物理学史: 研究方法: 整体法隔离法 控制变量法 假设法 等效法 图象法 极限法 微元法 ★单位制及量纲★ ★当代社会热点问题★ ★其他★ 能源和可持续发展:

高考物理知识大全《静电现象》高频试题特训(2019年最新版)(三)
2019-06-29 05:28:50 【

1、填空题  某同学用一块多用电表来判断一支二极管的极性.该同学使用的是多用电表的“×10”欧姆挡.当用多用电表的红表笔接触二极管a?端、黑表笔接触二极管b?端时,发现多用电表的指针偏转量非常小,说明此时电阻很大;于是该同学多用电表的黑表笔接触二极管a?端、红表笔接触二极管b?端时,多用电表指针指到乙图所示位置.由于可以判断这支二极管的______端为正极,并测得该二极管的正向导通时的电阻为______Ω.



2、选择题  如图,电子在电势差为U1的加速电场中由静止开始运动,然后射入电势差为U2的两块平行极板间的电场中,入射方向跟极板平行.整个装置处在真空中,电子的重力不计.在满足电子能射出平行板区的条件下,下述四种情况中,一定能使电子的偏转位移h变大的是(  )
A.U1变大
B.U1变小
C.U2变大
D.U2变小





3、简答题  有一根细长而均匀的金属材料样品,截面为外方(正方形)内圆,如图1所示.此金属材料质量约为0.1~0.2kg,长约30cm,电阻约为10Ω.已知这种金属的电阻率为ρ.因管线内径太小,无法直接测量,请根据图2器材,设计一个实验方案测量其内径d.

A.毫米刻度尺  B.螺旋测微器C.电流表(600mA,10Ω)
D.电流表(3A,0.1Ω)E.电压表(3V,6kΩ)F.滑动变阻器(2kΩ,0.5A)G.滑动变阻器(10Ω,2A)H.直流稳压电源(6V,0.05Ω)I.开关一个,带夹子的导线若干
(1)除待测金属材料、A、B、E、H、I外,应选用的实验器材还有______.(只填代号字母)
(2)请在图3方框内画出你设计方案的实验电路图
(3)用已知的物理常量(设长度为L,截面外边长为a)和所测得的物理量,推导出计算 金属管线内径d的表达式______.



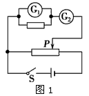
4、实验题  实际电流表有内阻,可等效为理想电流表与电阻的串联。测量实际电流表G1内阻r1的电路如图1所示。供选择的仪器如下:
①待测电流表G1(0~5 mA,内阻约300 Ω);
②电流表G2(0~10 mA,内阻约100 Ω);
③定值电阻R1(300 Ω);
④定值电阻R2(10 Ω);
⑤滑动变阻器R3(0~1 000 Ω);
⑥滑动变阻器R4(0~20 Ω);
⑦干电池(1.5 V);
⑧开关S及导线若干。
(1)定值电阻应选________,滑动变阻器应选________。(在空格内填写序号)
(2)用连线连接实物图。

?


(3)补全实验步骤:
①按电路图连接电路,________;
②闭合开关S,移动滑动触头至某一位置,记录G1、G2的读数I1、I2;
③________________________________________________________________________;?
④以I2为纵坐标,I1为横坐标,作出相应图线,如图2所示。


(4)根据I2-I1图线的斜率k及定值电阻,写出待测电流表内阻的表达式________。



5、简答题  图中给出器材为:
电源E(电压为12V),木板N(板上从下往上依次叠放白纸、复写纸、导电纸各一张),两个金属条A、B(平行放置在导电纸上,与导电纸接触良好,用作电极),滑线变阻器R(其总阻值小于两平行电极间导电纸的电阻),直流电压表V(量程为6V,内阻很大,其负接线柱与B极相连,正接线柱与探针P相连),开关K.
现要用图中仪器描绘两平行金属条AB间电场中的等势线.AB间的电压要求取为6V.
(Ⅰ)在图中连线,画成实验电路原理图.
(Ⅱ)下面是主要的实验操作步骤,将所缺的内容填写在横线上方.
a.接好实验电路.
b.______.
c.合上K,并将探针P与A相接触.
d.______.
e.用探针压印的方法把A、B的位置标记在白纸上.画一线段连接AB两极,在连线上选取间距大致相等的5个点作为基准点,用探针把它们的位置印在白纸上.
f.将探针与某一基准点相接触,记下电压表读数,在导电纸上移动探针,找出电压表读数与所记下的数值相同的另一点,这一点是此基准点的等势点.用探针把这一点的位置也压印在白纸上.用相同的方法找出此基准点的其它等势点.
g.______,找出其它4个基准点的等势点.取出白纸画出各条等势线.



】【打印繁体】 【关闭】 【返回顶部
下一篇高考物理答题技巧《动量守恒定律..

问题咨询请搜索关注"91考试网"微信公众号后留言咨询