1、选择题 下列实验中,深入地揭示了光的粒子性一面的有 .

参考答案:AB
本题解析:A、该实验是X射线被石墨散射后部分波长变大,是康普顿效应,说明光具有粒子性,故A正确.
B、该实验是光电效应实验,光电效应说明光具有粒子性,故B正确.
C、该实验是α粒子散射实验,说明原子的核式结构模型,故C错误.
D、该实验是氢原子发射的光经三棱镜分光后,呈现线状谱,与光的粒子性无关,故D错误.
考点:爱因斯坦光电效应方程;光的波粒二象性.
本题难度:一般
2、选择题 下列可以被电场加速的是( )
A.光子
B.光电子
C.X射线
D.无线电波
参考答案:B
本题解析:
本题难度:一般
3、计算题 已知:功率为100W灯泡消耗的电能的5%转化为所发出的可见光的能量,光速
,普朗克常量
,假定所发出的可见光的波长都是560nm,计算灯泡每秒内发出的光子数。
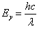
参考答案:解:一波长为λ光子能量为
设灯泡每秒内发出的光子数为n,灯泡电功率为P,则
式中,
是灯泡的发光效率
联立①②式得
代入题给数据得
本题解析:
本题难度:一般
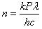
4、选择题 激光器输出功率为P瓦,它每秒发出的光子数为( )
A.
B.
C.
D.
参考答案:B
本题解析:
本题难度:一般
5、选择题 康普顿效应说明( )
A.光子只具有能量
B.光子只具有动量
C.光子既具有能量,又具有动量
D.康普顿效应中的X射线发生改变是由于X射线和被照射物质中的原子核发生碰撞的结果
参考答案:CD
本题解析:
本题难度:简单