微信搜索关注"91考试网"公众号,领30元,获取公务员、事业编、教师等考试资料40G!
1、选择题 一列简谐横波沿x轴负方向传播,波速为1.2 m/s,频率为
Hz,振幅为4 cm。a、b是波的传播路径上平衡位置相距2.7 m的两质点。在t1=0时刻质点a、b均已经历了多次全振动且质点a此时的位移为y=-3 cm,此波持续传播到t2=0.75 s时刻,则以下说法正确的是

[? ]
A.该波的波长是3.6 m
B.在t1时刻质点b一定沿y轴正方向运动
C.在t1时刻质点b的位移一定为正值,大小是3 cm
D.在t2时刻质点b的位移一定为正值,大小是3 cm
2、选择题 关于波动,下列说法错误的是
[? ]
A.只有横波才会发生偏振现象
B.用白光做单缝衍射与双缝干涉实验,均可看到彩
色条纹
C.声波传播过程中,介质中质点的运动速度等于声波的传播速度
D.已知地震波的纵波波速大于横波波速,此性质可用于横波的预警
3、选择题 区分横波和纵波是根据
A.沿水平方向传播的叫做横波
B.质点振动的方向和波传播的远近
C.质点振动的方向和波传播的方向
D.质点振动的快慢
4、选择题 a、b是一条水平绳上相距为l的两点,一列简谐横波沿绳传播,其波长等于
l,当a点经过平衡位置向上运动时,b点
[? ]
A.经过平衡位置向上运动
B.处于平衡位置上方位移最大处
C.经过平衡位置向下运动
D.处于平衡位置下方位移最大处
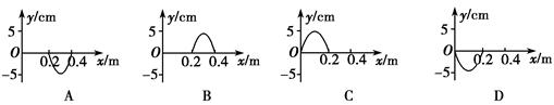
5、选择题 (2011年北京东城检测)某质点在坐标原点O处做简谐运动,其振幅为5 cm,振动周期为0.4 s,振动在介质中沿x轴正向传播,传播速度为1.0 m/s.若质点在平衡位置O向上振动0.2 s后立即停止振动,则停止振动后又经过0.2 s的时刻的波形可能是图11-2-16中的( )

图11-2-16