微信搜索关注"91考试网"公众号,领30元,获取公务员、事业编、教师等考试资料40G!
1、选择题 如图所示,一质量为m的物体恰能在质量为M的斜劈上匀速下滑,斜劈保持静止。现用一沿斜面向下的外力F推此物体,使物体加速下滑,设此过程中斜劈受到地面的摩擦力为Ff,支持力为FN。则下列说法正确的是

[? ]
A.Ff为零,FN=(m+M)g
B.Ff不为零,FN=(m+M)g
C.Ff不为零,FN>(m+M)g
D.Ff不为零,FN<(m+M)g
参考答案:A
本题解析:
本题难度:一般
2、填空题 .如图所示,文文和新新用相同大小的力提着一桶水在水平路面上行走.他们提桶的手臂间的夹角越?▲?(填“大”或“小”)越省力.

参考答案:小
本题解析:当合力一定时,夹角越大两分力越大,所以他们提桶的手臂间的夹角越小,越省力
故答案为:小
本题难度:简单
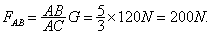
3、计算题 如图所示,在三角形支架B点用一根细绳挂一个重为120 N的重物G,已知θ= 37°,求横梁BC和斜梁AB所受的力(A、C处 为光滑铰链连接).

参考答案:解:竖直绳上的拉力等于G,把该拉力按力的作用效果分解为拉AB的力FAB和压BC的力FBC.如图所示,由三角形相似得:
,则
,


本题解析:
本题难度:一般
4、填空题 如图所示,斜面的倾角为θ,圆柱体质量为m.若把重力沿垂直于墙面和垂直于斜面两个方向分解,则重力垂直于斜面的分力大小为______;垂直于墙面的分力大小为______.已知重力加速度为g.
参考答案:

物体与斜面和挡板接触,物体对斜面有垂直斜面向下的压力,对于挡板物体有垂直于挡板即水平的压力,所以按照重力产生的作用效果重力可分解为垂直于斜面的分力和水平方向的分力,以重力为对角线作出平行四边形可知,
根据,几何关系可知,垂直与墙面的分力大小是N1=mgtanθ,垂直于斜面的分力大小是N2=?mgcosθ.
故答案为:?mgcosθ;mgtanθ.
本题解析:
本题难度:一般
5、选择题 不定项选择
为了行车方便与安全,高大的桥要造很长的引桥,其主要目的是( ? )
A.增大过桥车辆受到摩擦力
B.减小过桥车辆的重力
C.增大过桥车辆的重力平行于引桥面向上的分力
D.减小过桥车辆的重力平行于引桥面向下的分力
参考答案:D
本题解析:
本题难度:简单