微信搜索关注"91考试网"公众号,领30元,获取公务员、事业编、教师等考试资料40G!
1、填空题 如图是等离子体发电机示意图,平行金属板间的匀强磁场的磁感应强度B=0.5T,两板间距离为20cm,要使输出电压为220V,则等离子体垂直射入磁场的速度v=?m/s。a是电源的?极。
参考答案:2200?正
本题解析:根据左手定则,正电荷向上偏,负电荷向下偏,所以上板带正电,即a是电源的正极.两板上有电荷,在两极板间会产生电场,电荷最终在电场力和洛伦兹力的作用下处于平衡.有
?所以:
点评:解决本题的关键掌握等离子体进入磁场受到洛伦兹力发生偏转,根据左手定则,正电荷向上偏,负电荷向下偏,在两极板间会产生电场,电荷最终在电场力和洛伦兹力的作用下处于平衡.
本题难度:一般
2、计算题 如图所示,两块水平放置、相距为
的长金属板接在电压可调的电源上。两板之间的右侧长度为
的区域存在方向垂直纸面向里的匀强磁场,磁感应强度为
。喷墨打印机的喷口可在两极板左侧上下自由移动,并且从喷口连续不断喷出质量均为
、速度水平且大小相等、带等量电荷的墨滴。调节电源电压至
,使墨滴在电场的左侧区域恰能沿水平方向向右做匀速直线运动。(重力加速度为
)

(1)判断墨滴所带电荷的种类,并求其电荷量;
(2)要使墨滴不从两板间射出,求墨滴的入射速率应满足的条件。
参考答案:(1)带负电荷?
?(2)
本题解析:(1)墨滴在电场左侧区域做匀速直线运动,有
?①?
得
?②?
由于电场方向向下,电荷所受电场力向上,可知墨滴带负电荷?
(2)墨滴进入电场、磁场共存区域后,重力与电场力平衡,洛伦兹力提供匀速圆周运动的向心力

?③?
从上极板边缘射进的墨滴最容易从两板间射出,只要这个墨滴没有射出,其他墨滴就都不会射出。若墨滴刚好由极板左侧射出,则
?④?
联立②③④解得
?
同理,墨滴刚好从极板右侧射出,有
?⑤?
解得
?
联立②③④解得
?
要使墨滴不会从两极间射出,速率应该满足?
?
点评:本题解题关键是找到临界状态,然后根据几何关系找到半径,用半径公式进行求解。
本题难度:一般
3、计算题 (22分)如图甲所示,静电除尘装置中有一长为L、宽为b、高为d的矩形通道,其前、后面板使用绝缘材料,上、下面板使用金属材料。图乙是装置的截面图,上、下两板与电压恒定的高压直流电源相连。质量为m、电荷量为-q、分布均匀的尘埃以水平速度v0进入矩形通道,当带负电的尘埃碰到下板后其所带电荷被中和,同时被收集。通过调整两板间距d可以改变收集效率η。当d=d0时η为81%(即离下板081d0范围内的尘埃能够被收集)。不计尘埃的重力及尘埃之间的相互作用。

⑴求收集效率为100%时,两板间距的最大值dm;
⑵求收集率η与两板间距d的函数关系;
⑶若单位体积内的尘埃数为n,求稳定工作时单位时间下板收集的尘埃质量ΔM/Δt与两板间距d的函数关系,并绘出图线。
参考答案:(1)
?(2)
(3)


本题解析:(1)收集效率
为81%,即离下板0.81d0的尘埃恰好到达下板的右端边缘,设高压电源的电压为
,在水平方向有
? ①
在竖直方向有
? ②
其中
? ③
当减少两板间距是,能够增大电场强度,提高装置对尘埃的收集效率。收集效率恰好为100%时,两板间距为
。如果进一步减少
,收集效率仍为100%。
因此,在水平方向有
?④
在竖直方向有
? ⑤
其中
? ⑥
联立①②③④⑤⑥可得
? ⑦
(2)通过前面的求解可知,当
时,收集效率
为100%? ⑧
当
时,设距下板
处的尘埃恰好到达下板的右端边缘,此时有
? ⑨
根据题意,收集效率为
?⑩
联立①②③⑨⑩可得
(3)稳定工作时单位时间下板收集的尘埃质量
=
当
时,
,因此
=
当
时,
,因此
=
绘出的图线如下

本题难度:一般
4、计算题 (15分)如图所示,直线OA与x轴成135°角,x轴上下方分别有水平向右的匀强电场E1和竖直向上的匀强电场E2,且电场强度E1=E2=10N/C,x轴下方还存在垂直于纸面向外的匀强磁场B,磁感应强度B=10T。现有一质量m=1.0×10-5kg,电荷量q=1.0×10-5C的带正电尘粒在OA直线上的A点静止释放,A点离原点O的距离d=
m(g取10m/s2,).求:

(1)尘粒刚进入磁场区域时的速度v的大小;
(2)从进入磁场区域开始到离开磁场区域所经历的时间t;
(3)第一次回到OA直线上的某位置离原点O的距离L。
参考答案:(1)2m/s(2)
s(3)0.13m
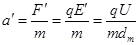
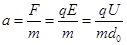
本题解析:(1)F=Eq=1×10-4N?, 1分?
尘粒在电场E中受到的合外力为
?,1分?
合外力F和水平方向间的夹角φ为tanφ=
=1
φ=45°?
尘粒在电场E1中的加速度a大小为a=
g , 2分
v=
=2m/s?,2分?
(2)进入磁场后尘粒在磁场中转动的周期T和转动半径R分别为
T=
=
s,2分
R=
=0.2m? 2分
轨迹如图所示,由图可知,t=
T=
s? 2分
(3)出磁场后尘粒在电场E1中做类平抛运动
OC=
R=
t1=
=
=
=0.1s? 2分
B位置离原点O的距离L大小为
L=OC·sin45-
at1=R-
at1=0.13m? 2 分
点评:电荷在匀强磁场中做匀速圆周运动,关键是画出轨迹,由几何知识求出半径.定圆心角,求时间.
本题难度:一般
5、简答题
⑴磁感应强度B1和穿越时间t;
⑵磁感应强度B2的取值?

? U/v
(甲)? (乙)
参考答案:(1)B1=1.3×10-3T,T=6.5×10-4S?(2)B2=7.5×10-6cot
? (n=1,2,…)
本题解析:(1)当有电场和磁场时,应作匀速运动;
F电=
F洛=qB1V0?∴B1=1.3×10-3T……①? 4分
当只有磁场时,作匀速圆周运动:
R=
=6.4×10-2m=6.4cm<
? ……②? 3分
T=
=1.0×10-4S? ……③? 1分
t=
+3T=3.5×10-4+3.0×10-4=6.5×10-4S ……④? 3分
由U-t图知,粒子能水平穿越两板
故:B1=1.3×10-3T,T=6.5×10-4S? 1分
(2)设碰n次,则半周分为n+1个等分圆弧,有:
Q=
? ……⑤? 2分
tan
?…… ⑥? 2分
Rn=
?……⑦? 2分
联立得:B2=
?……⑧? 2分
代入数据: B2=7.5×10-6cot
? (n="1,2,…)?" 2分
本题难度:一般