1、选择题 关于安培力和洛伦兹力,下面的说法正确的是
[? ]
A.安培力和洛伦兹力是性质不同的两种力
B.安培力和洛伦兹力其本质都是磁场对运动电荷的作用力
C.这两种力都是效果力,其实并不存在,原因是不遵循牛顿第三定律
D.安培力对通电导体能做功,洛伦兹力对电荷不能做功
2、计算题 如图所示,水平放置的平行金属板A和B的间距为d,极板长为2d;金属板右侧用三块挡板MN、NP、PM围成一个等腰直角三角形区域,顶角NMP为直角,MN挡板上的中点处有一个小孔K恰好位于B板的右端,已知水平挡板NP的长度为
=2
a。由质量为m、带电量为+q的同种粒子组成的粒子束,以速度v0从金属板A、B左端沿紧贴板A但不接触板A处射入,不计粒子所受的重力,若在A、B板间加一恒定电压,使粒子穿过金属板后恰好打到小孔K。求:

⑴.所施加的恒定电压的大小;
⑵.现允许在挡板围成的三角形区域内,加一垂直纸面的匀强磁场,要使从小孔K飞入的粒子经过磁场偏转后
能直接(不与其他挡板碰撞)打到挡板MP上,求所加磁场的方向和磁感应强度的范围。
⑶.在第⑵问的前提下,以M为原点,沿MP方向建立x轴,求打到挡板MP上不同位置(用坐标x表示)的粒子在磁场中的运动时间
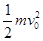
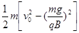
3、选择题 在一绝缘、粗糙且足够长的水平管道中有一带电量为q、质量为m的带电球体,管道半径略大于球体半径,整个管道处于磁感应强度为B的水平匀强磁场中,磁感应强度方向与管道垂直,现给带电体一个水平速度v0,则在整个运动过程中,带电球体克服摩擦力所做的功可能为 (? )

A.0
B.
C.
D.
4、选择题 下列说法正确的是
A.电荷在电场中某处不受电场力,则该处的电场强度一定为零
B.电荷在电场中某处不受电场力,则该处的电势一定为零
C.运动电荷在磁感应强度不为零的地方,一定受到洛伦兹力的作用
D.通电直导线在磁场中某处不受安培力,则该处的磁感应强度一定为零
5、计算题 .(10分)如图所示,MN是匀强磁场的左边界(右边范围很大),磁场方向垂直纸面向里,在磁场中有一粒子源P,它可以不断地沿垂直于磁场方向发射出速度为v、电荷为+q、质量为m的粒子(不计粒子重力).已知匀强磁场的磁感应强度为B,P到MN的垂直距离恰好等于粒子在磁场中运动的轨道半径.求在边界MN上可以有粒子射出的范围.