| 高考省级导航 | |
|
|
|
高考物理知识大全《质谱仪》考点特训(2020年冲刺版)(八)
![]() 参考答案:AB 本题解析: 本题难度:简单 2、计算题 1932年美国物理学家劳伦斯发明了回旋加速器,巧妙地利用带电粒子在磁场中的运动特点,解决了粒子的加速问题。现在回旋加速器被广泛应用于科学研究和医学设备中。某型号的回旋加速器的工作原理如图甲所示,图为俯视图乙。回旋加速器的核心部分为D形盒,D形盒装在真空容器中,整个装置放在巨大的电磁铁两极之间的强大磁场中,磁场可以认为是匀强在场,且与D形盒盒面垂直。两盒间狭缝很小,带电粒子穿过的时间可以忽略不计。D形盒半径为R,磁场的磁感应强度为B。设质子从粒子源A处时入加速电场的初速度不计。质子质量为m、电荷量为+q。加速器接一定涉率高频交流电源,其电压为U。加速过程中不考虑相对论效应和重力作用。
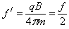
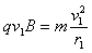
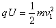
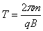
参考答案:解:(1)设质子第1次经过狭缝被加速后的速度为v1 本题解析: 本题难度:困难 3、选择题 1930年劳伦斯制成了世界上第一台回旋加速器,其原理如图所示,这台加速器由两个铜质D形盒D1、D2构成,其间留有空隙,下列说法正确的是(?) 参考答案:AD 本题解析:要加速次数最多最终能量最大,则被加速离子只能由加速器的中心附近进入加速器,而从边缘离开加速器,故A正确而B错误. 本题难度:简单 4、简答题 如图,一电荷量为q的粒子从容器A下方小孔S1飘入电势差为U的加速电场.然后让粒子垂直进入磁感应强度为B的匀强磁场中做匀速圆周运动,最后打到照相底片D上.试求: 参考答案:(1)根据动能定理得,qU=12mv2 本题解析: 本题难度:一般 5、选择题 如图所示为质谱仪的工作原理示意图,带电粒子被加速电场加速后,进入速度选择器.速度选择器内相互正交的匀强磁场和匀强电场的强度分别为B和E.平板S上有可让粒子通过的狭缝P和记录粒子位置的胶片.下列表述正确的是( ? ) |

参考答案:BC
本题解析:
本题难度:简单
| 【大 中 小】【打印】 【繁体】 【关闭】 【返回顶部】 | |
| 下一篇:高考物理答题技巧《未知》在线测.. | |