微信搜索关注"91考试网"公众号,领30元,获取公务员、事业编、教师等考试资料40G!
1、填空题 一个1.0×10-5C的电荷从电场中某点B移到电场里另一点A,外力克服电场力作功6.0×10-3J,则A、B两点的电势差U=______V;如果此电荷从B移到电场里的另一点C时,电场力作功0.02J,如果另一个电量是0.2C的负电荷从A移到C,则电场力作功______J.
参考答案:A、B两点的电势差UAB=WABq=--6×10-31×10-5V=600V,B、C两点的电势差UBC=WBCq=0.021×10-5V=2000V,则A、C间电势差UAC=UAB+UBC=2600V,电量是0.2C的负电荷从A移到C,电场力作功为WAC=qUAC=-0.2×2600J=-520J
故答案为:600,-520
本题解析:
本题难度:一般
2、选择题 在如图所示的点电荷电场中,一试探电荷从A点分别移动到B、C、D、E各点,B、C、D、E在以Q为圆心的圆周上,则等势面及电场力做功说法正确的是( & 91ExaM.org#160;)

A.B、C、D、E不在一个等势面上 B.B、C、D、E在一个等势面上
C.从A到E做功最大 D.做功一样大
参考答案:BD
本题解析:点电荷形成的电场中,距离点电荷距离相等的点的电势相等,即点电荷电场中的一个个球面是等势面,所以BCDE四点的电势相等,在同一个等势面上,根据
可得,将试探电荷从A点移动到BCDE四点,电场力做功是相等的,BD正确,
考点:考查了点电荷电场等势面的理解
点评:做此类型题目的时候关键是理解点电荷电场等势面的特点,
本题难度:一般
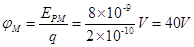
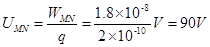
3、填空题 若将一个电量为2.0×10-10C的正电荷,从零电势点移到电场中M点要克服电场力做功8.0×10-9J,则M点的电势是 V;若再将该电荷从M点移到电场中的N点,电场力做功1.8×10-8J,则M、N两点间的电势差UMN = V。
参考答案:40 V ; 90 V
本题解析:由电场力做功与电势能的关系得到
,
,得到
,
;由
得到
.
考点:本题考查电场力做功与电势能的关系,电场力做功的公式
点评:本题学生要熟练掌握电场力做功与电势能的关系式,电场力做功的公式,能用公式进行相关的计算。
本题难度:一般
4、填空题 如图所示:A,B,C,D是匀强电场中一正方形的四个顶点。已知A,B,C三点的电势分别为φA=15V,φB=3V,φC=-3V,则D点的电势为 V。

参考答案:9V
本题解析:连接AC,将AC三等分,标上三等分点E、F,则根据匀强电场中沿电场线方向相等距离,电势差相等可知,E点的电势为3V,F点的电势为9V.连接BE,则BE为一条等势线,根据几何知识可知,
,则DF也是一条等势线,所以D点电势
.

考点:考查了电势,等势面
本题难度:一般
5、选择题 如图所示的虚线为某电场的等势面,今有两个带电粒子(不计重力和它们的相互作用力),以不同的速率、沿不同的方向,从A点飞入电场后,分别沿径迹1和2运动,B、C两点在同一等势面上,由轨迹可以断定( )
A.两粒子带电量的绝对值一定不同
B.两粒子的电性一定不同
C.两粒子的动能都是先减少后增大
D.两粒子的分别经过B、C两点时的速率可能相等