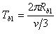
1、计算题 如图,在区域I(0≤x≤d)和区域II(d≤x≤2d)内分别存在匀强磁场,磁感应强度大小分别为B和2B,方向相反,且都垂直于Oxy平面。一质量为m、带电荷量q(q>0)的粒子a于某时刻从y轴上的P点射入区域I,其速度方向沿x轴正向。已知a在离开区域I时,速度方向与x轴正方向的夹角为30°;此时,另一质量和电荷量均与a相同的粒子b也从p点沿x轴正向射入区域I,其速度大小是a的1/3。不计重力和两粒子之间的相互作用力。求
(1)粒子a射入区域I时速度的大小;
(2)当a离开区域II时,a、b两粒子的y坐标之差。

参考答案:解:(1)设粒子a在I内做匀速圆周运动的圆心为C(在y轴上),半径为Ra1,粒子速率为va,运动轨迹与两磁场区域边界的交点为P",如图

由洛仑兹力公式和牛顿第二定律得
①
由几何关系得
②,
③,式中
由①②③式得
④
(2)设粒子a在II内做圆周运动的圆心为Oa,半径为Ra1,射出点为Pa(图中未画出轨迹),
。由洛仑兹力公式和牛顿第二定律得
⑤
由①⑤式得
⑥
C、P"和Oa三点共线,且由⑥式知Oa点必位于
⑦的平面上。由对称性知,Pa点与P"点纵坐标相同,即
⑧ 式中,h是C点的y坐标
设b在I中运动的轨道半径为Rb1,由洛仑兹力公式和牛顿第二定律得
⑨
设a到达Pa点时,b位于Pb点,转过的角度为α。如果b没有飞出I,则
⑩,
,式中,t是a在区域II中运动的时间,而

,

由⑤⑨⑩
式得

由①③⑨
式可见,b没有飞出。Pb点的y坐标为

由①③⑧⑨
式及题给条件得,a、b两粒子的y坐标之差为
本题解析:
本题难度:困难
2、计算题 如图甲所示,
、
为水平放置的间距
的两块足够大的平行金属板,两板间有场强为
、方向由
指向
的匀强电场.一喷枪从
、
板的中央点
向水平线各个方向均匀地喷出初速度大小均为
的带电微粒.已知微粒的质量均为
、电荷量均为
,不计微粒间的相互作用、对板间电场和磁场的影响及空气阻力,取
.求:

(1)微粒落在金属板上所围成的图形面积.
(2)要使微粒不落在金属板上,通过计算说明如何调节两板间的场强.
(3)在满足(2)的情况下,在两板间加垂直于纸面向里的匀强磁场,磁感应强度
,调节喷枪使微粒可以向纸面内沿各个方向喷出(如图乙),求
板被微粒打中的区域长度和微粒在磁场中运动的最短时间.
参考答案:(1)5.7m2(2)电场应该调节为方向向下,大小为
(3)0.1s
本题解析:(1)微粒在匀强电场做类平抛运动,油漆微粒的加速度:
①
根据运动学:
② 运动的半径:
③
落在B板上所形成圆形面积:
④
由①②③④式并代入数据得
⑤
(2)要使微粒不落在金属板上,电场应反向,且有:
⑥
⑦
故电场应该调节为方向向下,大小为
(3)微粒做匀速圆周运动,洛伦兹力充当向心力:
⑧
⑨
竖直向下射出的微粒打在
板的左端恰好与
板相切,如图甲所示:
⑩
当粒子源和
板右边击中点距离为直径时距离最远:如图乙所示:
故
板被微粒打中的区域的长度都为
当粒子运动的圆弧轨迹最短时粒子运动的时间最短,故根据题意可知,当粒子恰好击中粒子源正下方的B板处时间最短, 如图丙所示:
微粒的运动周期: 
根据距离和半径的关系可以知道对应的圆心角为60°,所以:


