微信搜索关注"91考试网"公众号,领30元,获取公务员、事业编、教师等考试资料40G!
1、计算题 如图甲所示,两块相同的平行金属板M、N正对着放置,相距为
,板M、N上的小孔s1、s2与O三点共线,s2O=R,连线s1O垂直于板M、N。以O为圆心、R为半径的圆形区域内存在磁感应强度大小为B、方向垂直纸面向里的匀强磁场。收集屏PQ上各点到O点的距离都为2R,两端点P、Q关于连线s1O对称,屏PQ所对的圆心角θ=120°。质量为m、电荷量为e的质子连续不断地经s1进入M、N间的电场,接着通过s2进入磁场。质子重力及质子间的相互作用均不计,质子在s1处的速度看作零。
(1)若M、N间的电压UMN=+U时,求质子进入磁场时速度的大小。
(2)若M、N间接入如图乙所示的随时间t变化的电压
(式中
,周期T已知),且在质子通过板间电场区域的极短时间内板间电场视为恒定,则质子在哪些时刻自s1处进入板间,穿出磁场后均能打到收集屏PQ上?
(3)在上述(2)问的情形下,当M、N间的电压不同时,质子从s1处到打在收集屏PQ上经历的时间t会不同,求t的最大值。

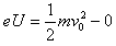
参考答案:解:(1)根据动能定理,有
?
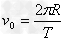
(2)质子在板间运动,根据动能定理,有
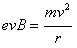
质子在磁场中运动,根据牛顿第二定律,有
若质子能打在收集屏上,轨道半径r与半径R应满足的关系:
解得板间电压
结合图象可知:质子在
…
(
,1,2,…)之间任一时刻从s1处进入电场,均能打到收集屏上
(3)M、N间的电压越小,质子穿出电场进入磁场时的速度越小,质子在极板间经历的时间越长,同时在磁场中运动轨迹的半径越小,在磁场中运动的时间也会越长,出磁场后打到收集屏前作匀速运动的时间也越长,所以当质子打在收集屏的P端时,对应时间t最长,两板间的电压此时为
在板间电场中运动时间
在磁场中运动时间
出磁场后打到收集屏前作匀速运动的时间
所以,运动总时间


或t
本题解析:
本题难度:困难
2、选择题 如图一混合正离子束先后通过正交电场磁场区域Ⅰ和匀强磁场区域Ⅱ,如果这束正离子束流在区域Ⅰ中不偏转,进入区域Ⅱ后偏转半径又相同,则说明这些正离子具有相同的

[? ]
A、速度
B、质量
C、电荷
D、荷质比
参考答案:AD
本题解析:
本题难度:一般
3、计算题 在光滑绝缘的xOy平面内,有甲、乙、丙三个区域,在x<0的甲区域内存在着方向沿x轴正方向的匀强电场,该电场区电场强度
,在0≤x<a的区域内有磁感应强度为B=0.5 T,方向垂直于xOy平面向里的匀强磁场,在x≥a、y>0的区域内有匀强电场,电场强度的大小是甲区域的π倍。现有一带正电的小球自平面上坐标原点O以沿-x轴方向的初速度v0射向甲电场区,
,已知在甲区域和乙区域内粒子运动的时间是相等的,粒子进入丙区域时的电场力与其速度垂直,且后来粒子通过了x轴,又已知粒子的带电荷量q=0.1 C,粒子的质量m=10-2 kg,试求:
(1)a的数值;
(2)粒子在丙区域内运动的时间。

参考答案:解:(1)粒子进入甲区域做类竖直上抛运动
?①
则粒子在甲区域运动的时间
?②
粒子在乙区域做匀速圆周运动,设其运动半径为R,运动周期为T,则
?③
又
?④
则由③④得
,?
?⑤
设粒子在通过乙区域时速度的偏转角为θ,因粒子在乙区域运动的时间和甲区域相等,故
?⑥
由②⑤⑥得
?⑦
在粒子进入丙区域的C点处作y轴的垂线交y轴于D,过C作该点速度的垂线交y轴于O",则△DO"C中有a=Rsinθ ⑧
解得a=3π=9.42 m

(2)粒子进入丙区域后做类平抛运动,由题知其场强方向应沿O"C斜向下,将O"C反向延长交x轴于H,过粒子在丙区域的轨迹与x轴的交点F作O"C反向延长线的垂线得垂足为G,设粒子在丙区域运动的时间为t2
故
?⑨
GF=v0t2 ⑩
又在△HGF中有

而
?
解⑨⑩
有
本题解析:
本题难度:困难
4、选择题 有一个带电荷量为+q、重为G的小球,从两竖直的带电平行板上方h处自由落下,两极板间另有匀强磁场,磁感应强度为B,方向如图所示,则带电小球通过有电场和磁场的空间时,下列说法错误的是

[? ]
A.一定作曲线运动
B.不可能做曲线运动
C.有可能做匀加速运动
D.有可能做匀速运动
参考答案:BCD
本题解析:
本题难度:一般
5、计算题 如图所示,在xoy平面内的第三象限中有沿-y方向的匀强电场,场强大小为E.在第一和第二象限有匀强磁场,磁感应强度为B,方向垂直于直角坐标平面向里。今有一个质量为m、电荷量为e的电子,从y轴的P点以初速度v0垂直于电场方向进入电场(不计电子所受重力)。经电场偏转后,沿着与x轴负方向成45°进入磁场,并能返回到原出发点P。
(1)简要说明电子的运动情况,并画出电子运动轨迹的示意图;?
(2)求P点距坐标原点的距离;
(3)电子从P点出发经多长时间再次返回P点?
参考答案:(1)电子运动轨迹示意图如图所示。进入电场从P到A做匀变速曲线运动(类平抛运动);进入磁场从A到C再到D,做匀速圆周运动;
离开磁场从D回到P做匀速直线运动。?(5分)
(说明3分,画图2分,轨迹圆心O1在y轴上,则
作图分为零分。)
(2)电子通过A点时速度大小为?
v=
?=
v0?(2分)
电子由P运动到A,由动能定理? Eeh=
?
解得h=
?(3分)
(3)设电子从P运动到A用时间为t1?t1=
=
?(2分)
电子在匀强磁场中作圆运动从A运动到D,洛仑兹力提供向心力? Bev=
,
电子在匀强磁场中运动周期为T=
依题意和电子运动轨迹示意图可知,电子在磁场中运动的时间为t2=
(2分)
电子从D匀速运动到P用时间为t3=
?(2分)
总时间为t=t1+t2+t3=
?(1分)
本题解析:略
本题难度:一般