微信搜索关注"91考试网"公众号,领30元,获取公务员、事业编、教师等考试资料40G!
1、计算题 公共汽车从车站由静止以1 m/s2的加速度匀加速开出,司机发现有乘客未上车,急忙刹车.车匀减速停下,整个过程历时5s,车前进了10m,求
小题1:汽车在此过程中最大速度
小题2:匀加速运动的时间
小题3:匀减速运动的加速度
参考答案:
小题1:4m/s
小题2:4s
小题3:

本题解析:

本题难度:简单
2、简答题 如图所示,是一架飞机的位移-时间图象,从图象中求出:
(1)飞机在30min内的位移
(2)飞行速度
(3)飞机飞行900km所用的时间.
参考答案:(1)由图得,飞机2小时内的位移为600km,故30分钟内的位移S为150km.
(2)由(1)得,v=s1t1=600km2h=300km/h
∴飞机的飞行速度为300km/h
(3)t2=s2v=900300h=3h
∴飞机飞行900km需要3h
本题解析:
本题难度:一般
3、简答题 汽车在平直的公路上以30m/s的速度匀速行驶,开始刹车以后又以5m/s2的加速度做匀减速直线运动,求:
(1)从开始刹车汽车头两秒内,汽车前进了多少米?
(2)从开始刹车计时,8S内汽车前进了多少米?
参考答案:(1)汽车刹车到停止所需的时间t0=0-v0a=-30-5s=6s>2s
?知刹车后2s内汽车还未停止,
所以从开始刹车汽车头两秒内,汽车前进的位移v0t+12at2=30×2-12×5×4m=50m
(2)t0<8s,所以刹车后在8s内的位移等于在刹车后6s内的位移.
x′=v0t0+12at02=30×6-12×5×36m=90m.
故汽车刹车后,在8s内的位移等于90m.
本题解析:
本题难度:一般
4、计算题 卡车以v0=10m/s在平直的公路上匀速行驶,因为路口出现红灯,司机立即刹车,使卡车做匀减速直线前进直至停止。停止等待6s时,交通灯变为绿灯,司机立即使卡车做匀加速运动。已知从开始刹车到恢复原来的速度所用时间t=12s,匀减速的加速度是匀加速的2倍,反应时间不计。求:
(1)卡车匀减速所用时间t1;
(2)从卡车开始刹车到刚恢复到原来速度的过程中,通过的位移大小s.
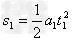
参考答案:解:(1)设匀加速的末速度为v0,加速度大小为a1,匀减速的加速度大小为a2,则
?①
②
又
?③?
由上式联立并代入数据解得t1=2s?④?
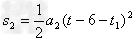
(2)匀减速的距离
⑤
匀加速的距离
?⑥
s=s1+s2?⑦
联立以上各式解得s=30m?⑧
本题解析:
本题难度:一般
5、简答题 质量为4kg的物体静止于水平面上,物体与水平面间的动摩擦因数为0.5,物体在大小为30N、方向为水平方向的拉力F作用下,从静止开始沿水平面做匀加速运动.求:(取g=10m/s2)?
(1)物体的加速度是多大?
(2)经过10s时间物体的位移大小为多少?
参考答案:(1)根据牛顿第二定律得:
a=F合m=F-μmgm=30-0.5×404=2.5m/s2,
(2)根据匀加速直线运动位移时间公式得:
x=12at2=12×2.5×100m=125m
答:(1)物体的加速度是2.5m/s2;
(2)经过10s时间物体的位移大小为125m.
本题解析:
本题难度:一般
He knows not what love is that has no children. 没有子女的人不知道什么是爱.