微信搜索关注"91考试网"公众号,领30元,获取公务员、事业编、教师等考试资料40G!
1、简答题 如图所示:在铅板A中心处有一个放射源C,它能向各个方向不断地射出速度大小相等的电子流,B为金属网,M为紧靠金属网外侧的荧光屏,电子打在荧光屏上会使其发出荧光,A和B连接在电路上,它们相互平行且正对面积足够大.已知电源电动势为E,滑动变阻器的最大电阻是电源内阻的4倍,A、B间距为d,电子质量为m,电量为e,不计电子运动所形成的电流对电路的影响、忽略重力作用.
(1)当图中滑动变阻器的滑片置于变阻器中点时,求闭合电键K后,A、B间的场强大小;
(2)要使荧光屏上的亮斑面积减小,应让滑动变阻器的滑片向哪端滑动?请指出亮斑的形状?
(3)若移动滑动变阻器的滑片,荧光屏上形成的亮斑最小面积为S,试求出电子刚离开放射源C的速度大小.
参考答案:(1)设内阻为r,则滑动变阻器的最大电阻R=4r,由分压关系有:
UAB=2rER+r=0.4E
∴EAB=UABd=0.4Ed
(2)滑片应向右端滑动.亮斑为圆型.
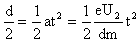
(3)当滑片处于最右端时,亮斑最小,此时初速v沿平行于A板方向的电子打在荧光屏上的位置距离圆心最远.设亮斑半径为R斑.
由于电子在匀强电场中做类平抛运动,故
亮斑半径R斑=vt?
加速度a=qUd?
偏转位移d=12at2=eUt22md?
此时两极板间电压U=4rE5r=0.8E?
亮斑大小S=πR斑2?
联立各式解得:v=1d
本题解析:
本题难度:一般
2、实验题 利用打点计时器《探究小车的速度随时间变化的规律》,如图给出了该次实验中,从0点开始,每5个点取一个计数点的纸带,其中1、2、3、4、5、6都为记数点。测得:S1=1.40cm,S2=1.90cm,S3=2.40cm,S4=2.90cm,S5=3.40cm,S6=3.90cm。

(1)在计数点3所代表的时刻,纸带运动的瞬时速度为v3=?m/s,物体的加速度a=?m/s2(保留三位有效数字)?
(2)如果当时电网中交变电流的频率是f="51" Hz,而做实验的同学并不知道,那么加速度的测量值与实际值相比?(选填:偏大、偏小或不变)。
(3)某同学测定匀变速直线运动的加速度时,得到了在不同拉力下的A、B、C、D、……等几条较为理想的纸带,并在纸带上每5个点取一个计数点,即相邻两计数点间的时间间隔为0.1s,将每条纸带上的计数点都记为0、1、2、3、4、5……,如图所示甲、乙、丙三段纸带,分别是从三条不同纸带上撕下的.在甲、乙、丙三段纸带中,属于纸带A的是_____。
参考答案:(1)0.125.0.500(2)偏小 (3)乙
本题解析:略
本题难度:简单
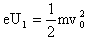
3、计算题 有一初速为零的电子经电压U1加速后,进入两块间距为d,电压为U2的平行金属板间,若电子从两板正中间垂直电场方向射入,且正好能从B板边缘穿出电场,设电子的电荷量为e,质量为m,求:
(1)电子刚进入平行金属板时的初速度;
(2)电子的偏转距离;
(3)平行金属板的长度。

参考答案:解:(1)由动能定理
,得
(2)
(3)由类平抛运动得

所以
×
=
本题解析:
本题难度:困难
4、实验题 利用如图甲所示的电路测量某电池的电动势E和内电阻r,图中R是电阻箱,R0是阻值为1.0Ω的定值电阻。闭合电键S,调节电阻箱的阻值,记录电阻箱的示数R和电压表相应的示数U,记录数据如表所示。为了较方便准确地得到实验结论,可用图像法来处理实验数据,若图像的纵坐标表示电压表的示数U,则图像横坐标表示的物理量应是? (请从数据表格中选择),利用表中的数据在图乙所示的坐标纸中画出图像,根据图像可求得电源的电动势E=?V,电源的内电阻r=?Ω。(结果保留二位小数)


参考答案:
,1.50(1.49~1.51),0.52(0.50~0.54)

本题解析:
本题难度:一般
5、选择题 不定项选择
有关欧姆表的使用,下列说法中正确的是( ? )
A.更换测量挡时,需要重新调零
B.测量电阻时,表的指针偏转角度越大,误差就越小
C.使用完毕应将选择开关旋至交流电压最高挡或“OFF”挡
D.如果指针相对电流零刻度偏转太小,应改用大量程测量
参考答案:ACD
本题解析:
本题难度:一般