考点:带电粒子在匀强电场中的运动;带电粒子在匀强磁场中的运动;
本题难度:困难
3、计算题 如图,ABCD是边长为a的正方形。质量为m、电荷量为e的电子以大小为v0的初速度沿纸面垂直于BC变射入正方形区域。在正方形内适当区域中有匀强磁场。电子从BC边上的任意点入射,都只能从A点射出磁场。不计重力,求:
(1)次匀强磁场区域中磁感应强度的方向和大小;
(2)此匀强磁场区域的最小面积。

参考答案:解:(1)设匀强磁场的磁感应强度的大小为B。令圆弧
是自C点垂直于BC入射的电子在磁场中的运行轨道。电子所受到的磁场的作用力
①
应指向圆弧的圆心,因而磁场的方向应垂直于纸面向外。圆弧
的圆心在CB边或其延长线上。依题意,圆心在A、C连线的中垂线上,故B 点即为圆心,圆半径为a按照牛顿定律有
?②
联立①②式得
③
(2)由(1)中决定的磁感应强度的方向和大小,可知自C点垂直于BC入射电子在A点沿DA方向射出,且自BC边上其它点垂直于入射的电子的运动轨道只能在BAEC区域中。因而,圆弧
是所求的最小磁场区域的一个边界。
为了决定该磁场区域的另一边界,我们来考察射中A点的电子的速度方向与BA的延长线交角为θ(不妨设
)的情形。该电子的运动轨迹qpA如图所示

图中,圆
的圆心为O,pq垂直于BC边,由③式知,圆弧
的半径仍为a,在D为原点、DC为x轴,AD为y轴的坐标系中,P点的坐标
为

这意味着,在
范围内,p点形成以D为圆心、a为半径的四分之一圆周
,它是电子做直线运动和圆周运动的分界线,构成所求磁场区域的另一边界
因此,所求的最小匀强磁场区域时分别以B和D为圆心、a为半径的两个四分之一圆周
和
所围成的,其面积为
本题解析:
本题难度:困难
4、选择题 如图所示,MN是一荧光屏,当带电粒子打到荧光屏上时,荧光屏能够发光。MN的上方有磁感应强度为B的匀强磁场,磁场方向垂直纸面向里。P为屏上的一小孔,PQ与MN垂直。一群质量为m、带电荷量q的粒子(不计重力),以相同的速率v,从P处沿垂直于磁场方向射入 磁场区域,且分布在与PQ夹角为θ的范围内,不计粒子间的相互作用。则以下说法正确的是

[? ]
A.在荧光屏上将出现一个圆形亮斑,其半径为
B.在荧光屏上将出现一个条形亮线,其长度为
C.在荧光屏上将出现一个半圆形亮斑,其半径为
D.在荧光屏上将出现一个条形亮线,其长度为
参考答案:B
本题解析:
本题难度:一般
5、计算题 (13分)如图所示,圆形区域存在磁感应强度大小为B,方向垂直纸面向里的匀强磁场,一电荷量为q,质量为m的粒子沿平行于直径AC的方向射入磁场,射入点到直径AC的距离为磁场区域半径的一半,粒子从D点射出磁场时的速率为
,不计粒子的重力.求

(1)粒子在磁场中加速度的大小;
(2)粒子在磁场中运动的时间;
(3)圆形区域中匀强磁场的半径.
参考答案:(1)
(2)
(3)
本题解析:(1)粒子在磁场中只受洛伦兹力作用,则
? ………………………………………………2分
? ………………………………………………2分
(2)如图所示,由几何关系可得粒子在磁场中偏转60°,则
在磁场中运动的时间为
? ………………………………………………2分
? ………………………………………………2分
(3)由几何关系可得四边形ODO′E是菱形,则圆形区域中匀强磁场的半径R与粒子运动的轨迹半径r相等.有:

?……………………………1分
? ……………………………2分
?…………………………………2分
本题难度:一般