| 高考省级导航 | |
|
|
|
高考物理答题模板《电场强度》答题技巧(2017年最新版)(六)
参考答案:C 本题解析:电场强度由电场本身性质决定,与试探电荷受到的电场力和试探电荷电荷量无关,故选项A错误;在匀强电场中,电势差与沿电场方向的距离成正比,故选项B错误;处于静电平衡的导体内部场强处处为0,但电势不为0,故选项C正确;电场力可能对正、负电荷都做正功和负功,它们的电势能都可能增加和减少,故选项D错误。 本题难度:一般 2、选择题 如图所示,AC、BD为一边长为d的正方形ABCD的两条对角线,空间存在一与正方形所在平面平行的未知静电场。现有一带电荷量为+q的点电荷,先从A点运动到B点,电势能减少了ε;又从B点运动到C点,电势能增加了ε。则下列关于该未知静电场的说法中错误的是 参考答案:A 本题解析: 本题难度:一般 3、选择题 如图所示,A、B带有等量正电荷Q,一带电量为q重量不计的电荷放在两者连线中点处恰能平衡.现将电荷B十分缓慢地向右移动,电荷q的运动情况是( ) |

参考答案:A、B带有等量正电荷Q,两者连线中点场强为零,电荷B十分缓慢地向右移动,原来的位置场强不为零,根据场强叠加的原理实际场强向右,
由于不清楚电荷q的电性,所以电荷q可能受向左的力,也有可能受向右的力,所以电荷q的运动情况是可能向左运动,也可能向右运动.
故选D.
本题解析:
本题难度:一般
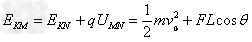
4、计算题 空间有一匀强电场,电场方向与纸面平行.一带正电,电量为q,质量为m的小球(重力不计),在恒定拉力F的作用下沿虚线以速度v0由M匀速运动到N,如图所示.已知力F和MN间夹角为θ,MN间距离为L,则:
(1)匀强电场的电场强度大小为多少?并画出过M点的等势线.
(2)MN两点的电势差为多少?
(3)当带电小球到达N点时,撤去外力F,则小球回到过M点的等势面时的动能为多少?
参考答案:解:(1)

(2)
(3)
本题解析:
本题难度:一般
5、选择题 如图所示,在静止负电荷形成的电场中,有M、N两点,比较M、N两点的场强大小和电势高低,则有( )
A.N点的场强大,电势低
B.N点的场强小,电势高
C.M点的场强大,电势高
D.M点的场强小,电势低
参考答案:根据图可知,为负电荷形成的电场,则由电场线的疏密程度反映了电场强度的大小,所以EM>EN.
在根据沿电场线的方向,电势降低可知φM<φN
故B正确,ACD错误;
故选B
本题解析:
本题难度:简单
| 【大 中 小】【打印】 【繁体】 【关闭】 【返回顶部】 | |
| 下一篇:高中物理知识点总结《静电平衡》.. | |