微信搜索关注"91考试网"公众号,领30元,获取公务员、事业编、教师等考试资料40G!
1、填空题 原子核发生变化时会释放或______能量,这就是核能.重核裂变时放出的______引起其他重核的裂变,可以使裂变不断进行下去,这就是______反应.
参考答案:原子核发生变化时会释放或吸收能量,该能量就是核能.重核裂变时用中子轰击重核,产生多个中子,中子又会撞击重核,产生更多的中子,使裂变不断进行下去,这就是链式反应.
故答案为:吸收,中子,链式.
本题解析:
本题难度:一般
2、选择题 下列说法不正确的是?
[? ]
A.
是聚变?
B.
是裂变
C.
是α衰变?
D.
是裂变
参考答案:D
本题解析:
本题难度:简单
3、计算题 一个质子和两个中子聚变为一个氚核,已知质子质量mH=1.007 3 u,中子质量mn=1.008 7 u,氚核质量m=3.018 0 u。
(1)写出聚变方程;
(2)释放出的核能多大?
(3)平均每个核子释放的能量是多大?
参考答案:解:(1)聚变方程
(2)质量亏损△m=mH+2mn-m=(1.007 3+2×1.008 7-3.018 0)u=0.006 7 u
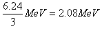
释放的核能△E=△mc2=0.006 7×931.5 MeV≈6.24 MeV
(3)平均每个核子放出的能量为
本题解析:
本题难度:一般
4、选择题 了解决人类能源之需,实现用核能代替煤、石油等不可再生能源,很多国家都在研制全超导核聚变“人造太阳”,它是从海水中提取原料,在上亿度的高温下发生的可控核聚变反应,科学家依据的核反应方程是
[? ]
A.
B.
C.
D.
参考答案:A
本题解析:
本题难度:简单
5、计算题 曾落在日本广岛上爆炸的原子弹,相当于2万吨TNT炸药放出的能量,原子弹放出的能量约8.4×1013 J,试问有多少个
原子核进行分裂?该原子弹中含铀
的质量最小限度为多少千克?(一个铀
原子核分裂时产生的能量约为200 MeV)
参考答案:解:一个原子核分裂时所产生的能量约为200 MeV=200×106 eV=2.0×108×1.6×10-19 J=3.2×10-11 J
设共有n个
核发生裂变,则
(个)
铀的质量
本题解析:
本题难度:一般