| 高考省级导航 | |
|
|
|
高考物理答题模板《杨氏干涉实验》高频试题强化练习(2017年最新版)(四)
![]() 参考答案:A、在真空中,光传播的速度都相等,A错误; 本题解析: 本题难度:一般 4、选择题 利用图中装置研究双缝干涉现象时,有下面几种说法 参考答案:ABD 本题解析: 本题难度:一般 5、实验题 (8分)在“利用双缝干涉测定光波波长”的实验中,准备了下列仪器 |

参考答案:(1)ADCBE(2)
(3)
本题解析:(1)仪器的顺序应为白炽灯,滤光片(获得单色光),单窄缝片(获得两束相干光),双窄缝片(单色光进行干涉)毛玻璃光屏
(2)甲的读数为
乙的读数为
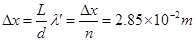
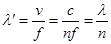
(3)n条亮纹有n-1个间隔,所以根据公式
可得
点评:理解了该实验的原理即可顺利解决此题,故在学习过程中要深入理解各个物理现象产生的机理是什么
本题难度:简单
| 【大 中 小】【打印】 【繁体】 【关闭】 【返回顶部】 | |
| 下一篇:高中物理知识点大全《直线运动》.. | |