1、选择题 如图所示,一质量均匀的木棒,靠在固定光滑圆球上处于静止状态。木棒和地面间的动摩擦因数为μ,则木棒受到的作用力为

[? ]
A.重力、地面和球给它的支持力
B.重力和地面给它的摩擦力
C.重力、地面给它的摩擦力和球对它的支持力
D.重力、地面给它的支持力、球给它的支持力以及地面给它的摩擦力
参考答案:D
本题解析:
本题难度:简单
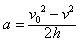
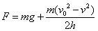
2、计算题 飞船降落过程中,在离地面高度为h处速度为v0,此时开动反冲火箭,使飞船开始做减速运动,最后落地时的速度减为v,若把这一过程当作为匀减速运动来计算,则其加速度大小为多少? 已知地球表面处的重力加速度为g,航天员的质量为m,在这过程中,航天员对坐椅的压力为多大?
参考答案:解:设飞船加速度大小为a,由运动学公式有v2-v02=2(-a)h,则
以航天员为研究对象,航天员受到坐椅的支持力等于航天员对坐椅的压力,由牛顿第二定律得,F-mg=ma,则
本题解析:
本题难度:一般
3、选择题 甲运动的速度是3m/s,乙运动的速度是2m/s,丙运动的速度是-5m/s,则
A.甲比丙运动快
B.乙比丙运动快
C.甲运动最快
D.乙运动最慢
参考答案:D
本题解析:分析:速度是表示运动快慢的物理量,对于同一条直线上的运动,可以规定其中的一个方向为正方向,则另一个方向为负方向.
解答:速度是表示运动快慢的物理量,对于同一条直线上的运动,可以规定其中的一个方向为正方向,则另一个方向为负方向,故速度大小看速度的绝对值;
故v丙>v甲>v乙
故选D.
点评:本题关键明确同一条直线上的矢量运算,矢量的绝对值表示大小,正负表示方向,基础题.
本题难度:简单
4、选择题 下列关于速度和速率的说法正确的是?(? )
①速率是速度的大小
②平均速率是平均速度的大小
③对运动物体,某段时间的平均速度不可能为零
④对运动物体,某段时间的平均速率不可能为零
A.①②
B.②③
C.①④
D.③④
参考答案:C
本题解析:速率指的是速度的大小,平均速度指的是位移与时间的比值,平均速率指的是路程与时间的比值,对运动的物体路程不可能等于零,所以平均速率不可能为零,但位移有可能为零,所以平均速度有可能为零,C对;
本题难度:简单
5、计算题 如图所示,光滑水平面上静止放着长L=1.6m,质量为M=3kg的木板,一个质量为m=1kg的小物块放在木板的最右端,m与M之间的动摩擦因数为μ="0.1" ,现对木板施加一个水平向右的拉力F。(小物块可看作质点,g=10m/s2)

(1)施加F后,要想把木板从物体m的下方抽出来,求力F的大小应满足的条件;
(2)如果所施力F="10" N,为了把木板从物体的下方抽出来,此力F的作用时间不得小于多少?
参考答案:(1)F>(M+m) am=4N(2)t=0.8s
本题解析:力F作用在木板上时,m的加速度为am,M的加速度为aM,F至少作用时间为t
(1)am=μg=1m/s2?
F>(M+m) am=4N
(2)am=μg=1m/s2
aM=(F-μmg)/M=3m/s2
作用t时间后撤去力F时两者速度分别为Vm,VM,位移分别为Sm,SM
Vm=t? VM=3t
Sm=Vm t/2? SM=VM t/2
ΔS1=SM-Sm=t2
设撤去力F后最后的共同速度为V ,相对滑动位移为ΔS2
t=0.8s
点评:本题中涉及临界问题:当两接触物体刚要相对滑动时,静摩擦力达到最大.第(2)问关键抓住两物体的位移关系.
本题难度:一般