微信搜索关注"91考试网"公众号,领30元,获取公务员、事业编、教师等考试资料40G!
1、填空题 在如图1所示的x轴上有一个点电荷Q(图中未画出所在位置),O为x轴坐标原点,A、B两点的坐标分别为0.1m和0.4m.放在A、B两点的检验电荷q1、q2受到的电场力跟它们所带电量的关系如图2所示.则A、B两点的电场强度大小之比为______;点电荷Q的位置坐标为x=______m.

参考答案:(1)由图可知,B点的电场强度EB=Fq=0.5×103N/C,方向指向x负方向.
同理A点的电场强度EA=2N/C,方向指向x正方向.
所以A、B两点的电场强度大小之比为4:1;
(2)设点电荷Q的坐标为x,由点电荷的电场E=kQr2,
可知EAEB=(0.4-x)2(x-0.1)2
解得x=0.2m.
故答案为:4:1;0.2
本题解析:
本题难度:一般
2、选择题 如图,有一带电荷量为+q的点电荷与表面均匀带电圆形绝缘介质薄板相距为2d,此点电荷到带电薄板的垂线通过板的圆心。若图中a点处的电场强度为零,则图中b点处的电场强度大小是

A.0
B.
C.
D.
参考答案:D
本题解析:点电荷在a点的电场强度根据库仑定律有
,根据正点电荷的电场线从正电荷指向无穷远判断方向水平向左,若图中a点处的电场强度为零,说明圆形薄板在 a点的电场强度方向水平向右,大小等于
,根据对称性,薄板在b点的电场水平向左,大小也等于
,点电荷在b点的电场强度
,方向水平向左,根据电场的矢量合成,b点的电场强度
,选项D对。
本题难度:一般
3、选择题 把两个完全相同的小球接触后分开,两球相互排斥,则两球原来带电情况可能是( )
A.其中一个带电,一个不带电
B.两个小球原来带等量异种电荷
C.两个小球原来带同种电荷
D.两个小球原来带不等量异种电荷
参考答案:A、原来的其中一个带电,一个不带电,接触后电荷平分,带上等量同种电荷,存在排斥力,故A正确;
B、两个小球原来分别带等量异种电荷,接触后电荷完全中和,两球不存在排斥力,故B错误;
C、两个小球原来分别带同种电荷,把两个完全相同的小球接触后电荷重新平分,带上等量同种电荷,存在排斥力,故C正确;
D、两个小球原来分别带不等量异种电荷,小球接触后电荷先中和再平分,带上等量同种电荷,存在排斥力,故D正确;
故选:ACD.
本题解析:
本题难度:简单
4、选择题 如图所示,光滑绝缘水平面上有三个带电小球A、B、C(可视为点电荷),三球沿一条直线摆放,仅在它们之间的静电力作用下静止,则以下判断正确的是(?)

A.A对B的静电力一定是引 力
B.A对B的静电力可能是斥力
C.A的电量可能比B少
D.C的电量一定比B少
参考答案:A
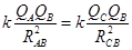
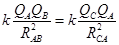
本题解析:若三球沿一条直线摆放,仅在它们之间的静电力作用下静止,则A、C一定是同种电荷,A、B一定异种电荷,即“两同夹异”的思想,故A选项正确,B选项错误;由于AB间的距离大于CD间的距离,由B物体的平衡知
,故
,C选项错误;由A物体的平衡
,知
,D选项错误,也可应用“近小远大”的思想来判定电荷量大小的关系为
。
本题难度:一般
5、填空题 已知点电荷A的电量是点电荷B的2倍,则A对B作用力大小跟B对A作用力大小比值为?,若把每个电荷电量都减少一半,则A对B作用力为原来的?倍。?
参考答案:1? 0.25
本题解析:物体间力的作用是相互的,所以AB之间的作用力相等,即A对B作用力大小跟B对A作用力大小比值为1.
本题难度:简单